Reference
https://zhuanlan.zhihu.com/p/40284001
https://blog.youkuaiyun.com/weixin_41665360/article/details/100126744
https://github.com/open-mmlab/mmdetection
https://github.com/thangvubk/Cascade-RPN (based on mmdetection framework)
Deep Learning v1 笔记
MMDetection 中 Loss 函数详解
一个函数能够作为损失函数,要符合以下两个特性:
- 非负
- 当实际输出接近预期,那么损失函数应该接近0
基本 loss
MSE —— 回归loss
参考KL散度
MSE 回归loss ,更适合用来预测值。而CE是衡量两个分布距离的指标
SSE
和方差
- 该参数计算的是拟合数据和原始对应点的误差的平方和
是真实数据,
是拟合的数据,
,从这里可以看出SSE接近于0,说明模型选择和拟合更好,数据预测也越成功。
MSE
均方方差
- 预测数据和原始数据对应点误差的平方和的均值
缺点
- 其偏导值在输出概率值接近0或者接近1的时候非常小,这可能会造成模型刚开始训练时,偏导值几乎消失。
import torch.nn.functional as F
mse_loss = weighted_loss(F.mse_loss)
RMSE
也叫回归系统的拟合标准差,是MSE的平方根,计算公式为:
0-1 Loss
0-1损失函数直接对应分类判断错误的个数,但是它是一个非凸函数,不太适用.
hinge loss
Hinge Loss常作为 SVM 的损失函数
L1 loss
L2 Loss
L2-loss 比 L1-loss 好,因为L2-loss的收敛速度要比L1-loss要快得多。
缺点:
- 当存在离群点(outliers)的时候,这些点会占loss的主要组成部分
比如说真实值为1,预测10次,有一次预测值为1000,其余次的预测值为1左右,显然loss值主要由1000主宰
不管是L1损失函数,还是L2损失函数,都有两大缺陷:
- 假定噪声的影响和图像的局部特性是独立的。然而,人类的视觉系统对噪声的感知受局部照度、对比、结构的影响。
- 假定噪声接近高斯白噪声,然而这一假定并不总是成立。
分类 loss CE
CE
Cross - Entropy
交叉熵
表示样本,
表示预测的输出,
表示实际的输出,
表示样本总数量
- 对数似然函数,可用于二分类和多分类任务中
- 二分类问题中的loss函数(输入数据是softmax或者sigmoid函数的输出)
- 多分类问题中的loss函数(输入数据是softmax或者sigmoid函数的输出)
交叉熵
def cross_entropy(pred, label, weight=None, reduction='mean', avg_factor=None):
# element-wise losses
loss = F.cross_entropy(pred, label, reduction='none')
# apply weights and do the reduction
if weight is not None:
weight = weight.float()
loss = weight_reduce_loss(
loss, weight=weight, reduction=reduction, avg_factor=avg_factor)
return loss
Binary CE loss
二分类
def binary_cross_entropy(pred,
label,
weight=None,
reduction='mean',
avg_factor=None):
if pred.dim() != label.dim():
label, weight = _expand_binary_labels(label, weight, pred.size(-1))
# weighted element-wise losses
if weight is not None:
weight = weight.float()
loss = F.binary_cross_entropy_with_logits(pred, label.float(), weight, reduction='none')
# do the reduction for the weighted loss
loss = weight_reduce_loss(loss, reduction=reduction,avg_factor=avg_factor)
return loss
Balanced CE loss
类别不平衡问题对最终training loss的不利影响,我们自然会想到可通过在loss公式中使用与目标存在概率成反比的系数对其进行较正
Focal Loss
-
RetinaNet 提出
-
指数式系数可对正负样本对loss的贡献自动调节
当某样本类别比较明确些,它对整体loss的贡献就比较少;而若某样本类别不易区分,则对整体loss的贡献就相对偏大 -
引入了一个新的 hyper parameter 即 γ γ γ
作者有试者对其进行调节,线性搜索后得出将γ设为2时,模型检测效果最好。 -
作者还引入了α系数,它能够使得focal loss对不同类别更加平衡
# This method is only for debugging
def py_sigmoid_focal_loss(pred,
target,
weight=None,
gamma=2.0,
alpha=0.25,
reduction='mean',
avg_factor=None):
pred_sigmoid = pred.sigmoid()
target = target.type_as(pred)
pt = (1 - pred_sigmoid) * target + pred_sigmoid * (1 - target)
'''
pt 平衡难易例
(alpha * target + (1 - alpha)*(1 - target)) 平衡正负例
'''
focal_weight = (alpha * target + (1 - alpha)*(1 - target)) *pt.pow(gamma)
loss = F.binary_cross_entropy_with_logits(pred, target, reduction='none') * focal_weight
loss = weight_reduce_loss(loss, weight, reduction, avg_factor)
return loss
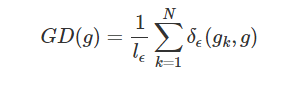
ghm loss
https://arxiv.org/abs/1811.05181
https://www.cnblogs.com/xxxxxxxxx/p/11602248.html
https://blog.youkuaiyun.com/u013841196/article/details/88650784
-
focal loss 的改进
- focal loss 缺点
- 如果让模型过多关注 难分样本 会引发一些问题,比如样本中的离群点(outliers),已经收敛的模型可能会因为这些离群点还是被判别错误,总而言之,我们不应该过多关注易分样本,但也不应该过多关注难分样本;
- α 与 γ 的取值全从实验得出,且两者要联合一起实验,因为它们的取值会相互影响。
- focal loss 缺点
-
为了解决特别难分样本的问题
-
抑制方法之梯度密度 G(D)
因为易分样本和特别难分样本数量都要比一般样本多一些,而我们要做的就是衰减 单位区间数量多的那类样本,也就是物理学上的密度概念


-
分类问题的GHM损失

-
回归问题的GHM损失

为修正的 smooth L1 Loss
回归 loss —— L1
Smooth L1 loss (回归常用)
- faster rcnn 提出
优点
- 相比于L2损失函数,其对离群点、异常值(outlier)不敏感,梯度变化相对更小,训练时不容易跑飞
def smooth_l1_loss(pred, target, beta=1.0):
assert beta > 0
assert pred.size() == target.size() and target.numel() > 0
diff = torch.abs(pred - target)
loss = torch.where(diff < beta, 0.5 * diff * diff / beta,diff - 0.5 * beta)
'''
torch.where 判断
如果 diff<beta ,loss就是 0.5 * diff * diff / beta (diff 相当于上面公式里的 x,/ beta是改变梯度)
如果 diff不<beta ,loss就是 diff - 0.5 * beta
'''
return loss
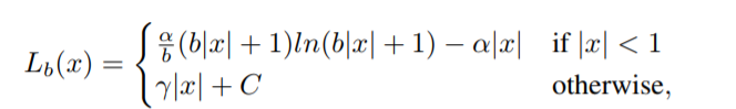
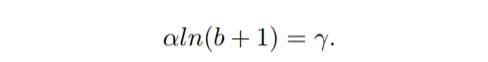
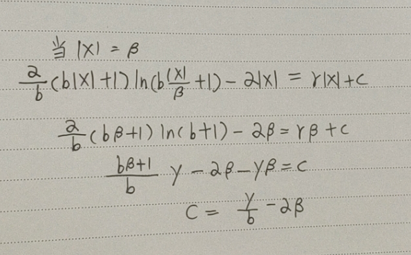
Balance L1 loss
- libra RCNN 提出




$α = 0.5$ and $γ = 1.5$
- C
求解利用函数连续性,当x=beta(一般为1)时,公式 L b ( x ) L_b(x) Lb(x) 相等:

def balanced_l1_loss(pred,
target,
beta=1.0,
alpha=0.5,
gamma=1.5,
reduction='mean'):
assert beta > 0
assert pred.size() == target.size() and target.numel() > 0
diff = torch.abs(pred - target)
b = np.e**(gamma / alpha) - 1
loss = torch.where(diff < beta, alpha / b *(b * diff + 1) * torch.log(b * diff / beta + 1) - alpha * diff,gamma * diff + gamma / b - alpha * beta)
'''
torch.where 判断
如果 diff<beta ,loss就是 alpha / b *(b * diff + 1) * torch.log(b * diff / beta + 1) - alpha * diff (/beta 为了改变梯度)
如果 diff不<beta ,loss就是 gamma * diff + gamma / b - alpha * beta ( 按照公式 c= gamma / b - alpha * beta,是利用了函数连续性 )
'''
return loss
Bounded IOU loss

-
GARPN 中使用
-
和 IOU loss 一样是 尺度不敏感
-
是 smooth L1 的改进,和IOU loss 没啥关系
@weighted_loss
def bounded_iou_loss(pred, target, beta=0.2, eps=1e-3):
"""Improving Object Localization with Fitness NMS and Bounded IoU Loss,
https://arxiv.org/abs/1711.00164.
Args:
pred (tensor): Predicted bboxes.
target (tensor): Target bboxes.
beta (float): beta parameter in smoothl1.
eps (float): eps to avoid NaN.
"""
pred_ctrx = (pred[:, 0] + pred[:, 2]) * 0.5
pred_ctry = (pred[:, 1] + pred[:, 3]) * 0.5
pred_w = pred[:, 2] - pred[:, 0] + 1
pred_h = pred[:, 3] - pred[:, 1] + 1
with torch.no_grad():
target_ctrx = (target[:, 0] + target[:, 2]) * 0.5
target_ctry = (target[:, 1] + target[:, 3]) * 0.5
target_w = target[:, 2] - target[:, 0] + 1
target_h = target[:, 3] - target[:, 1] + 1
dx = target_ctrx - pred_ctrx
dy = target_ctry - pred_ctry
loss_dx = 1 - torch.max(
(target_w - 2 * dx.abs()) /
(target_w + 2 * dx.abs() + eps), torch.zeros_like(dx))
loss_dy = 1 - torch.max(
(target_h - 2 * dy.abs()) /
(target_h + 2 * dy.abs() + eps), torch.zeros_like(dy))
loss_dw = 1 - torch.min(target_w / (pred_w + eps), pred_w /
(target_w + eps))
loss_dh = 1 - torch.min(target_h / (pred_h + eps), pred_h /
(target_h + eps))
loss_comb = torch.stack([loss_dx, loss_dy, loss_dw, loss_dh],
dim=-1).view(loss_dx.size(0), -1)
loss = torch.where(loss_comb < beta, 0.5 * loss_comb * loss_comb / beta,
loss_comb - 0.5 * beta)
return loss
回归 loss —— IoU
IOU Loss
-
UnitBox 提出(做人脸)

-
FCOS 等 anchor free 基本都用
-
求 IOU ,IOU 越大 loss 越小,IOU 越小 loss 越大
-
但是 他和 smooth L1 区别是 IOU loss 对尺寸大小不敏感


def iou_loss(pred, target, eps=1e-6):
"""IoU loss.
Computing the IoU loss between a set of predicted bboxes and target bboxes.
The loss is calculated as negative log of IoU.
Args:
pred (Tensor): Predicted bboxes of format (x1, y1, x2, y2),
shape (n, 4).
target (Tensor): Corresponding gt bboxes, shape (n, 4).
eps (float): Eps to avoid log(0).
Return:
Tensor: Loss tensor.
"""
ious = bbox_overlaps(pred, target, is_aligned=True).clamp(min=eps)
loss = -ious.log()
return loss
GIOU-loss
Generalized Intersection over Union: A Metric and A Loss for Bounding Box Regression
IOU Loss 缺点:
- 如果两个框没有相交,根据定义,IoU=0,不能反映两者的距离大小(重合度)。同时因为loss=0,没有梯度回传,无法进行学习训练。
- IoU无法精确的反映两者的重合度大小。 GIOU是更严格的指标。
以上几种情况下均有 IoU=0.33 IoU=0.33IoU=0.33 但是显然从左到右定位效果越来越差
GIoU
- 想法很好,效果一般,1-iou (Linear IOU loss) 基本可以达到1-giou(GIoU loss)相同的效果
- 成本高还不讨好,现在最广泛的基本就是线性IOUloss
- 闭包:包含两个框的最小框
Linear IOU Loss
l o s s = 1 − i o u s loss = 1 - ious loss=1−ious
def iou_loss(pred, target, linear=False, eps=1e-6):
"""IoU loss.
Computing the IoU loss between a set of predicted bboxes and target bboxes.
"""
ious = bbox_overlaps(pred, target, is_aligned=True).clamp(min=eps)
if linear:
loss = 1 - ious
else:
loss = -ious.log()
return loss
分类概率
softmax (多分类)
https://zhuanlan.zhihu.com/p/25723112
https://www.zhihu.com/question/23765351/answer/240869755
softmax用于多分类过程中,它将多个神经元的输出,映射到(0,1)区间内,可以看成概率来理解,从而来进行多分类!
假设我们有一个数组 V,Vi表示V中的第i个元素,那么这个元素的Softmax值就是
Sigmoid (二分类)
h ( x ) = 1 1 + e − x h(x) = \frac{\mathrm{1} }{\mathrm{1} + e^{-x} } h(x)=1+e−x1
Sigmoid 因其在 logistic 回归中的重要地位而被人熟知,值域在 0 到 1 之间。Logistic Sigmoid(或者按通常的叫法,Sigmoid)激活函数给神经网络引进了概率的概念。它的导数是非零的,并且很容易计算(是其初始输出的函数)。然而,在分类任务中,sigmoid 正逐渐被 Tanh 函数取代作为标准的激活函数,因为后者为奇函数(关于原点对称)。
sigmoid函数缺点
-
Sigmoid函数饱和使梯度消失。sigmoid神经元有一个不好的特性,就是当神经元的激活在接近0或1处时会饱和:在这些区域,梯度几乎为0。如果初始化权重过大,那么大多数神经元将会饱和,导致网络就几乎不学习了。
-
Sigmoid函数的输出不是零中心的
将影响梯度下降的运作
本文详细探讨了MMDetection框架中的各种Loss函数,包括MSE、0-1 Loss、hinge loss、L1和L2 Loss、CE、Focal Loss、GIoU-loss以及Softmax和Sigmoid等在分类和回归任务中的应用。针对不同类型的Loss,分析了其优缺点和适用场景,同时介绍了Pytorch的实现方式。
2374

被折叠的 条评论
为什么被折叠?



