仅用于以文字梳理一遍关于旋转过程中的逻辑。
网上动不动可得,可知。让萌新变得懵逼。所以个人梳理一下,有问题可及时沟通。
旋转一般以矩阵的方式来记录
这里目前只接触了欧拉角矩阵和四元数,其它内容接触到后续更新
欧拉角矩阵的旋转矩阵推导:
推导可以看最近整理的部分:
https://blog.youkuaiyun.com/one_day_csdn/article/details/134790732?spm=1001.2014.3001.5502。
这里主要记录一些概念:
多次旋转时,旋转矩阵乘的顺序,也就是我们说的左乘和右乘。
左乘和右乘有时候搞混了,发现算法总是不对。闹心死。
左乘和右乘:
先给出目前总结的结论:
右乘是,按照自身坐标系的旋转
左乘是,固定坐标系的旋转
右乘证明:
假设有3个坐标系a,b,c,a旋转到b,然后再b旋转到c。
a为最初的坐标系
b相对于a的旋转矩阵,记作Rba
c相对于b的旋转矩阵,记作Rcb
c相对于a的旋转矩阵,记作Rca
这里的相对于谁,也就是绕哪个坐标系的轴旋转
点M在各个坐标系的坐标为Ma,Mb,Mc。点M的位置没有动,只是坐标系动了。
这里可以得到
Ma = Rba * Mb;
Ma = Rca * Mc;
Mb = Rcb * Mc;
上面这个等式应该没问题吧,o( ̄▽ ̄)ブ
简单点说就是
以Ma = Rba * Mb为例。
是不是也有人曾经跟我一样,一开始理解成为了Mb = Rba * Ma。
a坐标系上的点,Ma旋转之后,得到b坐标系上的点Mb。这么一想还挺合理。
O(∩_∩)O这样是不对的哦。
我们展开讲讲:
我们先需要将b中的坐标点,放到a坐标系中,将坐标系的旋转,转换成为了坐标系a中的点Mb1 (这里是把坐标系做了置换,在b中坐标为Mb那么a中也有一个点Mb 坐标记为Mb1),然后Mb1经过旋转后得到了点Ma 也就是b中的点Mb。
所以Ma = Rba * Mb成立。其它等式一个意思
然后三个等式进行代入,
Rba * Mb = Rca * Mc;
带入Mb
Rba * Rcb * Mc = Rca * Mc;
从而知道
Rba * Rcb = Rca
这个等式说明了,a旋转到c,等同于a先旋转到b,再旋转到c。
右乘推导成功啦,o( ̄▽ ̄)ブ
左乘证明:
假设有两个坐标系a,b。 a中有两个点Ma和Na,M和N之间的旋转矩阵是Rnm 。b中的坐标为Mb和Nb,M和N之间的旋转矩阵是Rnbmb 。坐标系a和b之间的旋转关系为Rba.
则:
Ma = Rnm Na
Ma = RbaMb
Na = RbaNb
将上面的式子做代入
RbaMb = RnmRbaNb
又因为Mb= Rnbmb Nb
所以Rba Rnbmb Nb = RnmRbaNb
所以RbaRnbmbRab = Rnm
也就是先把坐标系转过去,然后旋转点,然后再把坐标系转回来。
扩展到三个坐标系a,b,c
这里的矩阵R1是为了和之前的相对坐标系移动R区分
坐标系a为固定坐标系
坐标系b相对于a的旋转,旋转矩阵是R1ba
坐标系c相对于a的旋转,旋转矩阵是R1ca
坐标系c相对于b的旋转,在固定坐标系下旋转矩阵是 R1cb
R1ba = Rba
R1ca = Rca
R1cb = Rba * Rcb * Rab
考虑上面右乘时的最终结果公式
Rba * Rcb = Rca
所以R1ca = Rca = Rba * Rcb
又因为R1cb = Rba * Rcb * Rab得到
Rcb = Rab * R1cb * Rba
这里是两边同时进行了左乘和右乘消掉了。应该没啥疑问。
所以
R1ca = Rba * Rab * R1cb * Rba=R1cb * Rba = R1cb * R1ba
所以左乘是固定坐标系,推导完成。
至于向量的旋转就不用说了吧。都是左乘。
四元数和旋转矩阵之间的推导
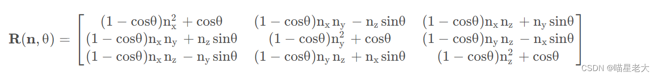
首先,确认绕任意轴旋转的旋转矩阵

这里是依赖于将旋转的向量,针对于旋转轴切分为水平向量和平行向量,水平的不需要动,而计算垂直的向量的操作
具体可参考https://blog.youkuaiyun.com/u014265928/article/details/117170481。
这位解释的很清晰。有疑问大家一起沟通。
这个矩阵用的n和θ表示。
其中四元数和这两个部分的关系是:
w = cos(θ/2);
x = nxsin(θ/2)
y = nysin(θ/2)
z = nzsin(θ/2)
这个结论是因为q = cos(θ/2) + (xi + yj + z*k)*sin(θ/2) 。这块的半角来源推导还在思考中,待后续理通了更新。
有了这个结论,就可以去求四元数的旋转矩阵模式了。
这里依赖的重要的公式是三角函数倍角公式
cosθ=1−2sin2 (θ/2)
sinθ = 2sin(θ/2)cos(θ/2)
将角度用θ转换为θ/2
替换到矩阵中后,就可以得到每个位置依赖于四元数的表现结果。
另外因为x2 + y2 + z2 + w2 = 1;对角线部分可以根据需要做替换

从旋转矩阵到四元数
这个其实我个人认为是一个观察式的结果,O(∩_∩)O。
想到了,就知道了。没想到,就绷不住了。
我们观察上面的四元数旋转矩阵。
对角线相加,会发现,
(1−2y 2 −2z 2)+(1−2x 2−2z 2 )+(1−2x 2−2y 2)
=3−4(x 2+y 2 +z 2)
=3−4(1−w2)
=4w 2−1.
所以我们可以一以此为依据求出来w。
然后想求x,y,z可以通过对角线的三个值进行操作,大家可以试下。
不过这里会出现都是对应值的平方的情况。没有选择正根和负根的依据。
所以我们在求出来,w,x,y,z的其中一项后,可以以它为依据求其它的

有了四个值中的任意一个,我们就可以把其它三个求出来。
文章详细解释了旋转过程中的逻辑,包括欧拉角矩阵和四元数在多旋转变换中的作用,强调了左乘和右乘的区别,以及如何从旋转矩阵到四元数的转换。作者通过实例和推导帮助读者理解旋转矩阵乘法的顺序和四元数在三维空间中的应用。
3168

被折叠的 条评论
为什么被折叠?



