✅作者简介:热爱科研的Matlab仿真开发者,擅长数据处理、建模仿真、程序设计、完整代码获取、论文复现及科研仿真。
🍎 往期回顾关注个人主页:Matlab科研工作室
🍊个人信条:格物致知,完整Matlab代码获取及仿真咨询内容私信。
🔥 内容介绍
在控制系统的广袤宇宙中,连续时间线性系统无疑是一颗璀璨的明星,散发着独特而迷人的光芒,吸引着无数科研工作者和工程师投身于对它的探索与研究。从经典的电路系统,到复杂的航空航天控制系统,再到精密的机器人运动控制,连续时间线性系统宛如一位无形的幕后英雄,默默发挥着至关重要的作用 ,为这些领域的发展提供了坚实的理论支撑和技术保障。
连续时间线性系统,简单来说,就是其输入与输出之间的关系可以用线性方程来精准描述的系统,它就像是一座桥梁,将输入信号平稳而有序地转化为输出信号。线性系统的特性可以通过叠加原理和齐次性这两大基石来深入理解和阐释。叠加原理表明,如果输入信号是多个子信号的线性组合,那么系统的输出也是这些子信号输出的线性组合,就如同将不同颜色的颜料混合在一起,最终呈现出的色彩是各颜料色彩的综合体现;齐次性则表明,输入信号的任意倍数会导致输出信号的相同倍数变化,就像用放大镜观察物体,物体的大小会按比例放大,但形状和特征保持不变。
在数学的世界里,连续时间线性系统有着多种优雅而强大的表达方式,其中微分方程模型、传递函数模型和状态空间模型是最为常见和重要的几种。微分方程模型通过描述系统状态随时间的变化率以及输入信号的作用,精确地刻画了系统的动态行为,就像一位敏锐的观察者,捕捉着系统每一个瞬间的变化;传递函数模型则从频率域的独特视角出发,描述了系统对不同频率输入信号的响应特性,它仿佛是一把神奇的钥匙,打开了理解系统频率特性的大门;状态空间模型则全面而细致地描述了系统的内部状态、输入和输出之间的关系,为多输入多输出系统的分析和设计提供了有力的工具,如同一个精密的导航仪,引领着我们在复杂的系统中找到前进的方向。
然而,在实际的工程应用和科学研究中,我们常常会遭遇系统动力学完全未知的连续时间线性系统,这就好比在黑暗中摸索前行,前方充满了不确定性和挑战。这些系统的参数和动态特性犹如隐藏在迷雾中的宝藏,难以被轻易探测和把握,使得传统的控制方法在面对它们时往往显得力不从心,仿佛陷入了泥沼,无法施展拳脚。但正是这种未知,激发了科研工作者们的探索欲望和创新精神,成为推动自适应最优控制等先进控制理论和技术蓬勃发展的强大动力源泉。对这类系统的深入研究,不仅有助于我们突破传统控制方法的局限,开拓控制理论的新边界,还能为众多实际应用场景提供更加智能、高效、可靠的解决方案,让我们在面对复杂多变的系统时,能够更加从容自信地应对挑战,实现从 “不可能” 到 “可能” 的跨越。
动态规划自适应最优控制:闪亮登场
在探索系统动力学完全未知的连续时间线性系统的征程中,动态规划自适应最优控制宛如一颗冉冉升起的新星,以其独特的光芒照亮了前行的道路。那么,究竟什么是动态规划自适应最优控制呢?它又有着怎样的神奇魔力,能在众多控制方法中脱颖而出呢?接下来,就让我们一同揭开它神秘的面纱。
动态规划自适应最优控制,是一种融合了动态规划、自适应控制和机器学习等多领域智慧的先进控制策略 。它的核心原理,是基于贝尔曼最优性原理,通过巧妙地将一个复杂的多阶段决策问题拆解为一系列相互关联的子问题,然后逐一求解这些子问题,最终找到全局最优解。这就好比在一场漫长的旅途中,我们将整个行程划分为多个小段,每一段都制定一个最优的行进方案,最终就能确保整个旅程达到最优效果。
与传统控制方法相比,动态规划自适应最优控制具有诸多显著优势,这些优势使它在面对复杂多变的系统时,能够展现出更强大的适应性和卓越的性能。传统控制方法通常依赖于精确已知的系统模型,就像在熟悉的道路上驾驶,我们清楚地知道每一个路口的情况,所以能够顺利到达目的地。然而,当系统动力学完全未知时,传统控制方法就如同失去了导航的船只,在茫茫大海中迷失方向,因为它们无法应对系统参数的不确定性和时变特性。而动态规划自适应最优控制则不然,它具有强大的自适应性和学习能力,能够根据系统的实时状态和反馈信息,动态地调整控制策略,就像一位经验丰富的驾驶员,在陌生的道路上,能够根据路况和导航提示,实时调整行驶路线,确保顺利抵达目的地。
在实际应用中,动态规划自适应最优控制的优势更是体现得淋漓尽致。以智能电网为例,电网的负荷需求和发电能力会随着时间和环境的变化而动态变化,传统的电力分配和调度方法往往难以实时适应这些变化,导致电网的稳定性和效率受到影响。而动态规划自适应最优控制能够实时监测电网的运行状态,根据负荷需求和发电能力的变化,动态地调整电力分配策略,从而有效提高电网的稳定性和效率。再比如在自动驾驶领域,车辆需要根据实时的交通状况、道路条件等因素,动态地调整行驶速度和方向。动态规划自适应最优控制可以根据传感器获取的信息,快速做出决策,实现车辆的安全、高效行驶,为自动驾驶技术的发展提供了有力的支持。
⛳️ 运行结果

随着迭代次数增加,代价矩阵和最优代价矩阵的范数误差最终变成0,说明通过 “评估 - 改进” 循环,最终使代价矩阵收敛到满足 Bellman 最优性原理的解。

随着迭代次数增加,增益控制矩阵范数误差趋于0,满足最优控制条件。

这是系统 6 个状态变量的时间响应曲线,6个状态变量同步收敛,证明 ADP 可处理强耦合非线性系统(如发动机的多参数交互),通过数据驱动学习实现多变量最优控制。

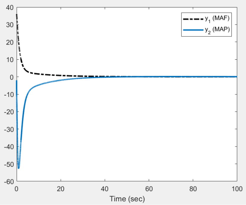
系统状态向量范数随时间变化的响应曲线收敛性良好,控制算法能快速抑制初始偏差(如发动机启动时的状态波动),动态响应能力强。

曲线快速收敛说明控制算法动态调节能力强,可快速抑制扰动。
📣 部分代码
🔗 参考文献

🎈 部分理论引用网络文献,若有侵权联系博主删除
👇 关注我领取海量matlab电子书和数学建模资料
🏆团队擅长辅导定制多种科研领域MATLAB仿真,助力科研梦:
🌟 各类智能优化算法改进及应用
生产调度、经济调度、装配线调度、充电优化、车间调度、发车优化、水库调度、三维装箱、物流选址、货位优化、公交排班优化、充电桩布局优化、车间布局优化、集装箱船配载优化、水泵组合优化、解医疗资源分配优化、设施布局优化、可视域基站和无人机选址优化、背包问题、 风电场布局、时隙分配优化、 最佳分布式发电单元分配、多阶段管道维修、 工厂-中心-需求点三级选址问题、 应急生活物质配送中心选址、 基站选址、 道路灯柱布置、 枢纽节点部署、 输电线路台风监测装置、 集装箱调度、 机组优化、 投资优化组合、云服务器组合优化、 天线线性阵列分布优化、CVRP问题、VRPPD问题、多中心VRP问题、多层网络的VRP问题、多中心多车型的VRP问题、 动态VRP问题、双层车辆路径规划(2E-VRP)、充电车辆路径规划(EVRP)、油电混合车辆路径规划、混合流水车间问题、 订单拆分调度问题、 公交车的调度排班优化问题、航班摆渡车辆调度问题、选址路径规划问题、港口调度、港口岸桥调度、停机位分配、机场航班调度、泄漏源定位、冷链、时间窗、多车场等、选址优化、港口岸桥调度优化、交通阻抗、重分配、停机位分配、机场航班调度、通信上传下载分配优化
🌟 机器学习和深度学习时序、回归、分类、聚类和降维
2.1 bp时序、回归预测和分类
2.2 ENS声神经网络时序、回归预测和分类
2.3 SVM/CNN-SVM/LSSVM/RVM支持向量机系列时序、回归预测和分类
2.4 CNN|TCN|GCN卷积神经网络系列时序、回归预测和分类
2.5 ELM/KELM/RELM/DELM极限学习机系列时序、回归预测和分类
2.6 GRU/Bi-GRU/CNN-GRU/CNN-BiGRU门控神经网络时序、回归预测和分类
2.7 ELMAN递归神经网络时序、回归\预测和分类
2.8 LSTM/BiLSTM/CNN-LSTM/CNN-BiLSTM/长短记忆神经网络系列时序、回归预测和分类
2.9 RBF径向基神经网络时序、回归预测和分类
2.10 DBN深度置信网络时序、回归预测和分类
2.11 FNN模糊神经网络时序、回归预测
2.12 RF随机森林时序、回归预测和分类
2.13 BLS宽度学习时序、回归预测和分类
2.14 PNN脉冲神经网络分类
2.15 模糊小波神经网络预测和分类
2.16 时序、回归预测和分类
2.17 时序、回归预测预测和分类
2.18 XGBOOST集成学习时序、回归预测预测和分类
2.19 Transform各类组合时序、回归预测预测和分类
方向涵盖风电预测、光伏预测、电池寿命预测、辐射源识别、交通流预测、负荷预测、股价预测、PM2.5浓度预测、电池健康状态预测、用电量预测、水体光学参数反演、NLOS信号识别、地铁停车精准预测、变压器故障诊断
🌟图像处理方面
图像识别、图像分割、图像检测、图像隐藏、图像配准、图像拼接、图像融合、图像增强、图像压缩感知
🌟 路径规划方面
旅行商问题(TSP)、车辆路径问题(VRP、MVRP、CVRP、VRPTW等)、无人机三维路径规划、无人机协同、无人机编队、机器人路径规划、栅格地图路径规划、多式联运运输问题、 充电车辆路径规划(EVRP)、 双层车辆路径规划(2E-VRP)、 油电混合车辆路径规划、 船舶航迹规划、 全路径规划规划、 仓储巡逻、公交车时间调度、水库调度优化、多式联运优化
🌟 无人机应用方面
无人机路径规划、无人机控制、无人机编队、无人机协同、无人机任务分配、无人机安全通信轨迹在线优化、车辆协同无人机路径规划、
🌟 通信方面
传感器部署优化、通信协议优化、路由优化、目标定位优化、Dv-Hop定位优化、Leach协议优化、WSN覆盖优化、组播优化、RSSI定位优化、水声通信、通信上传下载分配
🌟 信号处理方面
信号识别、信号加密、信号去噪、信号增强、雷达信号处理、信号水印嵌入提取、肌电信号、脑电信号、信号配时优化、心电信号、DOA估计、编码译码、变分模态分解、管道泄漏、滤波器、数字信号处理+传输+分析+去噪、数字信号调制、误码率、信号估计、DTMF、信号检测
🌟电力系统方面
微电网优化、无功优化、配电网重构、储能配置、有序充电、MPPT优化、家庭用电、电/冷/热负荷预测、电力设备故障诊断、电池管理系统(BMS)SOC/SOH估算(粒子滤波/卡尔曼滤波)、 多目标优化在电力系统调度中的应用、光伏MPPT控制算法改进(扰动观察法/电导增量法)、电动汽车充放电优化、微电网日前日内优化、储能优化、家庭用电优化、供应链优化\智能电网分布式能源经济优化调度,虚拟电厂,能源消纳,风光出力,控制策略,多目标优化,博弈能源调度,鲁棒优化
电力系统核心问题经济调度:机组组合、最优潮流、安全约束优化。新能源消纳:风光储协同规划、弃风弃光率量化、爬坡速率约束建模多能耦合系统:电-气-热联合调度、P2G与储能容量配置新型电力系统关键技术灵活性资源:虚拟电厂、需求响应、V2G车网互动、分布式储能优化稳定与控制:惯量支撑策略、低频振荡抑制、黑启动预案设计低碳转型:碳捕集电厂建模、绿氢制备经济性分析、LCOE度电成本核算风光出力预测:LSTM/Transformer时序预测、预测误差场景生成(GAN/蒙特卡洛)不确定性优化:鲁棒优化、随机规划、机会约束建模能源流分析、PSASP复杂电网建模,经济调度,算法优化改进,模型优化,潮流分析,鲁棒优化,创新点,文献复现微电网配电网规划,运行调度,综合能源,混合储能容量配置,平抑风电波动,多目标优化,静态交通流量分配,阶梯碳交易,分段线性化,光伏混合储能VSG并网运行,构网型变流器, 虚拟同步机等包括混合储能HESS:蓄电池+超级电容器,电压补偿,削峰填谷,一次调频,功率指令跟随,光伏储能参与一次调频,功率平抑,直流母线电压控制;MPPT最大功率跟踪控制,构网型储能,光伏,微电网调度优化,新能源,虚拟同同步机,VSG并网,小信号模型
🌟 元胞自动机方面
交通流 人群疏散 病毒扩散 晶体生长 金属腐蚀
🌟 雷达方面
卡尔曼滤波跟踪、航迹关联、航迹融合、SOC估计、阵列优化、NLOS识别
🌟 车间调度
零等待流水车间调度问题NWFSP 、 置换流水车间调度问题PFSP、 混合流水车间调度问题HFSP 、零空闲流水车间调度问题NIFSP、分布式置换流水车间调度问题 DPFSP、阻塞流水车间调度问题BFSP
👇
1014

被折叠的 条评论
为什么被折叠?



