✅作者简介:热爱科研的Matlab仿真开发者,擅长数据处理、建模仿真、程序设计、完整代码获取、论文复现及科研仿真。
🍎 往期回顾关注个人主页:Matlab科研工作室
🍊个人信条:格物致知,完整Matlab代码获取及仿真咨询内容私信。
🔥 内容介绍
在流体力学数值仿真领域,盖板驱动腔体流动是研究粘性流体流动特性、验证数值算法可靠性的经典基准问题。其几何模型为封闭矩形腔体,上盖板以恒定速度沿水平方向运动,腔体内填充粘性不可压缩流体(如空气、水),在盖板粘性拖拽作用下,腔体内流体形成复杂的回流和漩涡结构。这一流动现象广泛存在于机械润滑、电子设备散热、化工反应器混合等工程场景中,例如滑动轴承的间隙流动、CPU散热器的腔体气流运动等。
盖板驱动腔体流动的核心数值挑战在于“压力-速度耦合”。对于不可压缩流体,连续性方程(质量守恒)中不直接包含压力项,而动量方程(动量守恒)中却包含压力梯度项,这种方程间的耦合关系导致压力和速度无法单独求解。传统的分离式求解方法若直接应用,易出现收敛困难、结果失真等问题,例如计算得到的速度场无法满足连续性方程,或压力场出现非物理振荡。
为解决这一耦合难题,科学家提出了一系列压力修正算法,其中由Patankar和Spalding于1972年提出的SIMPLE算法(Semi-Implicit Method for Pressure-Linked Equations,压力耦合方程的半隐式方法)凭借其原理简洁、稳定性强、适用性广的优势,成为求解不可压缩流体流动的主流算法。将SIMPLE算法应用于盖板驱动腔体的压力-速度耦合求解,不仅能精准捕捉流场的漩涡结构和参数分布,还能为工程实际中的类似流动问题提供可靠的数值仿真方法参考。
核心原理解析:SIMPLE算法如何破解耦合难题?
不可压缩流体的控制方程与耦合本质
盖板驱动腔体流动属于二维不可压缩粘性流动,其流动特性遵循纳维-斯托克斯方程(N-S方程)和连续性方程,这是压力-速度耦合的数学基础:
1. 连续性方程(质量守恒):∂u/∂x + ∂v/∂y = 0,其中u、v分别为x、y方向的速度分量。该方程仅约束速度场的空间分布,未直接包含压力项,无法单独确定压力。
2. 动量方程(动量守恒):在x方向,ρ(∂u/∂t + u∂u/∂x + v∂u/∂y) = -∂p/∂x + μ(∂²u/∂x² + ∂²u/∂y²);在y方向,ρ(∂v/∂t + u∂v/∂x + v∂v/∂y) = -∂p/∂y + μ(∂²v/∂x² + ∂²v/∂y²)。其中ρ为流体密度,p为压力,μ为动力粘度,t为时间。动量方程中,压力梯度项(-∂p/∂x、-∂p/∂y)是驱动流体运动的关键力源,直接影响速度分布,但压力本身又依赖于速度场的变化,形成“速度依赖压力、压力影响速度”的耦合循环。
压力-速度耦合的本质是:连续性方程和动量方程相互约束,必须同时求解才能得到符合物理规律的流场。SIMPLE算法的核心思路是“分离求解+压力修正”,通过迭代过程逐步逼近压力和速度的真实解,打破耦合循环。
SIMPLE算法的核心步骤:迭代修正与收敛
SIMPLE算法采用分离式求解策略,将耦合的N-S方程和连续性方程拆解为单个方程依次求解,再通过压力修正方程和速度修正方程实现两者的耦合协调,核心迭代步骤如下:
1. 初始化流场:设定初始压力场p⁰和初始速度场(u⁰, v⁰),初始值可根据物理直觉设定(如压力均匀分布、速度为0,除运动盖板外),为迭代求解提供起点。
2. 求解动量方程:基于当前压力场pⁿ(第n次迭代的压力),求解动量方程,得到速度的中间值(u*, v*)。此时由于压力场并非真实解,中间速度场(u*, v*)通常不满足连续性方程,需要进一步修正。
3. 构建并求解压力修正方程:以连续性方程为约束,推导压力修正值p'的方程,求解得到p'。压力修正方程的核心思想是:通过修正压力来调整速度,使修正后的速度场满足连续性方程。推导过程中,SIMPLE算法采用“半隐式”处理方式,忽略部分次要项,简化方程求解难度,同时保证收敛稳定性。
4. 修正压力和速度:利用求解得到的压力修正值p',更新压力场:pⁿ⁺¹ = pⁿ + α_p p'(α_p为压力松弛因子,用于调节收敛稳定性);同时修正速度场,得到满足连续性方程的速度(uⁿ⁺¹, vⁿ⁺¹):uⁿ⁺¹ = u* + α_u u',vⁿ⁺¹ = v* + α_v v'(α_u、α_v为速度松弛因子,u'、v'为速度修正值,由压力修正值推导得到)。
5. 迭代收敛判断:计算当前迭代步的残差(如动量方程残差、连续性方程残差),若残差小于预设阈值(如10⁻⁶),或流场参数(压力、速度)的变化量小于阈值,则认为迭代收敛,得到最终的压力场和速度场;否则返回步骤2,进入下一轮迭代。
需要注意的是,SIMPLE算法中的松弛因子(α_p、α_u、α_v)对收敛速度和稳定性至关重要。合理的松弛因子能避免迭代过程中出现振荡,加快收敛;若取值不当,可能导致迭代发散或收敛缓慢。通常压力松弛因子α_p取0.2~0.5,速度松弛因子α_u、α_v取0.5~0.8。
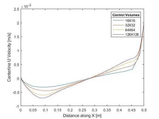
⛳️ 运行结果



📣 部分代码
% calculate flow strength
Fw = rho * ((u_vel(1:end-2, 2:end-1)+u_vel(2:end-1, 2:end-1))/2) .* delta_y;
Fw(1, :) = rho * u_vel(1, 2:end-1) .* delta_y(1, :);
Fe = rho * ((u_vel(2:end-1, 2:end-1)+u_vel(3:end, 2:end-1))/2) .* delta_y;
Fe(end, :) = rho * u_vel(end, 2:end-1) .* delta_y(1, :);
Fs = rho * ((v_vel(2:end-2, 1:end-1)+v_vel(3:end-1, 1:end-1))/2) .* delta_x;
Fs(1, :) = rho * (((v_vel(1, 1:end-1)+v_vel(2, 1:end-1))/2)*dx/2 + ((v_vel(2, 1:end-1)+v_vel(3, 1:end-1))/2)*dx);
Fs(end, :) = rho * (((v_vel(end-1, 1:end-1)+v_vel(end, 1:end-1))/2)*dx/2 + ((v_vel(end-2, 1:end-1)+v_vel(end-1, 1:end-1))/2)*dx);
Fn = rho * ((v_vel(2:end-2, 2:end)+v_vel(3:end-1, 2:end))/2) .* delta_x;
Fn(1, :) = rho * (((v_vel(1, 2:end)+v_vel(2, 2:end))/2)*dx/2 + ((v_vel(2, 2:end)+v_vel(3, 2:end))/2)*dx);
Fn(end, :) = rho * (((v_vel(end-1, 2:end)+v_vel(end, 2:end))/2)*dx/2 + ((v_vel(end-2, 2:end)+v_vel(end-1, 2:end))/2)*dx);
% calculate Peclet number
Pw = Fw .* Dw.^-1;
Pe = Fe .* De.^-1;
Ps = Fs .* Ds.^-1;
Pn = Fn .* Dn.^-1;
% compute coefficient arrays
Aw_u = Dw.*peclet_function(abs(Pw), "power_law") + max(Fw, 0);
Ae_u = De.*peclet_function(abs(Pe), "power_law") + max(-Fe, 0);
As_u = Ds.*peclet_function(abs(Ps), "power_law") + max(Fs, 0);
An_u = Dn.*peclet_function(abs(Pn), "power_law") + max(-Fn, 0);
Ap_u = Aw_u + Ae_u + As_u + An_u;
u_coeff = {Ap_u, Aw_u, Ae_u, As_u, An_u};
end
🔗 参考文献
Pratanu Roy, N. K. Anand, Diego Donzis, A Parallel Multigrid Finite-Volume Solver on Collocated Grid for Incompressible Navier-Stokes Equations, Numerical Heat Transfer, Par B: Fundamentals, 67(5), 2015
🎈 部分理论引用网络文献,若有侵权联系博主删除
👇 关注我领取海量matlab电子书和数学建模资料
🏆团队擅长辅导定制多种科研领域MATLAB仿真,助力科研梦:
🌟 各类智能优化算法改进及应用
生产调度、经济调度、装配线调度、充电优化、车间调度、发车优化、水库调度、三维装箱、物流选址、货位优化、公交排班优化、充电桩布局优化、车间布局优化、集装箱船配载优化、水泵组合优化、解医疗资源分配优化、设施布局优化、可视域基站和无人机选址优化、背包问题、 风电场布局、时隙分配优化、 最佳分布式发电单元分配、多阶段管道维修、 工厂-中心-需求点三级选址问题、 应急生活物质配送中心选址、 基站选址、 道路灯柱布置、 枢纽节点部署、 输电线路台风监测装置、 集装箱调度、 机组优化、 投资优化组合、云服务器组合优化、 天线线性阵列分布优化、CVRP问题、VRPPD问题、多中心VRP问题、多层网络的VRP问题、多中心多车型的VRP问题、 动态VRP问题、双层车辆路径规划(2E-VRP)、充电车辆路径规划(EVRP)、油电混合车辆路径规划、混合流水车间问题、 订单拆分调度问题、 公交车的调度排班优化问题、航班摆渡车辆调度问题、选址路径规划问题、港口调度、港口岸桥调度、停机位分配、机场航班调度、泄漏源定位、冷链、时间窗、多车场等、选址优化、港口岸桥调度优化、交通阻抗、重分配、停机位分配、机场航班调度、通信上传下载分配优化
🌟 机器学习和深度学习时序、回归、分类、聚类和降维
2.1 bp时序、回归预测和分类
2.2 ENS声神经网络时序、回归预测和分类
2.3 SVM/CNN-SVM/LSSVM/RVM支持向量机系列时序、回归预测和分类
2.4 CNN|TCN|GCN卷积神经网络系列时序、回归预测和分类
2.5 ELM/KELM/RELM/DELM极限学习机系列时序、回归预测和分类
2.6 GRU/Bi-GRU/CNN-GRU/CNN-BiGRU门控神经网络时序、回归预测和分类
2.7 ELMAN递归神经网络时序、回归\预测和分类
2.8 LSTM/BiLSTM/CNN-LSTM/CNN-BiLSTM/长短记忆神经网络系列时序、回归预测和分类
2.9 RBF径向基神经网络时序、回归预测和分类
2.10 DBN深度置信网络时序、回归预测和分类
2.11 FNN模糊神经网络时序、回归预测
2.12 RF随机森林时序、回归预测和分类
2.13 BLS宽度学习时序、回归预测和分类
2.14 PNN脉冲神经网络分类
2.15 模糊小波神经网络预测和分类
2.16 时序、回归预测和分类
2.17 时序、回归预测预测和分类
2.18 XGBOOST集成学习时序、回归预测预测和分类
2.19 Transform各类组合时序、回归预测预测和分类
方向涵盖风电预测、光伏预测、电池寿命预测、辐射源识别、交通流预测、负荷预测、股价预测、PM2.5浓度预测、电池健康状态预测、用电量预测、水体光学参数反演、NLOS信号识别、地铁停车精准预测、变压器故障诊断
🌟图像处理方面
图像识别、图像分割、图像检测、图像隐藏、图像配准、图像拼接、图像融合、图像增强、图像压缩感知
🌟 路径规划方面
旅行商问题(TSP)、车辆路径问题(VRP、MVRP、CVRP、VRPTW等)、无人机三维路径规划、无人机协同、无人机编队、机器人路径规划、栅格地图路径规划、多式联运运输问题、 充电车辆路径规划(EVRP)、 双层车辆路径规划(2E-VRP)、 油电混合车辆路径规划、 船舶航迹规划、 全路径规划规划、 仓储巡逻、公交车时间调度、水库调度优化、多式联运优化
🌟 无人机应用方面
无人机路径规划、无人机控制、无人机编队、无人机协同、无人机任务分配、无人机安全通信轨迹在线优化、车辆协同无人机路径规划、
🌟 通信方面
传感器部署优化、通信协议优化、路由优化、目标定位优化、Dv-Hop定位优化、Leach协议优化、WSN覆盖优化、组播优化、RSSI定位优化、水声通信、通信上传下载分配
🌟 信号处理方面
信号识别、信号加密、信号去噪、信号增强、雷达信号处理、信号水印嵌入提取、肌电信号、脑电信号、信号配时优化、心电信号、DOA估计、编码译码、变分模态分解、管道泄漏、滤波器、数字信号处理+传输+分析+去噪、数字信号调制、误码率、信号估计、DTMF、信号检测
🌟电力系统方面
微电网优化、无功优化、配电网重构、储能配置、有序充电、MPPT优化、家庭用电、电/冷/热负荷预测、电力设备故障诊断、电池管理系统(BMS)SOC/SOH估算(粒子滤波/卡尔曼滤波)、 多目标优化在电力系统调度中的应用、光伏MPPT控制算法改进(扰动观察法/电导增量法)、电动汽车充放电优化、微电网日前日内优化、储能优化、家庭用电优化、供应链优化\智能电网分布式能源经济优化调度,虚拟电厂,能源消纳,风光出力,控制策略,多目标优化,博弈能源调度,鲁棒优化
电力系统核心问题经济调度:机组组合、最优潮流、安全约束优化。新能源消纳:风光储协同规划、弃风弃光率量化、爬坡速率约束建模多能耦合系统:电-气-热联合调度、P2G与储能容量配置新型电力系统关键技术灵活性资源:虚拟电厂、需求响应、V2G车网互动、分布式储能优化稳定与控制:惯量支撑策略、低频振荡抑制、黑启动预案设计低碳转型:碳捕集电厂建模、绿氢制备经济性分析、LCOE度电成本核算风光出力预测:LSTM/Transformer时序预测、预测误差场景生成(GAN/蒙特卡洛)不确定性优化:鲁棒优化、随机规划、机会约束建模能源流分析、PSASP复杂电网建模,经济调度,算法优化改进,模型优化,潮流分析,鲁棒优化,创新点,文献复现微电网配电网规划,运行调度,综合能源,混合储能容量配置,平抑风电波动,多目标优化,静态交通流量分配,阶梯碳交易,分段线性化,光伏混合储能VSG并网运行,构网型变流器, 虚拟同步机等包括混合储能HESS:蓄电池+超级电容器,电压补偿,削峰填谷,一次调频,功率指令跟随,光伏储能参与一次调频,功率平抑,直流母线电压控制;MPPT最大功率跟踪控制,构网型储能,光伏,微电网调度优化,新能源,虚拟同同步机,VSG并网,小信号模型
🌟 元胞自动机方面
交通流 人群疏散 病毒扩散 晶体生长 金属腐蚀
🌟 雷达方面
卡尔曼滤波跟踪、航迹关联、航迹融合、SOC估计、阵列优化、NLOS识别
🌟 车间调度
零等待流水车间调度问题NWFSP 、 置换流水车间调度问题PFSP、 混合流水车间调度问题HFSP 、零空闲流水车间调度问题NIFSP、分布式置换流水车间调度问题 DPFSP、阻塞流水车间调度问题BFSP
👇
614

被折叠的 条评论
为什么被折叠?



