✅作者简介:热爱科研的Matlab仿真开发者,擅长数据处理、建模仿真、程序设计、完整代码获取、论文复现及科研仿真。
🍎 往期回顾关注个人主页:Matlab科研工作室
🍊个人信条:格物致知,完整Matlab代码获取及仿真咨询内容私信。
🔥 内容介绍
随着海洋资源开发、海上安防巡逻、环境监测等领域的需求升级,无人船作为一种自主化、智能化的海上平台,正逐渐成为行业热点。而轨迹跟踪控制是无人船实现自主作业的核心技术之一,其性能直接决定了无人船能否精准完成预定任务。其中,直线轨迹跟踪是最基础且应用广泛的场景,无论是长距离海上运输、海域巡航,还是特定区域的测绘勘探,都离不开稳定可靠的直线跟踪控制能力。
然而,无人船在海上作业时,面临的环境极为复杂多变。风、浪、流的随机干扰,船舶自身的非线性动力学特性(如船体惯性、水动力阻尼的非线性变化),以及推进系统的延迟和参数摄动,都给直线轨迹跟踪控制带来了巨大挑战。传统的控制方法(如PID控制、经典滑模控制)虽然结构简单、易于实现,但在处理强非线性和不确定干扰时,往往存在跟踪精度低、响应速度慢、鲁棒性不足等问题。例如,当无人船遭遇突发海浪干扰时,传统滑模控制容易出现“抖振”现象,导致船体姿态剧烈波动,无法维持稳定的直线航行;而PID控制则难以自适应环境参数的动态变化,容易出现超调或稳态误差。
为了解决这些难题,研究者们开始将智能控制技术与传统控制方法相结合。神经网络凭借其强大的非线性逼近能力和自学习能力,能够自适应补偿无人船的非线性特性和外部干扰;自适应滑模控制则具有鲁棒性强、响应速度快的优势,能够有效抑制干扰对系统的影响。将两者融合,并基于Simulink搭建仿真平台进行验证,成为无人船直线轨迹跟踪控制的高效解决方案。这种融合控制策略不仅能够提升轨迹跟踪的精度和稳定性,还能增强系统对复杂海洋环境的适应能力,为无人船的实际应用奠定技术基础。
核心技术融合:自适应滑模控制+神经网络
自适应滑模控制:抗干扰的鲁棒控制核心
滑模控制(Sliding Mode Control, SMC)是一种基于变结构控制的非线性控制方法,其核心思想是通过控制律的切换,迫使系统状态沿着预设的“滑模面”运动,最终收敛到目标轨迹。相较于传统线性控制,滑模控制最大的优势在于对系统参数摄动和外部干扰具有强鲁棒性——只要系统状态进入滑模面,就能不受干扰影响,稳定跟踪目标轨迹。
但传统滑模控制存在明显缺陷:一是滑模面切换带来的“抖振”问题,这会加剧执行机构的磨损,影响无人船的航行稳定性;二是需要精确知晓系统的动力学模型参数,而实际海洋环境中,无人船的模型参数往往存在不确定性。自适应滑模控制(Adaptive Sliding Mode Control, ASMC)正是为解决这些问题而生:它通过引入自适应律,实时估计系统的未知参数和外部干扰的边界,动态调整控制律的参数,既能够削弱抖振现象,又能在模型参数不确定的情况下保证控制性能,完美适配无人船复杂的作业环境。
对于无人船直线轨迹跟踪而言,自适应滑模控制的核心是设计合理的滑模面和自适应律。滑模面通常基于轨迹跟踪误差(如位置误差、航向角误差)及其导数构建,确保系统能够快速收敛到目标直线;自适应律则通过实时更新干扰估计值,动态补偿风、浪、流等干扰对船体的影响,保证跟踪精度。
神经网络:非线性逼近与自适应补偿利器
神经网络(Neural Network, NN)是一种模拟生物神经网络结构的智能计算模型,具有强大的非线性逼近能力、自学习能力和容错能力。在无人船控制中,无人船的动力学模型存在显著的非线性项(如水动力非线性、推进系统非线性),且外部干扰(风、浪、流)具有随机性和不确定性,这些都难以通过精确的数学模型描述。而神经网络能够通过对样本数据的学习,自适应逼近这些非线性特性和不确定干扰,为自适应滑模控制提供精准的补偿信号。
在直线轨迹跟踪控制中,神经网络主要承担“不确定性补偿器”的角色。具体来说,通过采集无人船在不同海况下的航行数据(如船体姿态、航行速度、干扰力等),训练神经网络模型,使其能够准确逼近无人船的非线性动力学特性和外部干扰的等效值。将神经网络的输出作为补偿项融入自适应滑模控制律中,能够有效抵消非线性项和干扰对系统的影响,进一步提升控制精度和鲁棒性。例如,当无人船遭遇突发阵风时,神经网络能够快速识别干扰强度,通过自适应补偿调整控制信号,避免船体偏离目标直线轨迹。
常用的神经网络类型包括BP神经网络、RBF神经网络、小波神经网络等。其中,RBF神经网络由于结构简单、逼近精度高、收敛速度快,在无人船控制中应用较为广泛。它能够以任意精度逼近连续的非线性函数,非常适合用于补偿无人船的非线性动力学特性和不确定干扰。
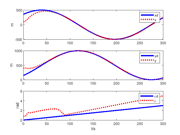
⛳️ 运行结果






📣 部分代码
sys=mdlDerivatives(t,x,u);
case 3,
sys=mdlOutputs(t,x,u);
case {2, 4, 9 }
sys = [];
otherwise
error(['Unhandled flag = ',num2str(flag)]);
end
function [sys,x0,str,ts]=mdlInitializeSizes
sizes = simsizes;
sizes.NumContStates = 183;
sizes.NumDiscStates = 0;
sizes.NumOutputs = 15;
sizes.NumInputs = 15;
sizes.DirFeedthrough = 1;
sizes.NumSampleTimes = 1;
sys = simsizes(sizes);
x0 = 0*ones(1,183);
% x0 = [];
str = [];
ts = [0 0];
global bo Lo
% L1o=20*[-30 -29 -28 -27 -26 -25 -24 -23 -22 -21 -20 -19 -18 -17 -16 -15 -14 -13 -12 -11 -10 -9 -8 -7 -6 -5 -4 -3 -2 -1 0 1 2 3 4 5 6 7 8 9 10 11 12 13 14 15 16 17 18 19 20 21 22 23 24 25 26 27 28 29 30];
% L2o=20*[0 1 2 3 4 5 6 7 8 9 10 11 12 13 14 15 16 17 18 19 20 21 22 23 24 25 26 27 28 29 30 31 32 33 34 35 36 37 38 39 40 41 42 43 44 45 46 47 48 49 50 51 52 53 54 55 56 57 58 59 60];
% L3o=[0 1 2 3 4 5 6 7 8 9 10 11 12 13 14 15 16 17 18 19 20 21 22 23 24 25 26 27 28 29 30 31 32 33 34 35 36 37 38 39 40 41 42 43 44 45 46 47 48 49 50 51 52 53 54 55 56 57 58 59 60];
Lo=[-30 -29 -28 -27 -26 -25 -24 -23 -22 -21 -20 -19 -18 -17 -16 -15 -14 -13 -12 -11 -10 -9 -8 -7 -6 -5 -4 -3 -2 -1 0 1 2 3 4 5 6 7 8 9 10 11 12 13 14 15 16 17 18 19 20 21 22 23 24 25 26 27 28 29 30;
-30 -29 -28 -27 -26 -25 -24 -23 -22 -21 -20 -19 -18 -17 -16 -15 -14 -13 -12 -11 -10 -9 -8 -7 -6 -5 -4 -3 -2 -1 0 1 2 3 4 5 6 7 8 9 10 11 12 13 14 15 16 17 18 19 20 21 22 23 24 25 26 27 28 29 30;
🔗 参考文献
🎈 部分理论引用网络文献,若有侵权联系博主删除
👇 关注我领取海量matlab电子书和数学建模资料
🏆团队擅长辅导定制多种科研领域MATLAB仿真,助力科研梦:
🌟 各类智能优化算法改进及应用
生产调度、经济调度、装配线调度、充电优化、车间调度、发车优化、水库调度、三维装箱、物流选址、货位优化、公交排班优化、充电桩布局优化、车间布局优化、集装箱船配载优化、水泵组合优化、解医疗资源分配优化、设施布局优化、可视域基站和无人机选址优化、背包问题、 风电场布局、时隙分配优化、 最佳分布式发电单元分配、多阶段管道维修、 工厂-中心-需求点三级选址问题、 应急生活物质配送中心选址、 基站选址、 道路灯柱布置、 枢纽节点部署、 输电线路台风监测装置、 集装箱调度、 机组优化、 投资优化组合、云服务器组合优化、 天线线性阵列分布优化、CVRP问题、VRPPD问题、多中心VRP问题、多层网络的VRP问题、多中心多车型的VRP问题、 动态VRP问题、双层车辆路径规划(2E-VRP)、充电车辆路径规划(EVRP)、油电混合车辆路径规划、混合流水车间问题、 订单拆分调度问题、 公交车的调度排班优化问题、航班摆渡车辆调度问题、选址路径规划问题、港口调度、港口岸桥调度、停机位分配、机场航班调度、泄漏源定位、冷链、时间窗、多车场等、选址优化、港口岸桥调度优化、交通阻抗、重分配、停机位分配、机场航班调度、通信上传下载分配优化
🌟 机器学习和深度学习时序、回归、分类、聚类和降维
2.1 bp时序、回归预测和分类
2.2 ENS声神经网络时序、回归预测和分类
2.3 SVM/CNN-SVM/LSSVM/RVM支持向量机系列时序、回归预测和分类
2.4 CNN|TCN|GCN卷积神经网络系列时序、回归预测和分类
2.5 ELM/KELM/RELM/DELM极限学习机系列时序、回归预测和分类
2.6 GRU/Bi-GRU/CNN-GRU/CNN-BiGRU门控神经网络时序、回归预测和分类
2.7 ELMAN递归神经网络时序、回归\预测和分类
2.8 LSTM/BiLSTM/CNN-LSTM/CNN-BiLSTM/长短记忆神经网络系列时序、回归预测和分类
2.9 RBF径向基神经网络时序、回归预测和分类
2.10 DBN深度置信网络时序、回归预测和分类
2.11 FNN模糊神经网络时序、回归预测
2.12 RF随机森林时序、回归预测和分类
2.13 BLS宽度学习时序、回归预测和分类
2.14 PNN脉冲神经网络分类
2.15 模糊小波神经网络预测和分类
2.16 时序、回归预测和分类
2.17 时序、回归预测预测和分类
2.18 XGBOOST集成学习时序、回归预测预测和分类
2.19 Transform各类组合时序、回归预测预测和分类
方向涵盖风电预测、光伏预测、电池寿命预测、辐射源识别、交通流预测、负荷预测、股价预测、PM2.5浓度预测、电池健康状态预测、用电量预测、水体光学参数反演、NLOS信号识别、地铁停车精准预测、变压器故障诊断
🌟图像处理方面
图像识别、图像分割、图像检测、图像隐藏、图像配准、图像拼接、图像融合、图像增强、图像压缩感知
🌟 路径规划方面
旅行商问题(TSP)、车辆路径问题(VRP、MVRP、CVRP、VRPTW等)、无人机三维路径规划、无人机协同、无人机编队、机器人路径规划、栅格地图路径规划、多式联运运输问题、 充电车辆路径规划(EVRP)、 双层车辆路径规划(2E-VRP)、 油电混合车辆路径规划、 船舶航迹规划、 全路径规划规划、 仓储巡逻、公交车时间调度、水库调度优化、多式联运优化
🌟 无人机应用方面
无人机路径规划、无人机控制、无人机编队、无人机协同、无人机任务分配、无人机安全通信轨迹在线优化、车辆协同无人机路径规划、
🌟 通信方面
传感器部署优化、通信协议优化、路由优化、目标定位优化、Dv-Hop定位优化、Leach协议优化、WSN覆盖优化、组播优化、RSSI定位优化、水声通信、通信上传下载分配
🌟 信号处理方面
信号识别、信号加密、信号去噪、信号增强、雷达信号处理、信号水印嵌入提取、肌电信号、脑电信号、信号配时优化、心电信号、DOA估计、编码译码、变分模态分解、管道泄漏、滤波器、数字信号处理+传输+分析+去噪、数字信号调制、误码率、信号估计、DTMF、信号检测
🌟电力系统方面
微电网优化、无功优化、配电网重构、储能配置、有序充电、MPPT优化、家庭用电、电/冷/热负荷预测、电力设备故障诊断、电池管理系统(BMS)SOC/SOH估算(粒子滤波/卡尔曼滤波)、 多目标优化在电力系统调度中的应用、光伏MPPT控制算法改进(扰动观察法/电导增量法)、电动汽车充放电优化、微电网日前日内优化、储能优化、家庭用电优化、供应链优化\智能电网分布式能源经济优化调度,虚拟电厂,能源消纳,风光出力,控制策略,多目标优化,博弈能源调度,鲁棒优化
电力系统核心问题经济调度:机组组合、最优潮流、安全约束优化。新能源消纳:风光储协同规划、弃风弃光率量化、爬坡速率约束建模多能耦合系统:电-气-热联合调度、P2G与储能容量配置新型电力系统关键技术灵活性资源:虚拟电厂、需求响应、V2G车网互动、分布式储能优化稳定与控制:惯量支撑策略、低频振荡抑制、黑启动预案设计低碳转型:碳捕集电厂建模、绿氢制备经济性分析、LCOE度电成本核算风光出力预测:LSTM/Transformer时序预测、预测误差场景生成(GAN/蒙特卡洛)不确定性优化:鲁棒优化、随机规划、机会约束建模能源流分析、PSASP复杂电网建模,经济调度,算法优化改进,模型优化,潮流分析,鲁棒优化,创新点,文献复现微电网配电网规划,运行调度,综合能源,混合储能容量配置,平抑风电波动,多目标优化,静态交通流量分配,阶梯碳交易,分段线性化,光伏混合储能VSG并网运行,构网型变流器, 虚拟同步机等包括混合储能HESS:蓄电池+超级电容器,电压补偿,削峰填谷,一次调频,功率指令跟随,光伏储能参与一次调频,功率平抑,直流母线电压控制;MPPT最大功率跟踪控制,构网型储能,光伏,微电网调度优化,新能源,虚拟同同步机,VSG并网,小信号模型
🌟 元胞自动机方面
交通流 人群疏散 病毒扩散 晶体生长 金属腐蚀
🌟 雷达方面
卡尔曼滤波跟踪、航迹关联、航迹融合、SOC估计、阵列优化、NLOS识别
🌟 车间调度
零等待流水车间调度问题NWFSP 、 置换流水车间调度问题PFSP、 混合流水车间调度问题HFSP 、零空闲流水车间调度问题NIFSP、分布式置换流水车间调度问题 DPFSP、阻塞流水车间调度问题BFSP
👇
5 往期回顾扫扫下方二维码

644

被折叠的 条评论
为什么被折叠?



