✅作者简介:热爱科研的Matlab仿真开发者,擅长数据处理、建模仿真、程序设计、完整代码获取、论文复现及科研仿真。
🍎 往期回顾关注个人主页:Matlab科研工作室
🍊个人信条:格物致知,完整Matlab代码及仿真咨询内容私信。
🔥 内容介绍
在现代科学和工程领域,时序数据无处不在,例如语音信号、金融时间序列、生物医学信号、传感器网络数据等等。然而,实际采集到的时序数据往往受到各种噪声的污染,影响后续的分析和应用。同时,如何从复杂多变的时序数据中提取有意义的模式,一直是研究人员关注的核心问题。因此,有效的时序数据去噪和模式识别技术对于提高数据质量、挖掘潜在信息至关重要。近年来,利用稀疏辅助信号处理方法,在时序数据去噪和模式识别方面取得了显著进展,为解决传统方法的局限性提供了新的思路。本文将深入探讨基于稀疏辅助信号的时序数据去噪和模式识别的原理、方法以及应用,并展望未来的发展趋势。
一、时序数据去噪的挑战与稀疏表示的优势
时序数据去噪旨在从含有噪声的时序数据中恢复出原始的干净信号。传统的去噪方法,例如均值滤波、中值滤波、小波变换等,通常基于信号的时域或频域特性进行设计。这些方法在处理高斯白噪声时可能取得较好的效果,但在处理非高斯噪声、脉冲噪声或者信号与噪声频率重叠的情况下,其性能往往会受到限制。此外,许多现实中的时序信号具有非平稳、非线性等特点,传统的线性滤波方法难以适应这些复杂信号的特性。
稀疏表示理论的兴起,为解决时序数据去噪问题提供了新的视角。稀疏表示的核心思想是,许多自然信号在某个合适的变换域下可以被少数几个非零系数近似表示。这意味着,即使信号受到噪声污染,其稀疏结构仍然可以在变换域中得到保留。通过对含噪信号进行稀疏表示,可以将信号能量集中在少数几个系数上,而噪声能量则分布在更多的系数上。因此,通过对稀疏系数进行阈值处理或者优化求解,可以有效地去除噪声,从而实现信号的恢复。
相比于传统的去噪方法,基于稀疏表示的去噪方法具有以下优势:
-
适应性强: 可以根据信号的特性选择合适的变换域(例如傅里叶变换、小波变换、Gabor变换、Curvelet变换等),从而更好地捕捉信号的稀疏结构。
-
鲁棒性高: 对非高斯噪声、脉冲噪声等具有较强的鲁棒性,即使在信号与噪声频率重叠的情况下,仍然可以实现有效的去噪。
-
高分辨率: 可以保留信号的细节信息,避免过度平滑,从而获得更高的信号恢复质量。
二、基于稀疏辅助信号的时序数据去噪方法
基于稀疏辅助信号的时序数据去噪方法,通常包括以下几个步骤:
-
选择合适的变换域: 根据信号的特性,选择能够有效地表示信号稀疏性的变换域。例如,对于具有周期性的信号,可以选择傅里叶变换;对于具有瞬态特性的信号,可以选择小波变换。
-
进行稀疏表示: 将含噪信号变换到选定的变换域,得到稀疏系数。
-
进行阈值处理或优化求解: 对稀疏系数进行处理,目的是区分信号的稀疏系数和噪声的稀疏系数。常用的方法包括硬阈值、软阈值、迭代阈值等。也可以通过求解优化问题,例如L1正则化问题,来获得稀疏解。
-
重构信号: 将处理后的稀疏系数反变换到时域,得到去噪后的信号。
在具体实现中,还需要考虑以下几个关键问题:
-
阈值的选择: 阈值的选择对去噪效果至关重要。过大的阈值会导致信号的细节信息丢失,而过小的阈值则无法有效地去除噪声。常用的阈值选择方法包括通用阈值、Stein无偏风险估计(SURE)阈值等。
-
冗余字典的学习: 在某些情况下,固定的变换域可能无法有效地表示信号的稀疏性。此时,可以利用字典学习算法,从训练数据中学习出一个自适应的字典,从而更好地捕捉信号的特征。
-
参数的优化: 在优化求解过程中,需要选择合适的正则化参数,以平衡信号的稀疏性和数据拟合程度。常用的参数优化方法包括交叉验证、广义交叉验证等。
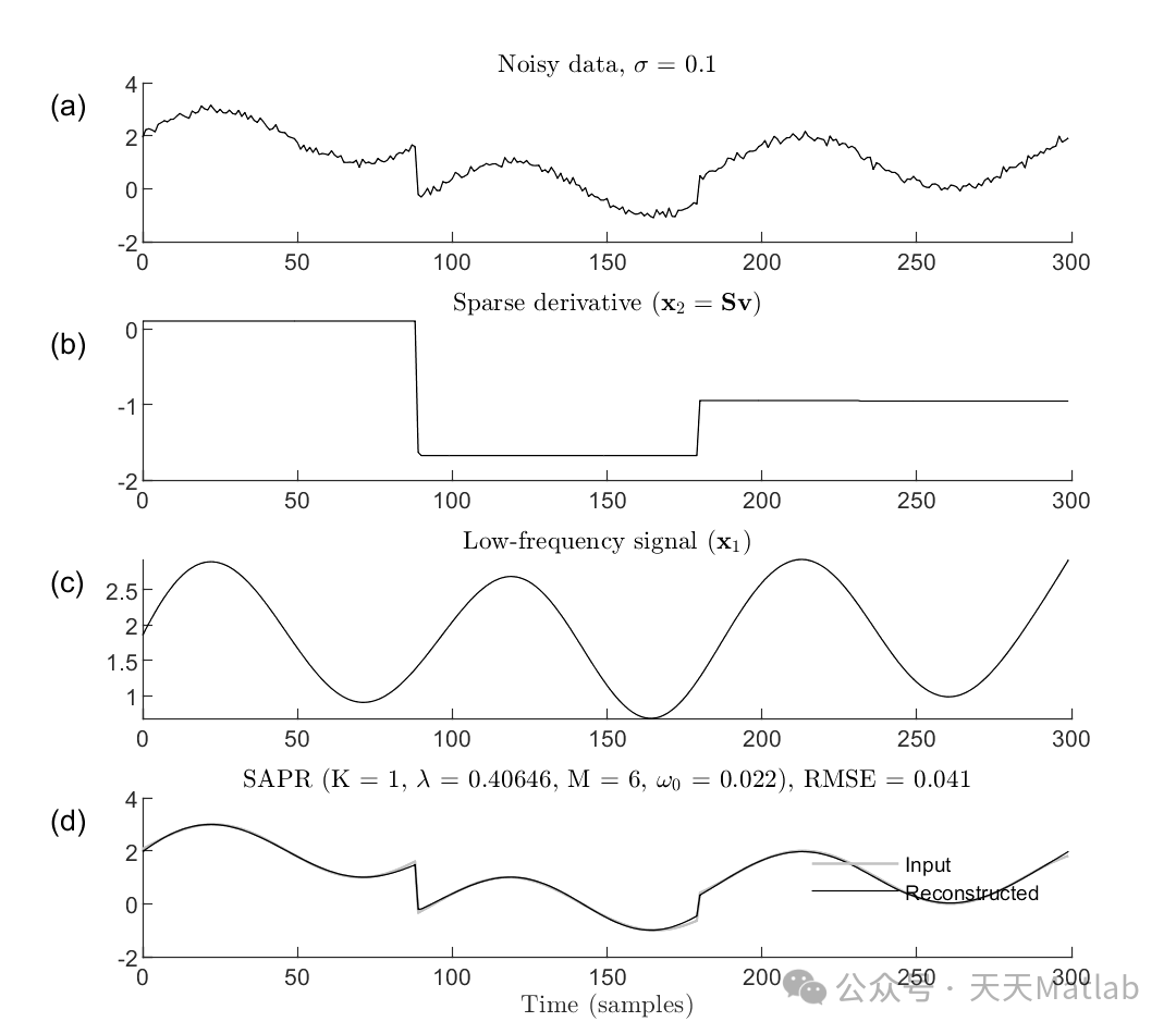
⛳️ 运行结果



🔗 参考文献
[1] 邵列.局部放电检测系统中的信号去噪与模式识别的研究[D].西安电子科技大学[2025-02-16].DOI:10.7666/d.d100466.
📣 部分代码
🎈 部分理论引用网络文献,若有侵权联系博主删除
👇 关注我领取海量matlab电子书和数学建模资料
🏆团队擅长辅导定制多种科研领域MATLAB仿真,助力科研梦:
🌈 各类智能优化算法改进及应用
生产调度、经济调度、装配线调度、充电优化、车间调度、发车优化、水库调度、三维装箱、物流选址、货位优化、公交排班优化、充电桩布局优化、车间布局优化、集装箱船配载优化、水泵组合优化、解医疗资源分配优化、设施布局优化、可视域基站和无人机选址优化、背包问题、 风电场布局、时隙分配优化、 最佳分布式发电单元分配、多阶段管道维修、 工厂-中心-需求点三级选址问题、 应急生活物质配送中心选址、 基站选址、 道路灯柱布置、 枢纽节点部署、 输电线路台风监测装置、 集装箱调度、 机组优化、 投资优化组合、云服务器组合优化、 天线线性阵列分布优化、CVRP问题、VRPPD问题、多中心VRP问题、多层网络的VRP问题、多中心多车型的VRP问题、 动态VRP问题、双层车辆路径规划(2E-VRP)、充电车辆路径规划(EVRP)、油电混合车辆路径规划、混合流水车间问题、 订单拆分调度问题、 公交车的调度排班优化问题、航班摆渡车辆调度问题、选址路径规划问题、港口调度、港口岸桥调度、停机位分配、机场航班调度、泄漏源定位
🌈 机器学习和深度学习时序、回归、分类、聚类和降维
2.1 bp时序、回归预测和分类
2.2 ENS声神经网络时序、回归预测和分类
2.3 SVM/CNN-SVM/LSSVM/RVM支持向量机系列时序、回归预测和分类
2.4 CNN|TCN|GCN卷积神经网络系列时序、回归预测和分类
2.5 ELM/KELM/RELM/DELM极限学习机系列时序、回归预测和分类
2.6 GRU/Bi-GRU/CNN-GRU/CNN-BiGRU门控神经网络时序、回归预测和分类
2.7 ELMAN递归神经网络时序、回归\预测和分类
2.8 LSTM/BiLSTM/CNN-LSTM/CNN-BiLSTM/长短记忆神经网络系列时序、回归预测和分类
2.9 RBF径向基神经网络时序、回归预测和分类
2.10 DBN深度置信网络时序、回归预测和分类
2.11 FNN模糊神经网络时序、回归预测
2.12 RF随机森林时序、回归预测和分类
2.13 BLS宽度学习时序、回归预测和分类
2.14 PNN脉冲神经网络分类
2.15 模糊小波神经网络预测和分类
2.16 时序、回归预测和分类
2.17 时序、回归预测预测和分类
2.18 XGBOOST集成学习时序、回归预测预测和分类
2.19 Transform各类组合时序、回归预测预测和分类
方向涵盖风电预测、光伏预测、电池寿命预测、辐射源识别、交通流预测、负荷预测、股价预测、PM2.5浓度预测、电池健康状态预测、用电量预测、水体光学参数反演、NLOS信号识别、地铁停车精准预测、变压器故障诊断
🌈图像处理方面
图像识别、图像分割、图像检测、图像隐藏、图像配准、图像拼接、图像融合、图像增强、图像压缩感知
🌈 路径规划方面
旅行商问题(TSP)、车辆路径问题(VRP、MVRP、CVRP、VRPTW等)、无人机三维路径规划、无人机协同、无人机编队、机器人路径规划、栅格地图路径规划、多式联运运输问题、 充电车辆路径规划(EVRP)、 双层车辆路径规划(2E-VRP)、 油电混合车辆路径规划、 船舶航迹规划、 全路径规划规划、 仓储巡逻
🌈 无人机应用方面
无人机路径规划、无人机控制、无人机编队、无人机协同、无人机任务分配、无人机安全通信轨迹在线优化、车辆协同无人机路径规划
🌈 通信方面
传感器部署优化、通信协议优化、路由优化、目标定位优化、Dv-Hop定位优化、Leach协议优化、WSN覆盖优化、组播优化、RSSI定位优化、水声通信、通信上传下载分配
🌈 信号处理方面
信号识别、信号加密、信号去噪、信号增强、雷达信号处理、信号水印嵌入提取、肌电信号、脑电信号、信号配时优化、心电信号、DOA估计、编码译码、变分模态分解、管道泄漏、滤波器、数字信号处理+传输+分析+去噪、数字信号调制、误码率、信号估计、DTMF、信号检测
🌈电力系统方面
微电网优化、无功优化、配电网重构、储能配置、有序充电、MPPT优化、家庭用电
🌈 元胞自动机方面
交通流 人群疏散 病毒扩散 晶体生长 金属腐蚀
🌈 雷达方面
卡尔曼滤波跟踪、航迹关联、航迹融合、SOC估计、阵列优化、NLOS识别
🌈 车间调度
零等待流水车间调度问题NWFSP 、 置换流水车间调度问题PFSP、 混合流水车间调度问题HFSP 、零空闲流水车间调度问题NIFSP、分布式置换流水车间调度问题 DPFSP、阻塞流水车间调度问题BFSP
👇
634

被折叠的 条评论
为什么被折叠?



