✅作者简介:热爱科研的Matlab仿真开发者,擅长数据处理、建模仿真、程序设计、完整代码获取、论文复现及科研仿真。
🍎个人主页:Matlab科研工作室
🍊个人信条:格物致知,求助可私信。
🔥 内容介绍
扩展卡尔曼滤波器 (Extended Kalman Filter, EKF) 是一种广泛应用于非线性系统状态估计的算法。其核心思想是将非线性系统在工作点附近进行线性化,然后利用卡尔曼滤波的递推公式进行状态估计。然而,标准的 EKF 仅基于一阶泰勒展开进行线性化,在非线性程度较高的系统中,其精度往往难以满足要求。为了提高 EKF 的精度和鲁棒性,二阶连续离散近似方法应运而生,它通过考虑二阶泰勒展开项,更准确地描述系统的非线性特性。本文将深入探讨扩展卡尔曼滤波器的二阶连续离散近似方法,分析其推导过程、优缺点以及应用场景。
一、标准 EKF 的局限性
标准 EKF 假设系统状态方程和观测方程均为非线性函数:
-
状态方程:
xₖ₊₁ = f(xₖ, uₖ, wₖ) -
观测方程:
zₖ = h(xₖ, vₖ)
其中,xₖ 表示 k 时刻的状态向量,uₖ 表示控制输入,wₖ 表示过程噪声,zₖ 表示观测向量,vₖ 表示观测噪声。标准 EKF 将这些非线性函数在一阶泰勒展开处线性化,从而得到线性化状态方程和观测方程,进而利用卡尔曼滤波递推公式进行状态估计。
然而,这种一阶线性化方法存在明显的局限性:
-
线性化误差: 当系统非线性程度较高时,一阶泰勒展开的线性化误差较大,导致状态估计精度下降。特别是当系统处于非线性区域或噪声较大时,这种误差尤为显著。
-
收敛性问题: 由于线性化误差的存在,EKF 的收敛性难以保证,甚至可能导致滤波发散。
-
计算复杂度: 尽管比其他非线性滤波算法(如粒子滤波)计算量相对较小,但仍然需要计算雅可比矩阵,增加了计算负担。
二、二阶连续离散近似的推导
为了克服标准 EKF 的局限性,二阶连续离散近似方法采用二阶泰勒展开来近似非线性函数。该方法的核心思想是将连续时间系统离散化后,再进行二阶泰勒展开线性化。
考虑连续时间系统状态方程:
dx/dt = f(x, u, w)
利用二阶龙格-库塔法进行离散化,可以得到:
xₖ₊₁ = xₖ + Δt * f(xₖ, uₖ, 0) + (Δt²/2) * (∂f/∂x) * f(xₖ, uₖ, 0) + ... (忽略高阶项及噪声项)
其中,Δt 为采样时间间隔。将上述公式进一步展开,并考虑过程噪声和观测噪声,可以得到二阶近似的状态方程和观测方程。与一阶 EKF 相比,该方法考虑了二阶偏导数项,更准确地反映了系统的非线性特性。
三、二阶 EKF 的算法流程
二阶连续离散近似 EKF 的算法流程与标准 EKF 类似,主要区别在于状态方程和观测方程的线性化方式以及协方差更新公式。具体步骤如下:
-
预测步骤:
-
利用二阶近似公式预测状态和协方差。
-
计算过程噪声协方差矩阵。
-
-
更新步骤:
-
利用二阶近似公式计算观测预测值。
-
计算卡尔曼增益。
-
更新状态估计和协方差矩阵。
-
具体的公式推导较为复杂,涉及到二阶偏导数的计算以及矩阵运算。
四、二阶连续离散近似的优缺点
优点:
-
更高的精度: 相比标准 EKF,二阶近似方法能够显著提高状态估计精度,尤其在非线性程度较高的系统中。
-
更好的收敛性: 由于线性化误差减小,二阶 EKF 的收敛性得到改善,不易发散。
缺点:
-
更高的计算复杂度: 需要计算二阶偏导数,增加了计算负担。
-
实现难度较大: 算法实现相对复杂,需要进行大量的矩阵运算。
-
对模型精度要求较高: 二阶近似方法对模型的精度要求更高,如果模型本身精度不高,则算法的精度也难以保证。
五、应用场景
二阶连续离散近似 EKF 适用于需要高精度状态估计的非线性系统,例如:
-
机器人导航: 在复杂环境中进行机器人定位和路径规划。
-
目标跟踪: 跟踪非线性运动轨迹的目标。
-
航空航天: 对飞行器姿态和轨迹进行估计。
-
经济预测: 对经济指标进行预测和分析。
六、结论
扩展卡尔曼滤波器的二阶连续离散近似方法通过考虑二阶泰勒展开项,有效提高了状态估计精度和鲁棒性。虽然计算复杂度有所增加,但在需要高精度状态估计的应用场景中,其优势是显而易见的。未来的研究方向可以集中在如何降低计算复杂度,以及如何进一步提高算法的鲁棒性和适应性。 同时,更高级的非线性滤波算法,如无迹卡尔曼滤波 (Unscented Kalman Filter, UKF) 和粒子滤波 (Particle Filter),也值得研究和比较,以选择最适合特定应用场景的算法。
📣 部分代码
%% Equations
% States: X = [x1; x2; x3] = [position; velocity; spring constant]
% Input: U = F = Force input
% Meas: Y = [x1; Fstiffness] (to make it nonlinear, otherwise Hxx would be 0 matrix)
syms t x1 x2 x3 U
X = [x1; x2; x3];
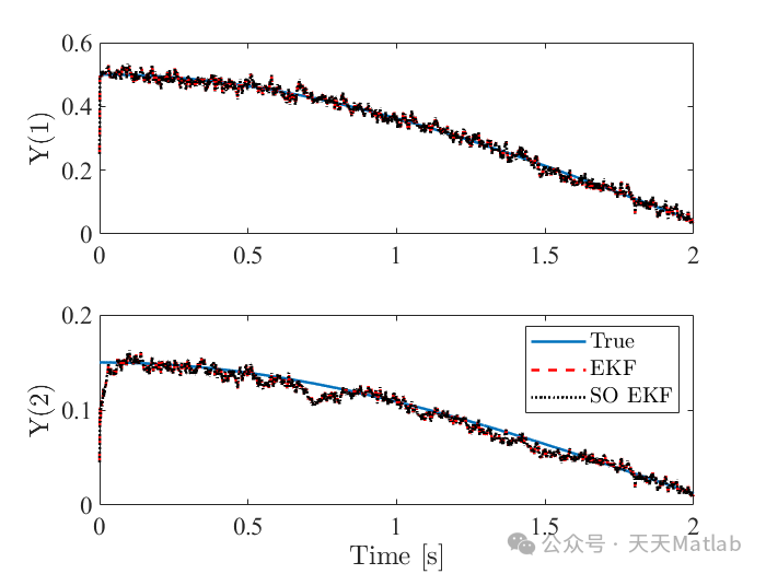
⛳️ 运行结果


🔗 参考文献
🎈 部分理论引用网络文献,若有侵权联系博主删除
👇 关注我领取海量matlab电子书和数学建模资料
🎁 私信完整代码和数据获取及论文数模仿真定制
🌿 往期回顾可以关注主页,点击搜索
🏆团队擅长辅导定制多种科研领域MATLAB仿真,助力科研梦:
🌈 各类智能优化算法改进及应用
生产调度、经济调度、装配线调度、充电优化、车间调度、发车优化、水库调度、三维装箱、物流选址、货位优化、公交排班优化、充电桩布局优化、车间布局优化、集装箱船配载优化、水泵组合优化、解医疗资源分配优化、设施布局优化、可视域基站和无人机选址优化、背包问题、 风电场布局、时隙分配优化、 最佳分布式发电单元分配、多阶段管道维修、 工厂-中心-需求点三级选址问题、 应急生活物质配送中心选址、 基站选址、 道路灯柱布置、 枢纽节点部署、 输电线路台风监测装置、 集装箱调度、 机组优化、 投资优化组合、云服务器组合优化、 天线线性阵列分布优化、CVRP问题、VRPPD问题、多中心VRP问题、多层网络的VRP问题、多中心多车型的VRP问题、 动态VRP问题、双层车辆路径规划(2E-VRP)、充电车辆路径规划(EVRP)、油电混合车辆路径规划、混合流水车间问题、 订单拆分调度问题、 公交车的调度排班优化问题、航班摆渡车辆调度问题、选址路径规划问题、港口调度、港口岸桥调度、停机位分配、机场航班调度、泄漏源定位
🌈 机器学习和深度学习时序、回归、分类、聚类和降维
2.1 bp时序、回归预测和分类
2.2 ENS声神经网络时序、回归预测和分类
2.3 SVM/CNN-SVM/LSSVM/RVM支持向量机系列时序、回归预测和分类
2.4 CNN|TCN|GCN卷积神经网络系列时序、回归预测和分类
2.5 ELM/KELM/RELM/DELM极限学习机系列时序、回归预测和分类
2.6 GRU/Bi-GRU/CNN-GRU/CNN-BiGRU门控神经网络时序、回归预测和分类
2.7 ELMAN递归神经网络时序、回归\预测和分类
2.8 LSTM/BiLSTM/CNN-LSTM/CNN-BiLSTM/长短记忆神经网络系列时序、回归预测和分类
2.9 RBF径向基神经网络时序、回归预测和分类
2.10 DBN深度置信网络时序、回归预测和分类
2.11 FNN模糊神经网络时序、回归预测
2.12 RF随机森林时序、回归预测和分类
2.13 BLS宽度学习时序、回归预测和分类
2.14 PNN脉冲神经网络分类
2.15 模糊小波神经网络预测和分类
2.16 时序、回归预测和分类
2.17 时序、回归预测预测和分类
2.18 XGBOOST集成学习时序、回归预测预测和分类
2.19 Transform各类组合时序、回归预测预测和分类
方向涵盖风电预测、光伏预测、电池寿命预测、辐射源识别、交通流预测、负荷预测、股价预测、PM2.5浓度预测、电池健康状态预测、用电量预测、水体光学参数反演、NLOS信号识别、地铁停车精准预测、变压器故障诊断
🌈图像处理方面
图像识别、图像分割、图像检测、图像隐藏、图像配准、图像拼接、图像融合、图像增强、图像压缩感知
🌈 路径规划方面
旅行商问题(TSP)、车辆路径问题(VRP、MVRP、CVRP、VRPTW等)、无人机三维路径规划、无人机协同、无人机编队、机器人路径规划、栅格地图路径规划、多式联运运输问题、 充电车辆路径规划(EVRP)、 双层车辆路径规划(2E-VRP)、 油电混合车辆路径规划、 船舶航迹规划、 全路径规划规划、 仓储巡逻
🌈 无人机应用方面
无人机路径规划、无人机控制、无人机编队、无人机协同、无人机任务分配、无人机安全通信轨迹在线优化、车辆协同无人机路径规划
🌈 通信方面
传感器部署优化、通信协议优化、路由优化、目标定位优化、Dv-Hop定位优化、Leach协议优化、WSN覆盖优化、组播优化、RSSI定位优化、水声通信、通信上传下载分配
🌈 信号处理方面
信号识别、信号加密、信号去噪、信号增强、雷达信号处理、信号水印嵌入提取、肌电信号、脑电信号、信号配时优化、心电信号、DOA估计、编码译码、变分模态分解、管道泄漏、滤波器、数字信号处理+传输+分析+去噪、数字信号调制、误码率、信号估计、DTMF、信号检测
🌈电力系统方面
微电网优化、无功优化、配电网重构、储能配置、有序充电、MPPT优化、家庭用电
🌈 元胞自动机方面
交通流 人群疏散 病毒扩散 晶体生长 金属腐蚀
🌈 雷达方面
卡尔曼滤波跟踪、航迹关联、航迹融合、SOC估计、阵列优化、NLOS识别
🌈 车间调度
零等待流水车间调度问题NWFSP 、 置换流水车间调度问题PFSP、 混合流水车间调度问题HFSP 、零空闲流水车间调度问题NIFSP、分布式置换流水车间调度问题 DPFSP、阻塞流水车间调度问题BFSP
👇
5945

被折叠的 条评论
为什么被折叠?



