✅作者简介:热爱科研的Matlab仿真开发者,修心和技术同步精进,matlab项目合作可私信。
🍎个人主页:Matlab科研工作室
🍊个人信条:格物致知。
更多Matlab仿真内容点击👇
⛄ 内容介绍
在当今信息时代,数据的时序预测对于许多领域的决策和规划至关重要。无论是金融市场的趋势预测、天气预报的准确性提升,还是交通流量的预测与优化,都需要有效的时序预测模型来支持决策制定。深度置信网络(Deep Belief Network,DBN)作为一种强大的机器学习模型,已经在各个领域展现出了出色的性能。然而,由于DBN的训练过程需要大量的计算资源和时间,以及对超参数的敏感性,使得其在时序预测任务中的应用存在一定的挑战。
为了解决DBN在时序预测中的问题,研究人员提出了一种基于麻雀算法(Sparrow Search Algorithm,SSA)优化DBN的方法,称之为SSA-DBN。SSA是一种基于自然界中麻雀觅食行为的启发式优化算法,其模拟了麻雀在搜索食物时的策略,具有全局搜索和局部搜索能力。通过将SSA应用于DBN的训练过程中,可以有效地提高DBN的性能。
在SSA-DBN中,首先需要构建DBN的结构。DBN由多个堆叠的限制玻尔兹曼机(Restricted Boltzmann Machine,RBM)组成,其中每个RBM都由可见层和隐藏层组成。通过逐层训练,DBN可以从数据中学习到更高层次的抽象特征。然后,将SSA应用于DBN的训练过程中,通过调整DBN的超参数和权重矩阵,使得DBN能够更好地适应时序预测任务。
SSA-DBN的优点在于能够有效地提高DBN的性能,并且具有较好的鲁棒性。通过SSA的全局搜索和局部搜索能力,可以避免DBN陷入局部最优解,并且可以寻找到更优的权重矩阵。此外,SSA-DBN还能够自动选择合适的超参数,减少了人工调参的工作量。
然而,SSA-DBN也存在一些挑战和限制。首先,SSA算法本身的参数设置对于优化结果有较大影响,需要经验丰富的研究人员进行调整。其次,SSA-DBN的训练过程仍然需要大量的计算资源和时间,对于大规模数据集可能存在一定的困难。此外,SSA-DBN在应对非线性时序预测任务时的性能仍有待进一步提升。
总结而言,基于麻雀算法优化深度置信网络SSA-DBN是一种有效的时序预测方法,具有较好的性能和鲁棒性。通过SSA的全局搜索和局部搜索能力,可以提高DBN在时序预测任务中的表现。然而,仍需要进一步的研究和改进,以提高SSA-DBN在复杂时序预测任务中的适应性和性能。
⛄ 核心代码
% pretrainDBN: pre-training the Deep Belief Nets (DBN) model by ContrastiveDivergence Learning %DBN的预训练:通过对比发散学习预训练深层信念网(DBN)模型。%%% dbn = pretrainDBN(dbn, V, opts)%对dbn进行预训练%%%Output parameters:%输出参数% dbn: the trained Deep Belief Nets (DBN) model%dbn:被训练的深度信念网络%%%Input parameters:%输入参数% dbn: the initial Deep Belief Nets (DBN) model%dbn:为最初的深度信念网络模型。% V: visible (input) variables, where # of row is number of data and # of col is # of visible (input) nodes%可见(输入)变量,第一行是数据的数量,而#是可见(输入)节点的#。% opts (optional): options%选择(可选):选项%% options (defualt value):%选项(默认值)% opts.LayerNum: # of tarining RBMs counted from input layer (all layer)%opts.LayerNum:指训练中的受限玻尔兹曼机从输入层(所有层)的层数% opts.MaxIter: Maxium iteration number (100)%opts.MaxIter马克西姆迭代数(100)% opts.InitialMomentum: Initial momentum until InitialMomentumIter(0.5)%opts.InitialMomentum:初始动量,直到初始动量仪(0.5)% opts.InitialMomentumIter: Iteration number for initial momentum(5)%opts.InitialMomentumIter:初始动量的迭代数(5)% opts.FinalMomentum: Final momentum after InitialMomentumIter(0.9)%opts.FinalMomentum:初始动量之后的最终动量(0.9)% opts.WeightCost: Weight cost (0.0002)%opts.WeightCost:权重(0.0002)% opts.DropOutRate: List of Dropout rates for each layer(0)%opts.DropOutRate:每一层的退学率(0)% opts.StepRatio: Learning step size (0.01)%opts.StepRatio:学习步长(0.01)% opts.BatchSize: # of mini-batch data (# of all data)%opts.BatchSize:小批量数据#(所有数据的#)% opts.Verbose: verbose or not (false)%opts.Verbose:详细的过程与否(错误)% opts.SparseQ: q parameter of sparse learning (0)%opts.SparseQ:稀疏学习的q参数(0)% opts.SparseLambda: lambda parameter (weight) of sparse learning(0)%opts.SparseLambda:λ参数(重量)的稀疏学习%%%Example:%举例% datanum = 1024;%数据数目% outputnum = 16;%输出数目% hiddennum = 8;%隐层数目% inputnum = 4;%输入数目% inputdata = rand(datanum, inputnum);%输入数据为一个datanum行,inputnum列的随机矩阵% outputdata = rand(datanum, outputnum);%输出矩阵为一个datanum行,outputnum列的随机矩阵%% dbn = randDBN([inputnum, hiddennum, outputnum]);%dbn为随机深度信念网络[输入数目,隐层数目,输出数目]% dbn = pretrainDBN( dbn, inputdata );dbn为预训练深度训练网络(dbn,输入数据)% dbn = SetLinearMapping( dbn, inputdata, outputdata );%调用SetLinearMapping函数% dbn = trainDBN( dbn, inputdata, outputdata );%调用trainDBN函数%% estimate = v2h( dbn, inputdata );%调用v2h函数%%%Reference:%参考%for details of the dropout%关于辍学的细节% Hinton et al, Improving neural networks by preventing co-adaptation of feature detectors, 2012.%Hinton等人,通过阻止功能探测器的协同适应,改善神经网络,2012年。%for details of the sparse learning%关于稀疏学习的细节。% Lee et al, Sparse deep belief net model for visual area V2, NIPS 2008.%Lee等人,稀疏的深层信仰网络模型的视觉区域V2, NIPS 2008。%%%Version: 20130821%版本:20130821%%%%%%%%%%%%%%%%%%%%%%%%%%%%%%%%%%%%%%%%%%%%%%%%%%%%%%%%%%%%% Deep Neural Network: %深度神经网络 %% %% Copyright (C) 2013 Masayuki Tanaka. All rights reserved. %% mtanaka@ctrl.titech.ac.jp %% %版权(C) 2013年Masayuki Tanaka。保留所有权利。 %%%%%%%%%%%%%%%%%%%%%%%%%%%%%%%%%%%%%%%%%%%%%%%%%%%%%%%%%%%%%function dbn = pretrainDBN(dbn, V, opts)%pretrainDBN的调用格式LayerNum = numel( dbn.rbm );%LayerNum为dbn.rbm中元素的个数DropOutRate = zeros(LayerNum,1);%DropOutRate为X = V;%X为Vif( exist('opts' ) )%如果存在optsif( isfield(opts,'LayerNum') )%检查结构体opts是否包含由LayerNum指定的域, 如果包含,返回逻辑1; 如果opts不包含LayerNum域或者opts不是结构体类型的, 返回逻辑0。LayerNum = opts.LayerNum;%LayerNum为opts.LayerNumendif( isfield(opts,'DropOutRate') )%检查结构体opts是否包含由DropOutRate指定的域, 如果包含,返回逻辑1; 如果opts不包含DropOutRate域或者opts不是结构体类型的, 返回逻辑0。DropOutRate = opts.DropOutRate;%DropOutRate为opts.DropOutRateif( numel( DropOutRate ) == 1 )%如果DropOutRate中的元素个数恒为1DropOutRate = ones(LayerNum,1) * DropOutRate;%DropOutRate为LayerNum行,1列的全一矩阵乘以DropOutRateendendelseopts = [];%opts为空矩阵endfor i=1:LayerNum%i的取值范围为从1到LayerNumopts.DropOutRate = DropOutRate(i);%opts.DropOutRate为DropOutRate(i)dbn.rbm{i} = pretrainRBM(dbn.rbm{i}, X, opts);%dbn.rbm{1}调用pretrainRBM函数X0 = X;%X0为XX = v2h( dbn.rbm{i}, X0 );%X为调用v2h函数end
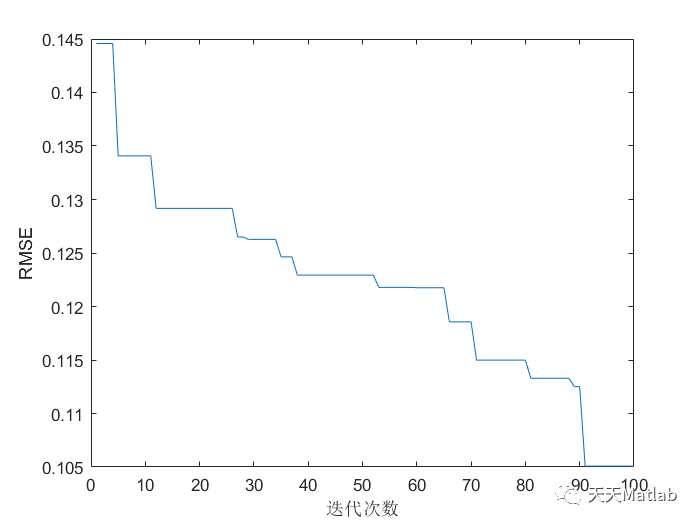
⛄ 运行结果




⛄ 参考文献
[1] 戴昊,雷发美,商少平,等.一种基于深度学习的有义波高预测方法:CN201811380116.7[P].CN109460874A[2023-08-25].
[2] 常东峰,南新元.基于改进麻雀算法的深度信念网络短期光伏功率预测[J].现代电子技术, 2022(017):045.
[3] 臧海祥,夏倩倩,许瑞琦,等.基于麻雀搜索算法-深度信念网络的日太阳辐射估计模型:CN202110799190.8[P].CN202110799190.8[2023-08-25].
[4] 赵莹莹,何怡刚,杜博伦,等.基于LSSA优化DBN的双有源桥变换器开路故障诊断[J].电子测量与仪器学报, 2022(036-004).
[5] 常东峰,南新元.基于混合麻雀算法改进反向传播神经网络的短期光伏功率预测[J].现代电力, 2022, 39(3):12.
SSA-DBN:智能优化在时序预测中的深度学习应用,
文章探讨了如何利用麻雀算法优化深度置信网络(DBN),以提高时序预测的性能,同时提及了面临的挑战如参数调整和计算效率。
108

被折叠的 条评论
为什么被折叠?



