✅作者简介:热爱科研的Matlab仿真开发者,修心和技术同步精进,matlab项目合作可私信。
🍎个人主页:Matlab科研工作室
🍊个人信条:格物致知。
更多Matlab仿真内容点击👇
⛄ 内容介绍
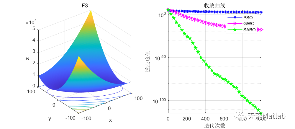
基于减法平均的优化算法(Subtraction-Average-Based Optimizer (SABO)),是于2023年提出的一种基于数学行为的优化算法,该算法通过使用个体的减法平均值来更新群体成员在搜索空间中的位置,具有寻优能力强,收敛速度快等特点。






⛄ 部分代码
%%%%%%%%%%%%%%%%%%%%%%%%%%%%%%%%%%%%%%%% Grey Wolf Optimizerfunction [Alpha_score,Alpha_pos,Convergence_curve]=GWO(SearchAgents_no,Max_iter,lb,ub,dim,fobj)% initialize alpha, beta, and delta_posAlpha_pos=zeros(1,dim);Alpha_score=inf; %change this to -inf for maximization problemsBeta_pos=zeros(1,dim);Beta_score=inf; %change this to -inf for maximization problemsDelta_pos=zeros(1,dim);Delta_score=inf; %change this to -inf for maximization problems%Initialize the positions of search agentsPositions=initialization(SearchAgents_no,dim,ub,lb);Convergence_curve=zeros(1,Max_iter);l=0;% Loop counter% Main loopwhile l<Max_iterfor i=1:size(Positions,1)% Return back the search agents that go beyond the boundaries of the search spaceFlag4ub=Positions(i,:)>ub;Flag4lb=Positions(i,:)<lb;Positions(i,:)=(Positions(i,:).*(~(Flag4ub+Flag4lb)))+ub.*Flag4ub+lb.*Flag4lb;% Calculate objective function for each search agentfitness=fobj(Positions(i,:));% Update Alpha, Beta, and Deltaif fitness<Alpha_scoreAlpha_score=fitness; % Update alphaAlpha_pos=Positions(i,:);endif fitness>Alpha_score && fitness<Beta_scoreBeta_score=fitness; % Update betaBeta_pos=Positions(i,:);endif fitness>Alpha_score && fitness>Beta_score && fitness<Delta_scoreDelta_score=fitness; % Update deltaDelta_pos=Positions(i,:);endenda=2-l*((2)/Max_iter); % a decreases linearly fron 2 to 0% Update the Position of search agents including omegasfor i=1:size(Positions,1)for j=1:size(Positions,2)r1=rand(); % r1 is a random number in [0,1]r2=rand(); % r2 is a random number in [0,1]A1=2*a*r1-a; % Equation (3.3)C1=2*r2; % Equation (3.4)D_alpha=abs(C1*Alpha_pos(j)-Positions(i,j)); % Equation (3.5)-part 1X1=Alpha_pos(j)-A1*D_alpha; % Equation (3.6)-part 1r1=rand();r2=rand();A2=2*a*r1-a; % Equation (3.3)C2=2*r2; % Equation (3.4)D_beta=abs(C2*Beta_pos(j)-Positions(i,j)); % Equation (3.5)-part 2X2=Beta_pos(j)-A2*D_beta; % Equation (3.6)-part 2r1=rand();r2=rand();A3=2*a*r1-a; % Equation (3.3)C3=2*r2; % Equation (3.4)D_delta=abs(C3*Delta_pos(j)-Positions(i,j)); % Equation (3.5)-part 3X3=Delta_pos(j)-A3*D_delta; % Equation (3.5)-part 3Positions(i,j)=(X1+X2+X3)/3;% Equation (3.7)endendl=l+1;Convergence_curve(l)=Alpha_score;end
⛄ 运行结果



⛄ 参考文献

本文介绍了2023年提出的一种新的智能优化算法——Subtraction-Average-BasedOptimizer(SABO),它利用个体间的减法平均来更新搜索位置,具有高效寻优和快速收敛的特点,涉及的应用领域包括信号处理、图像处理、路径规划、无人机技术和电力系统等。
383

被折叠的 条评论
为什么被折叠?



