✅作者简介:热爱科研的Matlab仿真开发者,擅长数据处理、建模仿真、程序设计、完整代码获取、论文复现及科研仿真。
🍎 往期回顾关注个人主页:Matlab科研工作室
🍊个人信条:格物致知,完整Matlab代码及仿真咨询内容私信。
🔥 内容介绍
电力系统状态估计是电网调度中心能量管理系统(EMS)的核心功能之一,其准确性直接影响电网的安全与经济运行。传统的状态估计方法多基于加权最小二乘法(WLS),但在处理电力系统的非线性特性时存在一定局限性。随着现代电力系统规模不断扩大,分布式电源、柔性负荷等大量接入,系统非线性程度加剧,对状态估计的精度和鲁棒性提出了更高要求。
卡尔曼滤波及其衍生算法在处理非线性系统状态估计问题上展现出独特优势。本文聚焦于无迹卡尔曼滤波(UKF)及其改进算法 —— 自适应无迹卡尔曼滤波(AUKF)和扩展无迹卡尔曼滤波(EUKF)在电力系统三相状态估计中的应用研究。
二、核心理论基础
(一)UKF 法(无迹卡尔曼滤波)
原理
UKF 是一种针对非线性系统的状态估计方法,其核心思想是通过确定性采样策略(无迹变换,UT)来近似系统状态的概率分布。与扩展卡尔曼滤波(EKF)相比,UKF 无需计算雅可比矩阵,避免了线性化误差,能够更准确地处理强非线性系统。
UT 变换通过精心选择一组 Sigma 点来表示状态分布,这些点完全捕获了均值和协方差信息。通过非线性函数传递这些点,然后计算变换后的均值和协方差,从而获得更精确的状态估计。
算法流程


优缺点
- 优点
:无需计算雅可比矩阵,避免了线性化误差;对非线性系统的估计精度更高;数值稳定性好。
- 缺点
:计算复杂度较高,尤其是状态向量维度较大时;对噪声统计特性敏感,若噪声模型不准确,估计性能会下降。
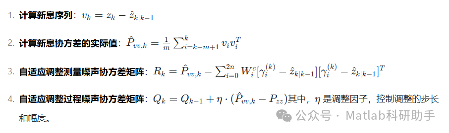
(二)AUKF 法(自适应无迹卡尔曼滤波)
原理

算法流程
AUKF 的基本框架与 UKF 一致,主要区别在于增加了噪声协方差矩阵的自适应调整环节。以基于新息序列的自适应调整方法为例:

优缺点
- 优点
:对噪声统计特性的变化具有较强的适应性;在噪声模型不准确或时变的情况下,仍能保持较好的估计精度;鲁棒性强。
- 缺点
:自适应算法的设计和参数调整较为复杂;计算量比 UKF 更大,实时性要求高的场景需要权衡。
(三)EUKF 法(扩展无迹卡尔曼滤波)
原理
EUKF 是 UKF 与 EKF 的结合,旨在充分利用两者的优势。在处理强非线性系统时,EUKF 在 UKF 的基础上,引入了状态估计的扩展信息,通过计算状态估计的二阶导数或利用更高阶的统计信息,进一步提高对非线性系统的建模能力。
EUKF 通常有两种实现方式:一种是将状态估计的扩展信息融入 Sigma 点的生成过程;另一种是在状态更新过程中,利用扩展信息对估计结果进行修正。
算法流程
EUKF 的算法流程与 UKF 类似,但在关键步骤中增加了扩展信息的处理:

优缺点
- 优点
:对强非线性系统的估计精度更高;能够捕捉系统的高阶非线性特性;在处理具有复杂非线性特性的电力系统时表现更优。
- 缺点
:计算复杂度显著增加;需要计算二阶导数矩阵,实现难度较大;对计算资源要求较高。
三、电力系统三相状态估计建模
(一)电力系统三相状态估计的特点
电力系统三相状态估计需要考虑三相不平衡、不对称故障、非线性负荷等因素,与传统的平衡系统状态估计相比,具有更高的复杂度。三相状态估计能够提供更详细的系统运行信息,对于分析配电网的运行状态、检测故障、优化电能质量等具有重要意义。
(二)状态空间模型建立
1. 状态变量选择
电力系统三相状态估计的状态变量通常包括:

2. 状态方程
电力系统的状态方程描述了系统状态随时间的变化规律,通常基于电力系统的动态模型建立:

3. 测量方程
测量方程描述了测量值与状态变量之间的关系:

四、基于 UKF/AUKF/EUKF 的电力系统三相状态估计方法
(一)UKF 在电力系统三相状态估计中的应用
将 UKF 应用于电力系统三相状态估计时,主要步骤如下:
- 模型离散化
:将电力系统的连续时间模型离散化,得到离散状态空间模型。
- 初始化
:设置初始状态估计值和误差协方差矩阵,确定噪声协方差矩阵 Q 和 R。
- Sigma 点生成与传递
:按照 UKF 算法流程,生成 Sigma 点并通过状态转移方程和测量方程传递。
- 状态估计更新
:根据测量值更新状态估计和误差协方差矩阵。
UKF 能够有效处理电力系统的非线性特性,避免了 EKF 的线性化误差,提高了状态估计的精度。
(二)AUKF 在电力系统三相状态估计中的应用
AUKF 在 UKF 的基础上,增加了噪声协方差矩阵的自适应调整环节。在电力系统三相状态估计中,由于测量噪声特性可能随时间变化,以及系统中可能存在未建模动态,AUKF 能够实时调整噪声协方差矩阵,提高估计的鲁棒性和准确性。
具体实现时,可根据新息序列的统计特性,动态调整 Q 和 R 的值。例如,当检测到新息序列的方差增大时,适当增大 R 的值,降低对测量值的信任度;反之,则减小 R 的值。
(三)EUKF 在电力系统三相状态估计中的应用
EUKF 通过引入状态估计的扩展信息,能够更准确地捕捉电力系统的强非线性特性。在三相状态估计中,对于含有大量非线性负荷、分布式电源的配电网,EUKF 能够提供比 UKF 更高的估计精度。
在实现 EUKF 时,需要计算测量函数的二阶导数矩阵,这增加了算法的复杂度。但对于强非线性系统,这种额外的计算开销是值得的。
五、三种方法的对比分析
(一)估计精度对比
在处理电力系统的弱非线性问题时,UKF、AUKF 和 EUKF 的估计精度差异可能不大。但在强非线性场景下,如系统发生故障、存在大量非线性负荷时,EUKF 由于考虑了更高阶的非线性信息,估计精度通常最高;AUKF 通过自适应调整噪声协方差矩阵,能够有效应对噪声不确定性,估计精度次之;UKF 的精度相对较低,但仍优于传统的 EKF。
(二)计算复杂度对比
UKF 的计算复杂度主要来自 Sigma 点的生成和传递,随着状态向量维度的增加,计算量显著增大。AUKF 在 UKF 的基础上增加了噪声协方差矩阵的自适应调整,计算量进一步增加。EUKF 由于需要计算二阶导数矩阵,计算复杂度最高。
(三)鲁棒性对比
AUKF 的鲁棒性最强,能够自适应调整噪声参数,有效应对系统中的不确定性和干扰。EUKF 在强非线性场景下的鲁棒性较好,但对模型误差较为敏感。UKF 的鲁棒性介于两者之间。
(四)适用场景对比
- UKF
:适用于中等非线性程度的电力系统状态估计,计算资源有限的场景。
- AUKF
:适用于噪声统计特性不确定或时变的电力系统,对鲁棒性要求较高的场景。
- EUKF
:适用于强非线性电力系统,如含有大量分布式电源、FACTS 装置的系统。
六、结论与展望
本文研究了 UKF、AUKF 和 EUKF 三种算法在电力系统三相状态估计中的应用。通过理论分析和对比可知,三种算法各有优缺点,适用于不同的应用场景。在实际工程中,应根据电力系统的特点、计算资源的限制以及对估计精度和实时性的要求,选择合适的状态估计算法。
⛳️ 运行结果


🔗 参考文献
[1] 汪瑶.基于相量量测的电力系统谐波状态估计算法研究[D].重庆大学,2009.DOI:10.7666/d.y1665245.
[2] 杨武.电力系统中基于相量测量技术的状态估计仿真[D].西南交通大学,2006.DOI:10.7666/d.y884394.
[3] 牛胜锁,刘颖,梁志瑞,等.基于广域测量和抗差最小二乘法的电力系统谐波状态估计[J].电力系统保护与控制, 2012, 40(8):5.DOI:10.3969/j.issn.1674-3415.2012.08.002.
📣 部分代码
🎈 部分理论引用网络文献,若有侵权联系博主删除
👇 关注我领取海量matlab电子书和数学建模资料
🏆团队擅长辅导定制多种科研领域MATLAB仿真,助力科研梦:
🌈 各类智能优化算法改进及应用
生产调度、经济调度、装配线调度、充电优化、车间调度、发车优化、水库调度、三维装箱、物流选址、货位优化、公交排班优化、充电桩布局优化、车间布局优化、集装箱船配载优化、水泵组合优化、解医疗资源分配优化、设施布局优化、可视域基站和无人机选址优化、背包问题、 风电场布局、时隙分配优化、 最佳分布式发电单元分配、多阶段管道维修、 工厂-中心-需求点三级选址问题、 应急生活物质配送中心选址、 基站选址、 道路灯柱布置、 枢纽节点部署、 输电线路台风监测装置、 集装箱调度、 机组优化、 投资优化组合、云服务器组合优化、 天线线性阵列分布优化、CVRP问题、VRPPD问题、多中心VRP问题、多层网络的VRP问题、多中心多车型的VRP问题、 动态VRP问题、双层车辆路径规划(2E-VRP)、充电车辆路径规划(EVRP)、油电混合车辆路径规划、混合流水车间问题、 订单拆分调度问题、 公交车的调度排班优化问题、航班摆渡车辆调度问题、选址路径规划问题、港口调度、港口岸桥调度、停机位分配、机场航班调度、泄漏源定位
🌈 机器学习和深度学习时序、回归、分类、聚类和降维
2.1 bp时序、回归预测和分类
2.2 ENS声神经网络时序、回归预测和分类
2.3 SVM/CNN-SVM/LSSVM/RVM支持向量机系列时序、回归预测和分类
2.4 CNN|TCN|GCN卷积神经网络系列时序、回归预测和分类
2.5 ELM/KELM/RELM/DELM极限学习机系列时序、回归预测和分类
2.6 GRU/Bi-GRU/CNN-GRU/CNN-BiGRU门控神经网络时序、回归预测和分类
2.7 ELMAN递归神经网络时序、回归\预测和分类
2.8 LSTM/BiLSTM/CNN-LSTM/CNN-BiLSTM/长短记忆神经网络系列时序、回归预测和分类
2.9 RBF径向基神经网络时序、回归预测和分类
2.10 DBN深度置信网络时序、回归预测和分类
2.11 FNN模糊神经网络时序、回归预测
2.12 RF随机森林时序、回归预测和分类
2.13 BLS宽度学习时序、回归预测和分类
2.14 PNN脉冲神经网络分类
2.15 模糊小波神经网络预测和分类
2.16 时序、回归预测和分类
2.17 时序、回归预测预测和分类
2.18 XGBOOST集成学习时序、回归预测预测和分类
2.19 Transform各类组合时序、回归预测预测和分类
方向涵盖风电预测、光伏预测、电池寿命预测、辐射源识别、交通流预测、负荷预测、股价预测、PM2.5浓度预测、电池健康状态预测、用电量预测、水体光学参数反演、NLOS信号识别、地铁停车精准预测、变压器故障诊断
🌈图像处理方面
图像识别、图像分割、图像检测、图像隐藏、图像配准、图像拼接、图像融合、图像增强、图像压缩感知
🌈 路径规划方面
旅行商问题(TSP)、车辆路径问题(VRP、MVRP、CVRP、VRPTW等)、无人机三维路径规划、无人机协同、无人机编队、机器人路径规划、栅格地图路径规划、多式联运运输问题、 充电车辆路径规划(EVRP)、 双层车辆路径规划(2E-VRP)、 油电混合车辆路径规划、 船舶航迹规划、 全路径规划规划、 仓储巡逻
🌈 无人机应用方面
无人机路径规划、无人机控制、无人机编队、无人机协同、无人机任务分配、无人机安全通信轨迹在线优化、车辆协同无人机路径规划
🌈 通信方面
传感器部署优化、通信协议优化、路由优化、目标定位优化、Dv-Hop定位优化、Leach协议优化、WSN覆盖优化、组播优化、RSSI定位优化、水声通信、通信上传下载分配
🌈 信号处理方面
信号识别、信号加密、信号去噪、信号增强、雷达信号处理、信号水印嵌入提取、肌电信号、脑电信号、信号配时优化、心电信号、DOA估计、编码译码、变分模态分解、管道泄漏、滤波器、数字信号处理+传输+分析+去噪、数字信号调制、误码率、信号估计、DTMF、信号检测
🌈电力系统方面
微电网优化、无功优化、配电网重构、储能配置、有序充电、MPPT优化、家庭用电
🌈 元胞自动机方面
交通流 人群疏散 病毒扩散 晶体生长 金属腐蚀
🌈 雷达方面
卡尔曼滤波跟踪、航迹关联、航迹融合、SOC估计、阵列优化、NLOS识别
🌈 车间调度
零等待流水车间调度问题NWFSP 、 置换流水车间调度问题PFSP、 混合流水车间调度问题HFSP 、零空闲流水车间调度问题NIFSP、分布式置换流水车间调度问题 DPFSP、阻塞流水车间调度问题BFSP
👇
5742

被折叠的 条评论
为什么被折叠?



