一、引言
在Halcon中,有时候我们需要对一个区域进行缩放、平移、旋转,这时候需要用到仿射变换,本质是运用线性代数来对点进行计算。下面的一些基础的词汇解释,有利于记忆算子:
homogeneous:齐次的
matrix2D:二维矩阵
二、二维尺度变换矩阵
2.1 缩放与平移详解
在计算机图形学和图像处理中,matrix2D 常用于表示二维空间中的几何变换,例如:
- 齐次二维变换矩阵:一种特殊的 3×3 矩阵,用于表示平移、旋转、缩放等二维变换。结构:

- 参数说明:
- a,b,c,d:用于旋转和缩放。
- tx,ty:用于平移。
- 作用:通过矩阵乘法,可以将变换应用于二维点或图像。
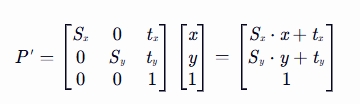
假设有一个二维点 P(x,y),我们想对其进行缩放和平移变换:
-
原始点:(齐次坐标表示)
-

-
变换矩阵:
-

其中 Sx 和 Sy 是缩放因子,tx 和 ty 是平移量。
-
变换后的点:
-

2.2 旋转详解
旋转的基本原理
在二维空间中,旋转一个点(或对象)需要指定:
- 旋转中心:通常为原点(0, 0),也可为任意点(需先平移到原点,旋转后再平移回去)。
- 旋转角度:逆时针为正,顺时针为负(单位为弧度或度)。
2.2.1以原点为中心旋转
对于一个点 P(x,y),围绕原点逆时针旋转角度 θ 后的新坐标 P′(x′,y′) 为:

推导过程为:
、
齐次坐标表示
在齐次坐标中,点 P 表示为

,旋转矩阵 R 为:

旋转后的点 P′ 为:

2.2.2特殊情况:不以原点为中心旋转
如果旋转中心是 C(Px,Py),需分三步:
1.平移到原点

2.旋转

3.再平移回原点

总变换矩阵为:M=T2⋅R⋅T1
三、仿射变换
*获取窗口
dev_get_window (WindowHandle)
*绘制并生成矩形
draw_rectangle2 (WindowHandle, Row, Column, Phi, Length1, Length2)
gen_rectangle2 (Rectangle, Row, Column, Phi, Length1, Length2)
*生成一个初始仿射矩阵(本质是一个1,0,0,0,1,0,0,0,1的3X3矩阵)
hom_mat2d_identity (HomMat2DIdentity)
*顺时针旋转45°
*获取旋转中心
area_center (Rectangle, Area, Row1, Column1)
*生成顺时针旋转45°的放射矩阵
hom_mat2d_rotate(HomMat2DIdentity,rad(-45),Row1,Column1,HomMat2DRotate)
*仿射变换
affine_trans_region (Rectangle, RegionAffineTrans, HomMat2DRotate, 'nearest_neighbor')
*垂直方向缩放1.5倍,水平方向缩放3倍
hom_mat2d_scale (HomMat2DIdentity, 1.5, 3, Row1, Column1, HomMat2DScale)
affine_trans_region (Rectangle, RegionAffineTrans1, HomMat2DScale, 'nearest_neighbor')
*垂直方向移动100,水平方向移动300
hom_mat2d_translate(HomMat2DIdentity,100,300,HomMat2DTranslate)
affine_trans_region (Rectangle,RegionAffineTrans2, HomMat2DTranslate, 'nearest_neighbor')
2275

被折叠的 条评论
为什么被折叠?



