语音合成(TTS)论文优选:An Efficient Subband Linear Prediction for LPCNet-based Neural Synthesis

部署运行你感兴趣的模型镜像

声明:语音合成(TTS)论文优选系列主要分享论文,分享论文不做直接翻译,所写的内容主要是我对论文内容的概括和个人看法。如有转载,请标注来源。

欢迎关注微信公众号:低调奋进

An Efficient Subband Linear Prediction for LPCNet-based Neural Synthesis

本文章是微软中国在interspeech2020发表的文章,主要使用multiband技术来优化lpcnet,使该声码器的速度和合成音质都得到提高。具体的文章链接

https://indico2.conference4me.psnc.pl/event/35/contributions/3023/attachments/694/732/Thu-1-1-6.pdf

1 研究背景

神经网络技术的发展促使语音合成的质的飞越,尤其是神经网络声码器的提出,比如典型的神经网络声码器wavenet,wavernn,waveglow等等。虽然这些声码器可以产生高质量的音频,但较高的复杂度使该声码器不容易落地。为了加速声码器的推理速度,很多优化方法被提出,比如稀疏化,multi-samples, multiband等等。其中multiband已经被很多文章研究,比如subband wavenet, subband FFTnet ,subband wavernn, featherwave和multiband melgan等等。以上的声码器都是假设被分的subband之间互不影响,因此可以同时进行subband的推理。而本文提出subband之间存在相互作用关系,因此提出了相互作用的multiband自回归模型,使lpcnet的合成质量和推理速度都得到提高。

2 详细系统设计

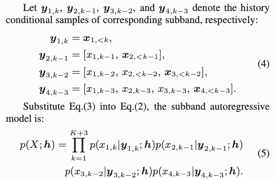
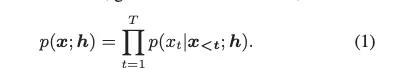
首先看一下自回归的模型公式如公式1所示,其中h为声学特征。而multiband的计算公式为公式2,两者的区别为每次推理4个点(分4个子带)。

语音合成(TTS)论文优选:subband lpcnet

语音合成(TTS)论文优选:subband lpcnet

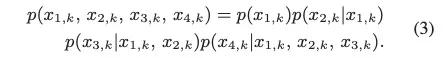
现有的multiband系统使用公式2,认为每个子代之间都是独立,但DSP技术提出每个subband之间存在很强的联系,因此本文提出了如下的多带联合分布公式

语音合成(TTS)论文优选:subband lpcnet

语音合成(TTS)论文优选:subband lpcnet

可能公式看起来很繁琐,可以看一下图1所示,fullband被分为4个子带,图中的点代表每一个采样点,箭头代表关联,则进行采样点的时候,绿色点可以同时进行计算,因此达到多采样点的目的,这样设计是否很酷。

语音合成(TTS)论文优选:subband lpcnet

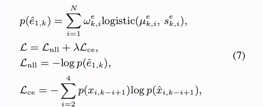
现在,讲一下信号处理的两个阶段:分析阶段和合成阶段。分析阶段对fullband进行子代划分,然后求取第一个子代的lsp和激励e。合成阶段就是把声学特征经过声码器合成每个子带的采样点,然后进行整合成最终的时域波形。其中第一个子代的采样点计算公式为公式6。

语音合成(TTS)论文优选:subband lpcnet

语音合成(TTS)论文优选:subband lpcnet

最后,我们看一下lpcnet声码器的设计图3。声码器主要分为frame rate network和sample rate network。与原来的lpcnet不同的地方为最后存在三个fc层,分别与sample rate network中的gru相对应。其中grua被四个子代共享,grub为第一个子代使用,gruc为其它三个子代共享。然后。第一子带推理激励后使用公式(6)计算出采样点,其它子带推理出采样点。系统的损失函数如公式7所示。

语音合成(TTS)论文优选:subband lpcnet

语音合成(TTS)论文优选:subband lpcnet

3 实验

本文的实验很直接简单:复杂度和mos测试。本文计算的复杂度为: wavernn 10GFLOPS, wavenet 100 GFLOPS, fullband LPCNET 3.5GFLOPS ,本文提出的LPCNET 为1.2GFLOPS,几乎速度提高三倍。MOS测试方面,subband LPCNET(w/)为本文方案,subband LPCNET(w/o)为子带之间互不关联,由table 2可知,本文提出的方案MOS最高。

语音合成(TTS)论文优选:subband lpcnet

4 总结

本文分析mulitband的子带之间存在关联,并提出相应的优化模型,使subband lpcnet的合成质量更高。

您可能感兴趣的与本文相关的镜像

HunyuanVideo-Foley

HunyuanVideo-Foley

语音合成

HunyuanVideo-Foley是由腾讯混元2025年8月28日宣布开源端到端视频音效生成模型,用户只需输入视频和文字,就能为视频匹配电影级音效

步骤1: 加载和处理数据... 数据加载完成: 135行, 2990列 步骤2: 对每列进行聚类分析... 开始对 2990 列进行聚类... D:\python 3.9.1\lib\site-packages\sklearn\base.py:1389: ConvergenceWarning: Number of distinct clusters (1) found smaller than n_clusters (2). Possibly due to duplicate points in X. return fit_method(estimator, *args, **kwargs) D:\python 3.9.1\lib\site-packages\sklearn\base.py:1389: ConvergenceWarning: Number of distinct clusters (1) found smaller than n_clusters (2). Possibly due to duplicate points in X. return fit_method(estimator, *args, **kwargs) D:\python 3.9.1\lib\site-packages\sklearn\base.py:1389: ConvergenceWarning: Number of distinct clusters (1) found smaller than n_clusters (2). Possibly due to duplicate points in X. return fit_method(estimator, *args, **kwargs) D:\python 3.9.1\lib\site-packages\sklearn\base.py:1389: ConvergenceWarning: Number of distinct clusters (1) found smaller than n_clusters (2). Possibly due to duplicate points in X. return fit_method(estimator, *args, **kwargs) D:\python 3.9.1\lib\site-packages\sklearn\base.py:1389: ConvergenceWarning: Number of distinct clusters (1) found smaller than n_clusters (2). Possibly due to duplicate points in X. return fit_method(estimator, *args, **kwargs) D:\python 3.9.1\lib\site-packages\sklearn\base.py:1389: ConvergenceWarning: Number of distinct clusters (1) found smaller than n_clusters (2). Possibly due to duplicate points in X. return fit_method(estimator, *args, **kwargs) D:\python 3.9.1\lib\site-packages\sklearn\base.py:1389: ConvergenceWarning: Number of distinct clusters (1) found smaller than n_clusters (2). Possibly due to duplicate points in X. return fit_method(estimator, *args, **kwargs) D:\python 3.9.1\lib\site-packages\sklearn\base.py:1389: ConvergenceWarning: Number of distinct clusters (1) found smaller than n_clusters (2). Possibly due to duplicate points in X. return fit_method(estimator, *args, **kwargs) D:\python 3.9.1\lib\site-packages\sklearn\base.py:1389: ConvergenceWarning: Number of distinct clusters (1) found smaller than n_clusters (2). Possibly due to duplicate points in X. return fit_method(estimator, *args, **kwargs) D:\python 3.9.1\lib\site-packages\sklearn\base.py:1389: ConvergenceWarning: Number of distinct clusters (1) found smaller than n_clusters (2). Possibly due to duplicate points in X. return fit_method(estimator, *args, **kwargs) D:\python 3.9.1\lib\site-packages\sklearn\base.py:1389: ConvergenceWarning: Number of distinct clusters (1) found smaller than n_clusters (2). Possibly due to duplicate points in X. return fit_method(estimator, *args, **kwargs) D:\python 3.9.1\lib\site-packages\sklearn\base.py:1389: ConvergenceWarning: Number of distinct clusters (1) found smaller than n_clusters (2). Possibly due to duplicate points in X. return fit_method(estimator, *args, **kwargs) D:\python 3.9.1\lib\site-packages\sklearn\base.py:1389: ConvergenceWarning: Number of distinct clusters (1) found smaller than n_clusters (2). Possibly due to duplicate points in X. return fit_method(estimator, *args, **kwargs) D:\python 3.9.1\lib\site-packages\sklearn\base.py:1389: ConvergenceWarning: Number of distinct clusters (1) found smaller than n_clusters (2). Possibly due to duplicate points in X. return fit_method(estimator, *args, **kwargs) D:\python 3.9.1\lib\site-packages\sklearn\base.py:1389: ConvergenceWarning: Number of distinct clusters (1) found smaller than n_clusters (2). Possibly due to duplicate points in X. return fit_method(estimator, *args, **kwargs) D:\python 3.9.1\lib\site-packages\sklearn\base.py:1389: ConvergenceWarning: Number of distinct clusters (1) found smaller than n_clusters (2). Possibly due to duplicate points in X. return fit_method(estimator, *args, **kwargs) D:\python 3.9.1\lib\site-packages\sklearn\base.py:1389: ConvergenceWarning: Number of distinct clusters (1) found smaller than n_clusters (2). Possibly due to duplicate points in X. return fit_method(estimator, *args, **kwargs) D:\python 3.9.1\lib\site-packages\sklearn\base.py:1389: ConvergenceWarning: Number of distinct clusters (1) found smaller than n_clusters (2). Possibly due to duplicate points in X. return fit_method(estimator, *args, **kwargs) D:\python 3.9.1\lib\site-packages\sklearn\base.py:1389: ConvergenceWarning: Number of distinct clusters (1) found smaller than n_clusters (2). Possibly due to duplicate points in X. return fit_method(estimator, *args, **kwargs) D:\python 3.9.1\lib\site-packages\sklearn\base.py:1389: ConvergenceWarning: Number of distinct clusters (1) found smaller than n_clusters (2). Possibly due to duplicate points in X. return fit_method(estimator, *args, **kwargs) D:\python 3.9.1\lib\site-packages\sklearn\base.py:1389: ConvergenceWarning: Number of distinct clusters (1) found smaller than n_clusters (2). Possibly due to duplicate points in X. return fit_method(estimator, *args, **kwargs) D:\python 3.9.1\lib\site-packages\sklearn\base.py:1389: ConvergenceWarning: Number of distinct clusters (1) found smaller than n_clusters (2). Possibly due to duplicate points in X. return fit_method(estimator, *args, **kwargs) D:\python 3.9.1\lib\site-packages\sklearn\base.py:1389: ConvergenceWarning: Number of distinct clusters (1) found smaller than n_clusters (2). Possibly due to duplicate points in X. return fit_method(estimator, *args, **kwargs) D:\python 3.9.1\lib\site-packages\sklearn\base.py:1389: ConvergenceWarning: Number of distinct clusters (1) found smaller than n_clusters (2). Possibly due to duplicate points in X. return fit_method(estimator, *args, **kwargs) D:\python 3.9.1\lib\site-packages\sklearn\base.py:1389: ConvergenceWarning: Number of distinct clusters (1) found smaller than n_clusters (2). Possibly due to duplicate points in X. return fit_method(estimator, *args, **kwargs) D:\python 3.9.1\lib\site-packages\sklearn\base.py:1389: ConvergenceWarning: Number of distinct clusters (1) found smaller than n_clusters (2). Possibly due to duplicate points in X. return fit_method(estimator, *args, **kwargs) D:\python 3.9.1\lib\site-packages\sklearn\base.py:1389: ConvergenceWarning: Number of distinct clusters (1) found smaller than n_clusters (2). Possibly due to duplicate points in X. return fit_method(estimator, *args, **kwargs) D:\python 3.9.1\lib\site-packages\sklearn\base.py:1389: ConvergenceWarning: Number of distinct clusters (1) found smaller than n_clusters (2). Possibly due to duplicate points in X. return fit_method(estimator, *args, **kwargs) D:\python 3.9.1\lib\site-packages\sklearn\base.py:1389: ConvergenceWarning: Number of distinct clusters (1) found smaller than n_clusters (2). Possibly due to duplicate points in X. return fit_method(estimator, *args, **kwargs) 聚类列时出错: could not convert string to float: 'GVH521703FCPR5PA5+A1B153B0131AB84R2100+FXR514214MY17VP9W+0A031272000123001023612263000000000000000000000SP4RC47MP0FHA150AAR0000000000000000000000000000AP5N2030QG4NJ4A555555C' 聚类列时出错: could not convert string to float: 'DMX' 聚类列时出错: could not convert string to float: 'GVH521703FCPR5PA5' 聚类列时出错: could not convert string to float: 'UNKNOWN' D:\python 3.9.1\lib\site-packages\sklearn\base.py:1389: ConvergenceWarning: Number of distinct clusters (1) found smaller than n_clusters (2). Possibly due to duplicate points in X. return fit_method(estimator, *args, **kwargs) D:\python 3.9.1\lib\site-packages\sklearn\base.py:1389: ConvergenceWarning: Number of distinct clusters (1) found smaller than n_clusters (2). Possibly due to duplicate points in X. return fit_method(estimator, *args, **kwargs) D:\python 3.9.1\lib\site-packages\sklearn\base.py:1389: ConvergenceWarning: Number of distinct clusters (1) found smaller than n_clusters (2). Possibly due to duplicate points in X. return fit_method(estimator, *args, **kwargs) D:\python 3.9.1\lib\site-packages\sklearn\base.py:1389: ConvergenceWarning: Number of distinct clusters (1) found smaller than n_clusters (2). Possibly due to duplicate points in X. return fit_method(estimator, *args, **kwargs) D:\python 3.9.1\lib\site-packages\sklearn\base.py:1389: ConvergenceWarning: Number of distinct clusters (1) found smaller than n_clusters (2). Possibly due to duplicate points in X. return fit_method(estimator, *args, **kwargs) D:\python 3.9.1\lib\site-packages\sklearn\base.py:1389: ConvergenceWarning: Number of distinct clusters (1) found smaller than n_clusters (2). Possibly due to duplicate points in X. return fit_method(estimator, *args, **kwargs) D:\python 3.9.1\lib\site-packages\sklearn\base.py:1389: ConvergenceWarning: Number of distinct clusters (1) found smaller than n_clusters (2). Possibly due to duplicate points in X. return fit_method(estimator, *args, **kwargs) D:\python 3.9.1\lib\site-packages\sklearn\base.py:1389: ConvergenceWarning: Number of distinct clusters (1) found smaller than n_clusters (2). Possibly due to duplicate points in X. return fit_method(estimator, *args, **kwargs) D:\python 3.9.1\lib\site-packages\sklearn\base.py:1389: ConvergenceWarning: Number of distinct clusters (1) found smaller than n_clusters (2). Possibly due to duplicate points in X. return fit_method(estimator, *args, **kwargs) D:\python 3.9.1\lib\site-packages\sklearn\base.py:1389: ConvergenceWarning: Number of distinct clusters (1) found smaller than n_clusters (2). Possibly due to duplicate points in X. return fit_method(estimator, *args, **kwargs) D:\python 3.9.1\lib\site-packages\sklearn\base.py:1389: ConvergenceWarning: Number of distinct clusters (1) found smaller than n_clusters (2). Possibly due to duplicate points in X. return fit_method(estimator, *args, **kwargs) D:\python 3.9.1\lib\site-packages\sklearn\base.py:1389: ConvergenceWarning: Number of distinct clusters (1) found smaller than n_clusters (2). Possibly due to duplicate points in X. return fit_method(estimator, *args, **kwargs) D:\python 3.9.1\lib\site-packages\sklearn\base.py:1389: ConvergenceWarning: Number of distinct clusters (1) found smaller than n_clusters (2). Possibly due to duplicate points in X. return fit_method(estimator, *args, **kwargs) D:\python 3.9.1\lib\site-packages\sklearn\base.py:1389: ConvergenceWarning: Number of distinct clusters (1) found smaller than n_clusters (2). Possibly due to duplicate points in X. return fit_method(estimator, *args, **kwargs) D:\python 3.9.1\lib\site-packages\sklearn\base.py:1389: ConvergenceWarning: Number of distinct clusters (1) found smaller than n_clusters (2). Possibly due to duplicate points in X. return fit_method(estimator, *args, **kwargs) D:\python 3.9.1\lib\site-packages\sklearn\base.py:1389: ConvergenceWarning: Number of distinct clusters (1) found smaller than n_clusters (2). Possibly due to duplicate points in X. return fit_method(estimator, *args, **kwargs) D:\python 3.9.1\lib\site-packages\sklearn\base.py:1389: ConvergenceWarning: Number of distinct clusters (1) found smaller than n_clusters (2). Possibly due to duplicate points in X. return fit_method(estimator, *args, **kwargs) D:\python 3.9.1\lib\site-packages\sklearn\base.py:1389: ConvergenceWarning: Number of distinct clusters (1) found smaller than n_clusters (2). Possibly due to duplicate points in X. return fit_method(estimator, *args, **kwargs) D:\python 3.9.1\lib\site-packages\sklearn\base.py:1389: ConvergenceWarning: Number of distinct clusters (1) found smaller than n_clusters (2). Possibly due to duplicate points in X. return fit_method(estimator, *args, **kwargs) D:\python 3.9.1\lib\site-packages\sklearn\base.py:1389: ConvergenceWarning: Number of distinct clusters (1) found smaller than n_clusters (2). Possibly due to duplicate points in X. return fit_method(estimator, *args, **kwargs) D:\python 3.9.1\lib\site-packages\sklearn\base.py:1389: ConvergenceWarning: Number of distinct clusters (1) found smaller than n_clusters (2). Possibly due to duplicate points in X. return fit_method(estimator, *args, **kwargs) D:\python 3.9.1\lib\site-packages\sklearn\base.py:1389: ConvergenceWarning: Number of distinct clusters (1) found smaller than n_clusters (2). Possibly due to duplicate points in X. return fit_method(estimator, *args, **kwargs) D:\python 3.9.1\lib\site-packages\sklearn\base.py:1389: ConvergenceWarning: Number of distinct clusters (1) found smaller than n_clusters (2). Possibly due to duplicate points in X. return fit_method(estimator, *args, **kwargs) D:\python 3.9.1\lib\site-packages\sklearn\base.py:1389: ConvergenceWarning: Number of distinct clusters (1) found smaller than n_clusters (2). Possibly due to duplicate points in X. return fit_method(estimator, *args, **kwargs) D:\python 3.9.1\lib\site-packages\sklearn\base.py:1389: ConvergenceWarning: Number of distinct clusters (1) found smaller than n_clusters (2). Possibly due to duplicate points in X. return fit_method(estimator, *args, **kwargs) D:\python 3.9.1\lib\site-packages\sklearn\base.py:1389: ConvergenceWarning: Number of distinct clusters (1) found smaller than n_clusters (2). Possibly due to duplicate points in X. return fit_method(estimator, *args, **kwargs) D:\python 3.9.1\lib\site-packages\sklearn\base.py:1389: ConvergenceWarning: Number of distinct clusters (1) found smaller than n_clusters (2). Possibly due to duplicate points in X. return fit_method(estimator, *args, **kwargs) D:\python 3.9.1\lib\site-packages\sklearn\base.py:1389: ConvergenceWarning: Number of distinct clusters (1) found smaller than n_clusters (2). Possibly due to duplicate points in X. return fit_method(estimator, *args, **kwargs) D:\python 3.9.1\lib\site-packages\sklearn\base.py:1389: ConvergenceWarning: Number of distinct clusters (1) found smaller than n_clusters (2). Possibly due to duplicate points in X. return fit_method(estimator, *args, **kwargs) D:\python 3.9.1\lib\site-packages\sklearn\base.py:1389: ConvergenceWarning: Number of distinct clusters (1) found smaller than n_clusters (2). Possibly due to duplicate points in X. return fit_method(estimator, *args, **kwargs) D:\python 3.9.1\lib\site-packages\sklearn\base.py:1389: ConvergenceWarning: Number of distinct clusters (1) found smaller than n_clusters (2). Possibly due to duplicate points in X. return fit_method(estimator, *args, **kwargs) D:\python 3.9.1\lib\site-packages\sklearn\base.py:1389: ConvergenceWarning: Number of distinct clusters (1) found smaller than n_clusters (2). Possibly due to duplicate points in X. return fit_method(estimator, *args, **kwargs) D:\python 3.9.1\lib\site-packages\sklearn\base.py:1389: ConvergenceWarning: Number of distinct clusters (1) found smaller than n_clusters (2). Possibly due to duplicate points in X. return fit_method(estimator, *args, **kwargs) D:\python 3.9.1\lib\site-packages\sklearn\base.py:1389: ConvergenceWarning: Number of distinct clusters (1) found smaller than n_clusters (2). Possibly due to duplicate points in X. return fit_method(estimator, *args, **kwargs) D:\python 3.9.1\lib\site-packages\sklearn\base.py:1389: ConvergenceWarning: Number of distinct clusters (1) found smaller than n_clusters (2). Possibly due to duplicate points in X. return fit_method(estimator, *args, **kwargs) D:\python 3.9.1\lib\site-packages\sklearn\base.py:1389: ConvergenceWarning: Number of distinct clusters (1) found smaller than n_clusters (2). Possibly due to duplicate points in X. return fit_method(estimator, *args, **kwargs) D:\python 3.9.1\lib\site-packages\sklearn\base.py:1389: ConvergenceWarning: Number of distinct clusters (1) found smaller than n_clusters (2). Possibly due to duplicate points in X. return fit_method(estimator, *args, **kwargs) D:\python 3.9.1\lib\site-packages\sklearn\base.py:1389: ConvergenceWarning: Number of distinct clusters (1) found smaller than n_clusters (2). Possibly due to duplicate points in X. return fit_method(estimator, *args, **kwargs) D:\python 3.9.1\lib\site-packages\sklearn\base.py:1389: ConvergenceWarning: Number of distinct clusters (1) found smaller than n_clusters (2). Possibly due to duplicate points in X. return fit_method(estimator, *args, **kwargs) D:\python 3.9.1\lib\site-packages\sklearn\base.py:1389: ConvergenceWarning: Number of distinct clusters (1) found smaller than n_clusters (2). Possibly due to duplicate points in X. return fit_method(estimator, *args, **kwargs) D:\python 3.9.1\lib\site-packages\sklearn\base.py:1389: ConvergenceWarning: Number of distinct clusters (1) found smaller than n_clusters (2). Possibly due to duplicate points in X. return fit_method(estimator, *args, **kwargs) D:\python 3.9.1\lib\site-packages\sklearn\base.py:1389: ConvergenceWarning: Number of distinct clusters (1) found smaller than n_clusters (2). Possibly due to duplicate points in X. return fit_method(estimator, *args, **kwargs) D:\python 3.9.1\lib\site-packages\sklearn\base.py:1389: ConvergenceWarning: Number of distinct clusters (1) found smaller than n_clusters (2). Possibly due to duplicate points in X. return fit_method(estimator, *args, **kwargs) D:\python 3.9.1\lib\site-packages\sklearn\base.py:1389: ConvergenceWarning: Number of distinct clusters (1) found smaller than n_clusters (2). Possibly due to duplicate points in X. return fit_method(estimator, *args, **kwargs) D:\python 3.9.1\lib\site-packages\sklearn\base.py:1389: ConvergenceWarning: Number of distinct clusters (1) found smaller than n_clusters (2). Possibly due to duplicate points in X. return fit_method(estimator, *args, **kwargs) D:\python 3.9.1\lib\site-packages\sklearn\base.py:1389: ConvergenceWarning: Number of distinct clusters (1) found smaller than n_clusters (2). Possibly due to duplicate points in X. return fit_method(estimator, *args, **kwargs) D:\python 3.9.1\lib\site-packages\sklearn\base.py:1389: ConvergenceWarning: Number of distinct clusters (1) found smaller than n_clusters (2). Possibly due to duplicate points in X. return fit_method(estimator, *args, **kwargs) D:\python 3.9.1\lib\site-packages\sklearn\base.py:1389: ConvergenceWarning: Number of distinct clusters (1) found smaller than n_clusters (2). Possibly due to duplicate points in X. return fit_method(estimator, *args, **kwargs) D:\python 3.9.1\lib\site-packages\sklearn\base.py:1389: ConvergenceWarning: Number of distinct clusters (1) found smaller than n_clusters (2). Possibly due to duplicate points in X. return fit_method(estimator, *args, **kwargs) D:\python 3.9.1\lib\site-packages\sklearn\base.py:1389: ConvergenceWarning: Number of distinct clusters (1) found smaller than n_clusters (2). Possibly due to duplicate points in X. return fit_method(estimator, *args, **kwargs) D:\python 3.9.1\lib\site-packages\sklearn\base.py:1389: ConvergenceWarning: Number of distinct clusters (1) found smaller than n_clusters (2). Possibly due to duplicate points in X. return fit_method(estimator, *args, **kwargs) D:\python 3.9.1\lib\site-packages\sklearn\base.py:1389: ConvergenceWarning: Number of distinct clusters (1) found smaller than n_clusters (2). Possibly due to duplicate points in X. return fit_method(estimator, *args, **kwargs) D:\python 3.9.1\lib\site-packages\sklearn\base.py:1389: ConvergenceWarning: Number of distinct clusters (1) found smaller than n_clusters (2). Possibly due to duplicate points in X. return fit_method(estimator, *args, **kwargs) D:\python 3.9.1\lib\site-packages\sklearn\base.py:1389: ConvergenceWarning: Number of distinct clusters (1) found smaller than n_clusters (2). Possibly due to duplicate points in X. return fit_method(estimator, *args, **kwargs) D:\python 3.9.1\lib\site-packages\sklearn\base.py:1389: ConvergenceWarning: Number of distinct clusters (1) found smaller than n_clusters (2). Possibly due to duplicate points in X. return fit_method(estimator, *args, **kwargs) D:\python 3.9.1\lib\site-packages\sklearn\base.py:1389: ConvergenceWarning: Number of distinct clusters (1) found smaller than n_clusters (2). Possibly due to duplicate points in X. return fit_method(estimator, *args, **kwargs) D:\python 3.9.1\lib\site-packages\sklearn\base.py:1389: ConvergenceWarning: Number of distinct clusters (1) found smaller than n_clusters (2). Possibly due to duplicate points in X. return fit_method(estimator, *args, **kwargs) D:\python 3.9.1\lib\site-packages\sklearn\base.py:1389: ConvergenceWarning: Number of distinct clusters (1) found smaller than n_clusters (2). Possibly due to duplicate points in X. return fit_method(estimator, *args, **kwargs) D:\python 3.9.1\lib\site-packages\sklearn\base.py:1389: ConvergenceWarning: Number of distinct clusters (1) found smaller than n_clusters (2). Possibly due to duplicate points in X. return fit_method(estimator, *args, **kwargs) D:\python 3.9.1\lib\site-packages\sklearn\base.py:1389: ConvergenceWarning: Number of distinct clusters (1) found smaller than n_clusters (2). Possibly due to duplicate points in X. return fit_method(estimator, *args, **kwargs) D:\python 3.9.1\lib\site-packages\sklearn\base.py:1389: ConvergenceWarning: Number of distinct clusters (1) found smaller than n_clusters (2). Possibly due to duplicate points in X. return fit_method(estimator, *args, **kwargs) D:\python 3.9.1\lib\site-packages\sklearn\base.py:1389: ConvergenceWarning: Number of distinct clusters (1) found smaller than n_clusters (2). Possibly due to duplicate points in X. return fit_method(estimator, *args, **kwargs) D:\python 3.9.1\lib\site-packages\sklearn\base.py:1389: ConvergenceWarning: Number of distinct clusters (1) found smaller than n_clusters (2). Possibly due to duplicate points in X. return fit_method(estimator, *args, **kwargs) D:\python 3.9.1\lib\site-packages\sklearn\base.py:1389: ConvergenceWarning: Number of distinct clusters (1) found smaller than n_clusters (2). Possibly due to duplicate points in X. return fit_method(estimator, *args, **kwargs) D:\python 3.9.1\lib\site-packages\sklearn\base.py:1389: ConvergenceWarning: Number of distinct clusters (1) found smaller than n_clusters (2). Possibly due to duplicate points in X. return fit_method(estimator, *args, **kwargs) D:\python 3.9.1\lib\site-packages\sklearn\base.py:1389: ConvergenceWarning: Number of distinct clusters (1) found smaller than n_clusters (2). Possibly due to duplicate points in X. return fit_method(estimator, *args, **kwargs) D:\python 3.9.1\lib\site-packages\sklearn\base.py:1389: ConvergenceWarning: Number of distinct clusters (1) found smaller than n_clusters (2). Possibly due to duplicate points in X. return fit_method(estimator, *args, **kwargs) D:\python 3.9.1\lib\site-packages\sklearn\base.py:1389: ConvergenceWarning: Number of distinct clusters (1) found smaller than n_clusters (2). Possibly due to duplicate points in X. return fit_method(estimator, *args, **kwargs) D:\python 3.9.1\lib\site-packages\sklearn\base.py:1389: ConvergenceWarning: Number of distinct clusters (1) found smaller than n_clusters (2). Possibly due to duplicate points in X. return fit_method(estimator, *args, **kwargs) D:\python 3.9.1\lib\site-packages\sklearn\base.py:1389: ConvergenceWarning: Number of distinct clusters (1) found smaller than n_clusters (2). Possibly due to duplicate points in X. return fit_method(estimator, *args, **kwargs) D:\python 3.9.1\lib\site-packages\sklearn\base.py:1389: ConvergenceWarning: Number of distinct clusters (1) found smaller than n_clusters (2). Possibly due to duplicate points in X. return fit_method(estimator, *args, **kwargs) D:\python 3.9.1\lib\site-packages\sklearn\base.py:1389: ConvergenceWarning: Number of distinct clusters (1) found smaller than n_clusters (2). Possibly due to duplicate points in X. return fit_method(estimator, *args, **kwargs) D:\python 3.9.1\lib\site-packages\sklearn\base.py:1389: ConvergenceWarning: Number of distinct clusters (1) found smaller than n_clusters (2). Possibly due to duplicate points in X. return fit_method(estimator, *args, **kwargs) D:\python 3.9.1\lib\site-packages\sklearn\base.py:1389: ConvergenceWarning: Number of distinct clusters (1) found smaller than n_clusters (2). Possibly due to duplicate points in X. return fit_method(estimator, *args, **kwargs) D:\python 3.9.1\lib\site-packages\sklearn\base.py:1389: ConvergenceWarning: Number of distinct clusters (1) found smaller than n_clusters (2). Possibly due to duplicate points in X. return fit_method(estimator, *args, **kwargs) D:\python 3.9.1\lib\site-packages\sklearn\base.py:1389: ConvergenceWarning: Number of distinct clusters (1) found smaller than n_clusters (2). Possibly due to duplicate points in X. return fit_method(estimator, *args, **kwargs) D:\python 3.9.1\lib\site-packages\sklearn\base.py:1389: ConvergenceWarning: Number of distinct clusters (1) found smaller than n_clusters (2). Possibly due to duplicate points in X. return fit_method(estimator, *args, **kwargs) D:\python 3.9.1\lib\site-packages\sklearn\base.py:1389: ConvergenceWarning: Number of distinct clusters (1) found smaller than n_clusters (2). Possibly due to duplicate points in X. return fit_method(estimator, *args, **kwargs) D:\python 3.9.1\lib\site-packages\sklearn\base.py:1389: ConvergenceWarning: Number of distinct clusters (1) found smaller than n_clusters (2). Possibly due to duplicate points in X. return fit_method(estimator, *args, **kwargs) D:\python 3.9.1\lib\site-packages\sklearn\base.py:1389: ConvergenceWarning: Number of distinct clusters (1) found smaller than n_clusters (2). Possibly due to duplicate points in X. return fit_method(estimator, *args, **kwargs) D:\python 3.9.1\lib\site-packages\sklearn\base.py:1389: ConvergenceWarning: Number of distinct clusters (1) found smaller than n_clusters (2). Possibly due to duplicate points in X. return fit_method(estimator, *args, **kwargs) D:\python 3.9.1\lib\site-packages\sklearn\base.py:1389: ConvergenceWarning: Number of distinct clusters (1) found smaller than n_clusters (2). Possibly due to duplicate points in X. return fit_method(estimator, *args, **kwargs) D:\python 3.9.1\lib\site-packages\sklearn\base.py:1389: ConvergenceWarning: Number of distinct clusters (1) found smaller than n_clusters (2). Possibly due to duplicate points in X. return fit_method(estimator, *args, **kwargs) D:\python 3.9.1\lib\site-packages\sklearn\base.py:1389: ConvergenceWarning: Number of distinct clusters (1) found smaller than n_clusters (2). Possibly due to duplicate points in X. return fit_method(estimator, *args, **kwargs) D:\python 3.9.1\lib\site-packages\sklearn\base.py:1389: ConvergenceWarning: Number of distinct clusters (1) found smaller than n_clusters (2). Possibly due to duplicate points in X. return fit_method(estimator, *args, **kwargs) D:\python 3.9.1\lib\site-packages\sklearn\base.py:1389: ConvergenceWarning: Number of distinct clusters (1) found smaller than n_clusters (2). Possibly due to duplicate points in X. return fit_method(estimator, *args, **kwargs) D:\python 3.9.1\lib\site-packages\sklearn\base.py:1389: ConvergenceWarning: Number of distinct clusters (1) found smaller than n_clusters (2). Possibly due to duplicate points in X. return fit_method(estimator, *args, **kwargs) D:\python 3.9.1\lib\site-packages\sklearn\base.py:1389: ConvergenceWarning: Number of distinct clusters (1) found smaller than n_clusters (2). Possibly due to duplicate points in X. return fit_method(estimator, *args, **kwargs) D:\python 3.9.1\lib\site-packages\sklearn\base.py:1389: ConvergenceWarning: Number of distinct clusters (1) found smaller than n_clusters (2). Possibly due to duplicate points in X. return fit_method(estimator, *args, **kwargs) D:\python 3.9.1\lib\site-packages\sklearn\base.py:1389: ConvergenceWarning: Number of distinct clusters (1) found smaller than n_clusters (2). Possibly due to duplicate points in X. return fit_method(estimator, *args, **kwargs) D:\python 3.9.1\lib\site-packages\sklearn\base.py:1389: ConvergenceWarning: Number of distinct clusters (1) found smaller than n_clusters (2). Possibly due to duplicate points in X. return fit_method(estimator, *args, **kwargs) D:\python 3.9.1\lib\site-packages\sklearn\base.py:1389: ConvergenceWarning: Number of distinct clusters (1) found smaller than n_clusters (2). Possibly due to duplicate points in X. return fit_method(estimator, *args, **kwargs) D:\python 3.9.1\lib\site-packages\sklearn\base.py:1389: ConvergenceWarning: Number of distinct clusters (1) found smaller than n_clusters (2). Possibly due to duplicate points in X. return fit_method(estimator, *args, **kwargs) D:\python 3.9.1\lib\site-packages\sklearn\base.py:1389: ConvergenceWarning: Number of distinct clusters (1) found smaller than n_clusters (2). Possibly due to duplicate points in X. return fit_method(estimator, *args, **kwargs) D:\python 3.9.1\lib\site-packages\sklearn\base.py:1389: ConvergenceWarning: Number of distinct clusters (1) found smaller than n_clusters (2). Possibly due to duplicate points in X. return fit_method(estimator, *args, **kwargs) D:\python 3.9.1\lib\site-packages\sklearn\base.py:1389: ConvergenceWarning: Number of distinct clusters (1) found smaller than n_clusters (2). Possibly due to duplicate points in X. return fit_method(estimator, *args, **kwargs) D:\python 3.9.1\lib\site-packages\sklearn\base.py:1389: ConvergenceWarning: Number of distinct clusters (1) found smaller than n_clusters (2). Possibly due to duplicate points in X. return fit_method(estimator, *args, **kwargs) D:\python 3.9.1\lib\site-packages\sklearn\base.py:1389: ConvergenceWarning: Number of distinct clusters (1) found smaller than n_clusters (2). Possibly due to duplicate points in X. return fit_method(estimator, *args, **kwargs) D:\python 3.9.1\lib\site-packages\sklearn\base.py:1389: ConvergenceWarning: Number of distinct clusters (1) found smaller than n_clusters (2). Possibly due to duplicate points in X. return fit_method(estimator, *args, **kwargs) D:\python 3.9.1\lib\site-packages\sklearn\base.py:1389: ConvergenceWarning: Number of distinct clusters (1) found smaller than n_clusters (2). Possibly due to duplicate points in X. return fit_method(estimator, *args, **kwargs) D:\python 3.9.1\lib\site-packages\sklearn\base.py:1389: ConvergenceWarning: Number of distinct clusters (1) found smaller than n_clusters (2). Possibly due to duplicate points in X. return fit_method(estimator, *args, **kwargs) D:\python 3.9.1\lib\site-packages\sklearn\base.py:1389: ConvergenceWarning: Number of distinct clusters (1) found smaller than n_clusters (2). Possibly due to duplicate points in X. return fit_method(estimator, *args, **kwargs) D:\python 3.9.1\lib\site-packages\sklearn\base.py:1389: ConvergenceWarning: Number of distinct clusters (1) found smaller than n_clusters (2). Possibly due to duplicate points in X. return fit_method(estimator, *args, **kwargs) D:\python 3.9.1\lib\site-packages\sklearn\base.py:1389: ConvergenceWarning: Number of distinct clusters (1) found smaller than n_clusters (2). Possibly due to duplicate points in X. return fit_method(estimator, *args, **kwargs) D:\python 3.9.1\lib\site-packages\sklearn\base.py:1389: ConvergenceWarning: Number of distinct clusters (1) found smaller than n_clusters (2). Possibly due to duplicate points in X. return fit_method(estimator, *args, **kwargs) D:\python 3.9.1\lib\site-packages\sklearn\base.py:1389: ConvergenceWarning: Number of distinct clusters (1) found smaller than n_clusters (2). Possibly due to duplicate points in X. return fit_method(estimator, *args, **kwargs) D:\python 3.9.1\lib\site-packages\sklearn\base.py:1389: ConvergenceWarning: Number of distinct clusters (1) found smaller than n_clusters (2). Possibly due to duplicate points in X. return fit_method(estimator, *args, **kwargs) D:\python 3.9.1\lib\site-packages\sklearn\base.py:1389: ConvergenceWarning: Number of distinct clusters (1) found smaller than n_clusters (2). Possibly due to duplicate points in X. return fit_method(estimator, *args, **kwargs) D:\python 3.9.1\lib\site-packages\sklearn\base.py:1389: ConvergenceWarning: Number of distinct clusters (1) found smaller than n_clusters (2). Possibly due to duplicate points in X. return fit_method(estimator, *args, **kwargs) D:\python 3.9.1\lib\site-packages\sklearn\base.py:1389: ConvergenceWarning: Number of distinct clusters (1) found smaller than n_clusters (2). Possibly due to duplicate points in X. return fit_method(estimator, *args, **kwargs) D:\python 3.9.1\lib\site-packages\sklearn\base.py:1389: ConvergenceWarning: Number of distinct clusters (1) found smaller than n_clusters (2). Possibly due to duplicate points in X. return fit_method(estimator, *args, **kwargs) D:\python 3.9.1\lib\site-packages\sklearn\base.py:1389: ConvergenceWarning: Number of distinct clusters (1) found smaller than n_clusters (2). Possibly due to duplicate points in X. return fit_method(estimator, *args, **kwargs) D:\python 3.9.1\lib\site-packages\sklearn\base.py:1389: ConvergenceWarning: Number of distinct clusters (1) found smaller than n_clusters (2). Possibly due to duplicate points in X. return fit_method(estimator, *args, **kwargs) D:\python 3.9.1\lib\site-packages\sklearn\base.py:1389: ConvergenceWarning: Number of distinct clusters (1) found smaller than n_clusters (2). Possibly due to duplicate points in X. return fit_method(estimator, *args, **kwargs) D:\python 3.9.1\lib\site-packages\sklearn\base.py:1389: ConvergenceWarning: Number of distinct clusters (1) found smaller than n_clusters (2). Possibly due to duplicate points in X. return fit_method(estimator, *args, **kwargs) D:\python 3.9.1\lib\site-packages\sklearn\base.py:1389: ConvergenceWarning: Number of distinct clusters (1) found smaller than n_clusters (2). Possibly due to duplicate points in X. return fit_method(estimator, *args, **kwargs) D:\python 3.9.1\lib\site-packages\sklearn\base.py:1389: ConvergenceWarning: Number of distinct clusters (1) found smaller than n_clusters (2). Possibly due to duplicate points in X. return fit_method(estimator, *args, **kwargs) D:\python 3.9.1\lib\site-packages\sklearn\base.py:1389: ConvergenceWarning: Number of distinct clusters (1) found smaller than n_clusters (2). Possibly due to duplicate points in X. return fit_method(estimator, *args, **kwargs) D:\python 3.9.1\lib\site-packages\sklearn\base.py:1389: ConvergenceWarning: Number of distinct clusters (1) found smaller than n_clusters (2). Possibly due to duplicate points in X. return fit_method(estimator, *args, **kwargs) D:\python 3.9.1\lib\site-packages\sklearn\base.py:1389: ConvergenceWarning: Number of distinct clusters (1) found smaller than n_clusters (2). Possibly due to duplicate points in X. return fit_method(estimator, *args, **kwargs) D:\python 3.9.1\lib\site-packages\sklearn\base.py:1389: ConvergenceWarning: Number of distinct clusters (1) found smaller than n_clusters (2). Possibly due to duplicate points in X. return fit_method(estimator, *args, **kwargs) D:\python 3.9.1\lib\site-packages\sklearn\base.py:1389: ConvergenceWarning: Number of distinct clusters (1) found smaller than n_clusters (2). Possibly due to duplicate points in X. return fit_method(estimator, *args, **kwargs) D:\python 3.9.1\lib\site-packages\sklearn\base.py:1389: ConvergenceWarning: Number of distinct clusters (1) found smaller than n_clusters (2). Possibly due to duplicate points in X. return fit_method(estimator, *args, **kwargs) D:\python 3.9.1\lib\site-packages\sklearn\base.py:1389: ConvergenceWarning: Number of distinct clusters (1) found smaller than n_clusters (2). Possibly due to duplicate points in X. return fit_method(estimator, *args, **kwargs) D:\python 3.9.1\lib\site-packages\sklearn\base.py:1389: ConvergenceWarning: Number of distinct clusters (1) found smaller than n_clusters (2). Possibly due to duplicate points in X. return fit_method(estimator, *args, **kwargs) D:\python 3.9.1\lib\site-packages\sklearn\base.py:1389: ConvergenceWarning: Number of distinct clusters (1) found smaller than n_clusters (2). Possibly due to duplicate points in X. return fit_method(estimator, *args, **kwargs) D:\python 3.9.1\lib\site-packages\sklearn\base.py:1389: ConvergenceWarning: Number of distinct clusters (1) found smaller than n_clusters (2). Possibly due to duplicate points in X. return fit_method(estimator, *args, **kwargs) D:\python 3.9.1\lib\site-packages\sklearn\base.py:1389: ConvergenceWarning: Number of distinct clusters (1) found smaller than n_clusters (2). Possibly due to duplicate points in X. return fit_method(estimator, *args, **kwargs) D:\python 3.9.1\lib\site-packages\sklearn\base.py:1389: ConvergenceWarning: Number of distinct clusters (1) found smaller than n_clusters (2). Possibly due to duplicate points in X. return fit_method(estimator, *args, **kwargs) D:\python 3.9.1\lib\site-packages\sklearn\base.py:1389: ConvergenceWarning: Number of distinct clusters (1) found smaller than n_clusters (2). Possibly due to duplicate points in X. return fit_method(estimator, *args, **kwargs) D:\python 3.9.1\lib\site-packages\sklearn\base.py:1389: ConvergenceWarning: Number of distinct clusters (1) found smaller than n_clusters (2). Possibly due to duplicate points in X. return fit_method(estimator, *args, **kwargs) D:\python 3.9.1\lib\site-packages\sklearn\base.py:1389: ConvergenceWarning: Number of distinct clusters (1) found smaller than n_clusters (2). Possibly due to duplicate points in X. return fit_method(estimator, *args, **kwargs) D:\python 3.9.1\lib\site-packages\sklearn\base.py:1389: ConvergenceWarning: Number of distinct clusters (1) found smaller than n_clusters (2). Possibly due to duplicate points in X. return fit_method(estimator, *args, **kwargs) D:\python 3.9.1\lib\site-packages\sklearn\base.py:1389: ConvergenceWarning: Number of distinct clusters (1) found smaller than n_clusters (2). Possibly due to duplicate points in X. return fit_method(estimator, *args, **kwargs) D:\python 3.9.1\lib\site-packages\sklearn\base.py:1389: ConvergenceWarning: Number of distinct clusters (1) found smaller than n_clusters (2). Possibly due to duplicate points in X. return fit_method(estimator, *args, **kwargs) D:\python 3.9.1\lib\site-packages\sklearn\base.py:1389: ConvergenceWarning: Number of distinct clusters (1) found smaller than n_clusters (2). Possibly due to duplicate points in X. return fit_method(estimator, *args, **kwargs) D:\python 3.9.1\lib\site-packages\sklearn\base.py:1389: ConvergenceWarning: Number of distinct clusters (1) found smaller than n_clusters (2). Possibly due to duplicate points in X. return fit_method(estimator, *args, **kwargs) D:\python 3.9.1\lib\site-packages\sklearn\base.py:1389: ConvergenceWarning: Number of distinct clusters (1) found smaller than n_clusters (2). Possibly due to duplicate points in X. return fit_method(estimator, *args, **kwargs) D:\python 3.9.1\lib\site-packages\sklearn\base.py:1389: ConvergenceWarning: Number of distinct clusters (1) found smaller than n_clusters (2). Possibly due to duplicate points in X. return fit_method(estimator, *args, **kwargs) D:\python 3.9.1\lib\site-packages\sklearn\base.py:1389: ConvergenceWarning: Number of distinct clusters (1) found smaller than n_clusters (2). Possibly due to duplicate points in X. return fit_method(estimator, *args, **kwargs) D:\python 3.9.1\lib\site-packages\sklearn\base.py:1389: ConvergenceWarning: Number of distinct clusters (1) found smaller than n_clusters (2). Possibly due to duplicate points in X. return fit_method(estimator, *args, **kwargs) D:\python 3.9.1\lib\site-packages\sklearn\base.py:1389: ConvergenceWarning: Number of distinct clusters (1) found smaller than n_clusters (2). Possibly due to duplicate points in X. return fit_method(estimator, *args, **kwargs) D:\python 3.9.1\lib\site-packages\sklearn\base.py:1389: ConvergenceWarning: Number of distinct clusters (1) found smaller than n_clusters (2). Possibly due to duplicate points in X. return fit_method(estimator, *args, **kwargs) D:\python 3.9.1\lib\site-packages\sklearn\base.py:1389: ConvergenceWarning: Number of distinct clusters (1) found smaller than n_clusters (2). Possibly due to duplicate points in X. return fit_method(estimator, *args, **kwargs) D:\python 3.9.1\lib\site-packages\sklearn\base.py:1389: ConvergenceWarning: Number of distinct clusters (1) found smaller than n_clusters (2). Possibly due to duplicate points in X. return fit_method(estimator, *args, **kwargs) D:\python 3.9.1\lib\site-packages\sklearn\base.py:1389: ConvergenceWarning: Number of distinct clusters (1) found smaller than n_clusters (2). Possibly due to duplicate points in X. return fit_method(estimator, *args, **kwargs) D:\python 3.9.1\lib\site-packages\sklearn\base.py:1389: ConvergenceWarning: Number of distinct clusters (1) found smaller than n_clusters (2). Possibly due to duplicate points in X. return fit_method(estimator, *args, **kwargs) D:\python 3.9.1\lib\site-packages\sklearn\base.py:1389: ConvergenceWarning: Number of distinct clusters (1) found smaller than n_clusters (2). Possibly due to duplicate points in X. return fit_method(estimator, *args, **kwargs) D:\python 3.9.1\lib\site-packages\sklearn\base.py:1389: ConvergenceWarning: Number of distinct clusters (1) found smaller than n_clusters (2). Possibly due to duplicate points in X. return fit_method(estimator, *args, **kwargs) D:\python 3.9.1\lib\site-packages\sklearn\base.py:1389: ConvergenceWarning: Number of distinct clusters (1) found smaller than n_clusters (2). Possibly due to duplicate points in X. return fit_method(estimator, *args, **kwargs) D:\python 3.9.1\lib\site-packages\sklearn\base.py:1389: ConvergenceWarning: Number of distinct clusters (1) found smaller than n_clusters (2). Possibly due to duplicate points in X. return fit_method(estimator, *args, **kwargs) D:\python 3.9.1\lib\site-packages\sklearn\base.py:1389: ConvergenceWarning: Number of distinct clusters (1) found smaller than n_clusters (2). Possibly due to duplicate points in X. return fit_method(estimator, *args, **kwargs) D:\python 3.9.1\lib\site-packages\sklearn\base.py:1389: ConvergenceWarning: Number of distinct clusters (1) found smaller than n_clusters (2). Possibly due to duplicate points in X. return fit_method(estimator, *args, **kwargs) D:\python 3.9.1\lib\site-packages\sklearn\base.py:1389: ConvergenceWarning: Number of distinct clusters (1) found smaller than n_clusters (2). Possibly due to duplicate points in X. return fit_method(estimator, *args, **kwargs) D:\python 3.9.1\lib\site-packages\sklearn\base.py:1389: ConvergenceWarning: Number of distinct clusters (1) found smaller than n_clusters (2). Possibly due to duplicate points in X. return fit_method(estimator, *args, **kwargs) D:\python 3.9.1\lib\site-packages\sklearn\base.py:1389: ConvergenceWarning: Number of distinct clusters (1) found smaller than n_clusters (2). Possibly due to duplicate points in X. return fit_method(estimator, *args, **kwargs) D:\python 3.9.1\lib\site-packages\sklearn\base.py:1389: ConvergenceWarning: Number of distinct clusters (1) found smaller than n_clusters (2). Possibly due to duplicate points in X. return fit_method(estimator, *args, **kwargs) D:\python 3.9.1\lib\site-packages\sklearn\base.py:1389: ConvergenceWarning: Number of distinct clusters (1) found smaller than n_clusters (2). Possibly due to duplicate points in X. return fit_method(estimator, *args, **kwargs) D:\python 3.9.1\lib\site-packages\sklearn\base.py:1389: ConvergenceWarning: Number of distinct clusters (1) found smaller than n_clusters (2). Possibly due to duplicate points in X. return fit_method(estimator, *args, **kwargs) D:\python 3.9.1\lib\site-packages\sklearn\base.py:1389: ConvergenceWarning: Number of distinct clusters (1) found smaller than n_clusters (2). Possibly due to duplicate points in X. return fit_method(estimator, *args, **kwargs) 聚类列时出错: could not convert string to float: '51.7.19.66.L1_51.7.19.66.L2_2.3.13_66' 聚类列时出错: float() argument must be a string or a number, not 'Timestamp' 聚类列时出错: float() argument must be a string or a number, not 'Timestamp' 聚类列时出错: could not convert string to float: '155NITS_W255_FOS BLSH_W255_155NITS Band_V_d12_cen;155NITS_W255_FOS BLSH_W255_155NITS Band_V_d12_cen CoF;155NITS_W255_FOS BLSH_W255_155NITS subBand_V_d_cen;155NITS_W255_FOS BLSH_W255_155NITS subBand_V_d_cen CoF;155NITS_W255_FOS CU_W255_155NITS DUVCen;155NITS_W255_FOS CU_W255_155NITS DUVCen CoF;155NITS_W255_FOS CU_W255_155NITS DUVEdge;155NITS_W255_FOS CU_W255_155NITS DUVEdge CoF;155NITS_W255_FOS CU_W255_155NITS LUCen;155NITS_W255_FOS CU_W255_155NITS LUCen CoF;155NITS_W255_FOS CU_W255_155NITS LUEdge;155NITS_W255_FOS CU_W255_155NITS LUEdge CoF;155NITS_W255_FOS CU_W255_155NITS PMFOMLeftmax;155NITS_W255_FOS CU_W255_155NITS PMFOMLeftmax CoF;155NITS_W255_FOS CU_W255_155NITS PMFOMRightmax;155NITS_W255_FOS CU_W255_155NITS PMFOMRightmax CoF;155NITS_W255_FOS CU_W255_155NITS PMFOMTopmax;155NITS_W255_FOS CU_W255_155NITS PMFOMTopmax CoF;155NITS_W255_FOS CU_W255_155NITS PMFOMcentermax;155NITS_W255_FOS CU_W255_155NITS PMFOMcentermax CoF;155NITS_W255_FOS WU_W255_155NITS duvOverPanel;155NITS_W255_FOS WU_W255_155NITS duvOverPanel CoF;155NITS_W255_FOS WU_W255_155NITS duvWorstNeig;155NITS_W255_FOS WU_W255_155NITS duvWorstNeig CoF;650NITS_W255_FOS BLSH_W255_650NITS whiteSpot_cen;650NITS_W255_FOS BLSH_W255_650NITS whiteSpot_cen CoF;650NITS_W255_FOS CU_W255_650NITS DUVCen;650NITS_W255_FOS CU_W255_650NITS DUVCen CoF;650NITS_W255_FOS CU_W255_650NITS DUVEdge;650NITS_W255_FOS CU_W255_650NITS DUVEdge CoF;650NITS_W255_GDS GDS GDS_CPD_SCORE_ROI5;650NITS_W255_GDS GDS GDS_CPD_SCORE_ROI5 CoF;' D:\python 3.9.1\lib\site-packages\sklearn\base.py:1389: ConvergenceWarning: Number of distinct clusters (1) found smaller than n_clusters (2). Possibly due to duplicate points in X. return fit_method(estimator, *args, **kwargs) D:\python 3.9.1\lib\site-packages\sklearn\base.py:1389: ConvergenceWarning: Number of distinct clusters (1) found smaller than n_clusters (2). Possibly due to duplicate points in X. return fit_method(estimator, *args, **kwargs) 聚类列时出错: could not convert string to float: '00E69CA900DF7DD000FF3F95' 聚类列时出错: could not convert string to float: '00174CEA0040D457' D:\python 3.9.1\lib\site-packages\sklearn\base.py:1389: ConvergenceWarning: Number of distinct clusters (1) found smaller than n_clusters (2). Possibly due to duplicate points in X. return fit_method(estimator, *args, **kwargs) D:\python 3.9.1\lib\site-packages\sklearn\base.py:1389: ConvergenceWarning: Number of distinct clusters (1) found smaller than n_clusters (2). Possibly due to duplicate points in X. return fit_method(estimator, *args, **kwargs) D:\python 3.9.1\lib\site-packages\sklearn\base.py:1389: ConvergenceWarning: Number of distinct clusters (1) found smaller than n_clusters (2). Possibly due to duplicate points in X. return fit_method(estimator, *args, **kwargs) D:\python 3.9.1\lib\site-packages\sklearn\base.py:1389: ConvergenceWarning: Number of distinct clusters (1) found smaller than n_clusters (2). Possibly due to duplicate points in X. return fit_method(estimator, *args, **kwargs) 聚类列时出错: could not convert string to float: '01000000A40BEE00E21E0A0078D50700802A010031BCFD004E1901003DE5FFFFE0B90300E360FC00' D:\python 3.9.1\lib\site-packages\sklearn\base.py:1389: ConvergenceWarning: Number of distinct clusters (1) found smaller than n_clusters (2). Possibly due to duplicate points in X. return fit_method(estimator, *args, **kwargs) D:\python 3.9.1\lib\site-packages\sklearn\base.py:1389: ConvergenceWarning: Number of distinct clusters (1) found smaller than n_clusters (2). Possibly due to duplicate points in X. return fit_method(estimator, *args, **kwargs) D:\python 3.9.1\lib\site-packages\sklearn\base.py:1389: ConvergenceWarning: Number of distinct clusters (1) found smaller than n_clusters (2). Possibly due to duplicate points in X. return fit_method(estimator, *args, **kwargs) D:\python 3.9.1\lib\site-packages\sklearn\base.py:1389: ConvergenceWarning: Number of distinct clusters (1) found smaller than n_clusters (2). Possibly due to duplicate points in X. return fit_method(estimator, *args, **kwargs) D:\python 3.9.1\lib\site-packages\sklearn\base.py:1389: ConvergenceWarning: Number of distinct clusters (1) found smaller than n_clusters (2). Possibly due to duplicate points in X. return fit_method(estimator, *args, **kwargs) D:\python 3.9.1\lib\site-packages\sklearn\base.py:1389: ConvergenceWarning: Number of distinct clusters (1) found smaller than n_clusters (2). Possibly due to duplicate points in X. return fit_method(estimator, *args, **kwargs) D:\python 3.9.1\lib\site-packages\sklearn\base.py:1389: ConvergenceWarning: Number of distinct clusters (1) found smaller than n_clusters (2). Possibly due to duplicate points in X. return fit_method(estimator, *args, **kwargs)
最新发布
07-10
评论
添加红包

请填写红包祝福语或标题

红包个数最小为10个

红包金额最低5元

当前余额3.43前往充值 >
需支付:10.00
成就一亿技术人!
领取后你会自动成为博主和红包主的粉丝 规则
hope_wisdom
发出的红包

打赏作者

我叫永强

你的鼓励将是我创作的最大动力

¥1 ¥2 ¥4 ¥6 ¥10 ¥20
扫码支付:¥1
获取中
扫码支付

您的余额不足,请更换扫码支付或充值

打赏作者

实付
使用余额支付
点击重新获取
扫码支付
钱包余额 0

抵扣说明:

1.余额是钱包充值的虚拟货币,按照1:1的比例进行支付金额的抵扣。
2.余额无法直接购买下载,可以购买VIP、付费专栏及课程。

余额充值