精确定义:




例1:

![]()

例2:



Left-hand Limit and Right-hand LImit 左极限和右极限


当无法表达两个自定有范围值的关系时,可以设一个常数来表达,常数的值也可设为具体的一个值
此时自定义的范围值在一个区间内都可以证明极限而不是仅仅在我们设的与另一个范围值关系的值


证明极限不存在 - 左极限不等于右极限

证明分段函数极限存在 - 左极限等于右极限



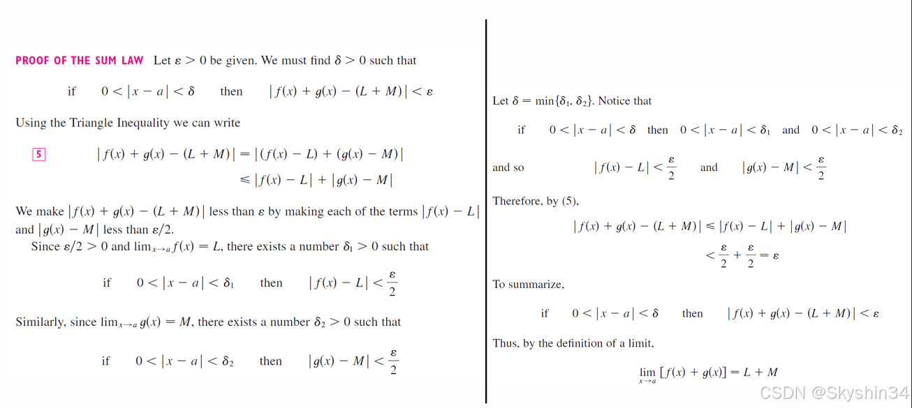
极限的性质 - 极限可加

Infinite Limits 无穷极限





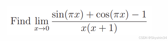
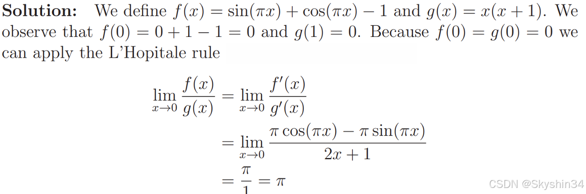
极限 题型总结



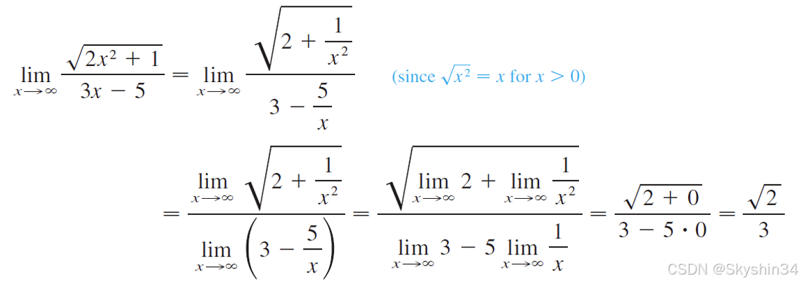
无穷 / 无穷,上下同除化简 + 拆极限
1 ^ 无限
0^0
无限 - 无限
0-0
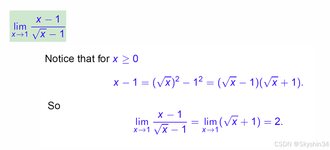
对于含根式的极限 - a+b a-b
换元法去除复杂根式
![]()
![]()
渐近线


对于不好求极限的函数求某点的极限
适用于一个含参数的三角函数和另一个简单函数相乘的时候用,因为三角函数震荡的性质,其极限并不存在,所以无法用

Continuous 连续





中间值定理




Reference:






















8059

被折叠的 条评论
为什么被折叠?



