不等式是求定义域,解的交集。因为要同时满足
绝对值求解的交集是并集,因为是分类讨论,分别满足
Inequalities
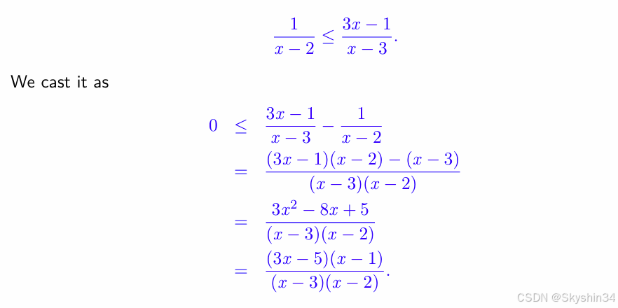
分母式不等式,找到符号的临界点即令上下函数等于0时的X值,然后分类讨论区间和临界值
当不等式左右都不为0时:先将一侧化为0
eg1:
eg2:
等式包括不等式不能两边取倒数(只有两边同时乘除某个数),而是分别计算
Absolute value


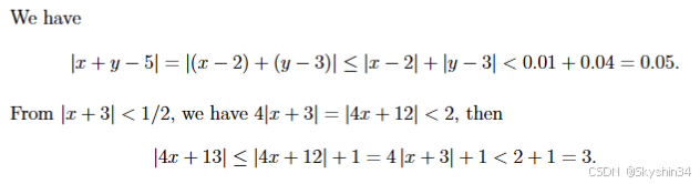
绝对值不等式


eg1:
很多证明题都是通过+x-x的等价代换证明的
eg2:
不等式是求定义域,解的交集。因为要同时满足
绝对值求解的交集是并集,因为是分类讨论,分别满足
分母式不等式,找到符号的临界点即令上下函数等于0时的X值,然后分类讨论区间和临界值
当不等式左右都不为0时:先将一侧化为0
eg1:
eg2:
等式包括不等式不能两边取倒数(只有两边同时乘除某个数),而是分别计算




eg1:
很多证明题都是通过+x-x的等价代换证明的
eg2:
804
292

被折叠的 条评论
为什么被折叠?