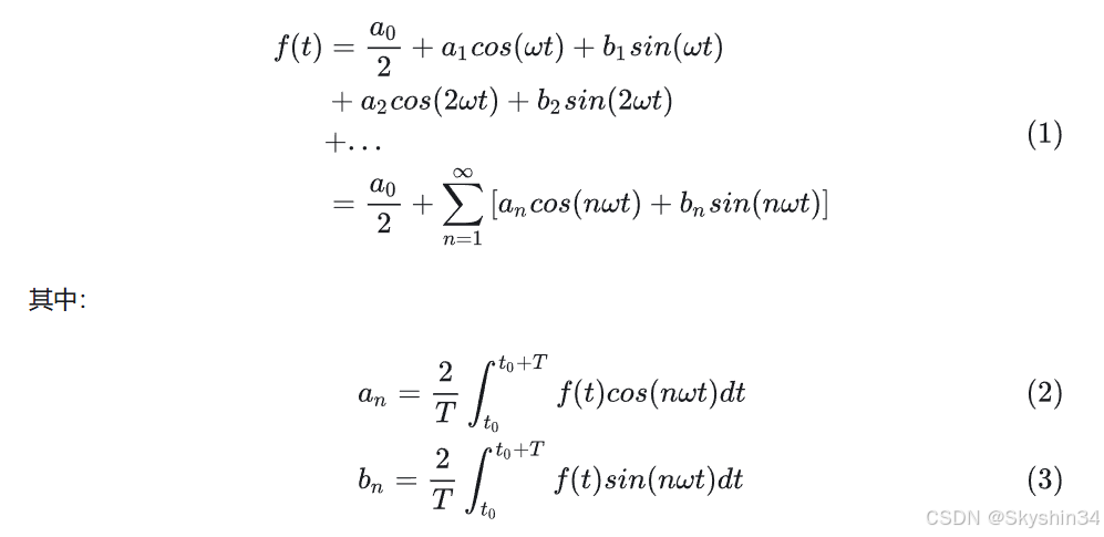
发明初衷及公式

之前学过用泰勒级数(非周期函数)去拟合一个函数,但用非周期函数去拟合一个周期函数,无法较好的体现其性质
用一些基本的周期函数即sin/cos去拟合周期为2Π(如果函数无周期或周期不是2Π的解决方案分别是展开和替换变量,见后)函数,因此引入三角级数又称傅里叶级数

其中w为信号的频率,w = 2Π / T。后面都讨论T =2Π的情况,故w=1可省略不写
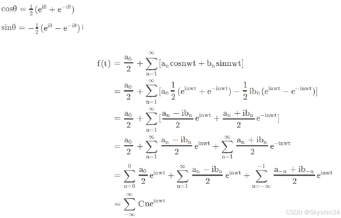
也可利用欧拉公式将其写为复指数形式,你看到有cos有sin还想不到我们大名鼎鼎的欧拉大人嘛?


三角函数系及其正交性

正交也就意味着数量积为0,其中(2)为0的原因是因为自变量相差cos的一个周期,所以值相同
345用积化和差证明

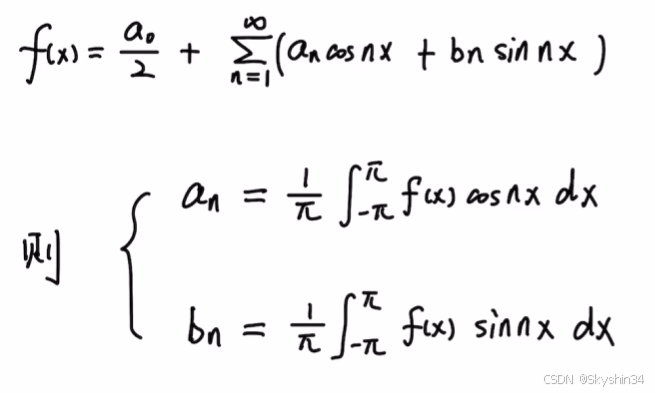
系数an和bn的推导

prove:
展开方法及Dirichlet狄利克雷收敛定理

1.将需要转化的函数变成周期函数,再将展开的函数的定义域限制在(-Π,Π)中
2.套公式求出a0,an,bn。再套公式求出F(x)
3.可以发现拓展后的函数在nΠ的点处不连续


狄利克雷收敛条件:该处理思路是既然傅里叶级数展开的合函数在某些点不连续,没法拟合原来的值,所以只能取就取该点左极限和右极限各的一半即平均值。
正弦级数和余弦级数

周期为2L的函数如何展开
通过变量代换将函数变成一个新的函数周期为2Π即可


2833

被折叠的 条评论
为什么被折叠?



