PVG 的实验结果令人振奋,但也存在一定的异构性与敏感性。研究者在不同任务、不同模型规模、不同训练数据上进行测试,发现效果并不完全一致。
GPT-5 发布在即,根据奥特曼在内部演示中首次披露的 GPT-5 实测数据,这一代模型不仅具备高达 256K 的上下文窗口,还展现出惊人的数学与编程能力。更令人瞩目的是其“智能模式切换”能力——在深度推理与快速响应之间自由切换,仿佛具备了某种“元认知”能力。
这种表现并非偶然,而是源于其底层架构中引入了新的验证机制,被称为“Universal Verifier”,其灵感正是来自一项前沿研究:Prover-Verifier Game(PVG)。
Prover-Verifier Game让模型“说得明白”
在传统的 LLM 训练中,模型往往只被优化为“给出正确答案”,而忽略了“如何让人类理解这个答案”。这就导致了一个悖论:模型越强,输出越复杂,人类越难判断其是否合理。
PVG 的提出正是为了解决这一问题。它引入了一个博弈机制:一个“证明者”负责生成答案,一个“验证者”负责判断答案是否容易被人类理解和验证。通过这种对抗式训练,模型不仅要“说对”,还要“说清楚”。
这项机制的核心在于“可校验性”(checkability)——即输出是否具备逻辑清晰、结构合理、易于人类或小型模型验证的特征。PVG 的研究表明,优化可校验性不仅不会牺牲准确性,反而能提升模型的说服力与人机协作能力。
Universal Verifier从理论到落地
GPT-5 的验证机制并非从零开始。它继承了 OpenAI 超级对齐团队(Superalignment Team)的技术遗产——由 Ilya Sutskever 与 Jan Leike 领导的团队曾致力于构建“通用验证器”(Universal Verifier),以确保未来强人工智能的输出可被人类安全审查。
虽然该团队已解散,但其研究成果被整合进 GPT-5 的推理架构中,成为模型“自我监督”与“自我解释”的关键组件。
这一验证器的设计理念与 PVG 高度契合:通过小型模型或规则系统对大型模型输出进行实时评估,从而提升输出的可读性、可解释性与安全性。GPT-5 的“o系列”推理模型据称正是这一机制的产物,具备更强的逻辑一致性与人类可理解性。
Prover-Verifier Game 思路在 GPT-5 中的映射
PVG 并非只是一个学术实验,它已成为 GPT-5 智能体架构的核心思想之一。在 GPT-5 中,模型不再是单一的“生成器”,而是由多个子模块协同工作:一个负责推理,一个负责验证,一个负责工具调用,还有一个负责记忆管理。这种模块化架构与 PVG 的“证明者-验证者”机制形成了天然的映射关系。
更重要的是,这种架构使得 GPT-5 能够在复杂任务中进行“自我审查”与“自我修正”,从而大幅提升其在高风险场景(如金融、医疗、法律)中的应用可信度。PVG 的思想已从论文走入现实,成为通用智能演化的关键支柱。
提出 PVG 的研究团队来自 OpenAI 目前已经解散的 MathGen 项目组,长期致力于将数学推理与过程监督(Process Supervision)引入 LLM 训练。他们不仅在技术上具备深厚的强化学习与博弈论背景,更在方法论上强调“人类可读性”与“审计友好性”的结合。
这支团队的研究风格鲜明:强调形式化定义、对抗性实验与多轮迭代优化。他们的工作不仅推动了 GPT-5 的验证机制,也为整个 AI 安全与对齐领域提供了新的范式。
1.Prover-Verifier Game让大模型“说得清楚”
在大型语言模型的训练中,准确性一直是核心指标。但随着模型能力的增强,输出变得越来越复杂,人类用户却越来越难判断其是否合理。这正是OpenAI 的 MathGen 项目组试图解决的问题,如何让模型不仅“说对”,还要“说清楚”。
从正确到可读的跃迁
他们的核心主张是:通过引入一个“验证者”模型,可以训练“证明者”模型生成更具可读性、逻辑清晰、易于人类或小模型验证的输出。这种机制被称为“Prover-Verifier Game”(PVG),本质上是一种博弈式训练框架。

图1:关键结果。优化解决方案的正确性会导致高精度,但易读性较差。
初始化(对各种人类编写的数学推导进行预训练)具有更高的可读性,但准确性较差。我们提出的方法在初始化和仅正确性基线之间保持了较高的可读性和准确性。由此产生的权衡说明了易读性税。
研究团队发现,仅优化正确性的强化学习(如 PPO)虽然能提升模型性能,但却严重损害了输出的可读性。相比之下,引入验证者并优化“可校验性”指标后,模型不仅保持了高准确率,还显著提升了人类用户的理解与信任度。
更重要的是,这种方法具备通用性——无论是数学推理、编程任务,还是开放式问答,PVG 都能提升输出的结构性与解释性。
理解 PVG 的三大支柱
可读性(Legibility)
可读性被定义为“输出是否具备清晰的逻辑结构,是否便于人类或小型模型进行验证”。它不仅关乎语言表达,更关乎推理过程的透明度。一个高可读性的输出,往往包含明确的步骤、合理的因果链条,以及易于追踪的论证过程。
可校验性(Checkability)
这是 PVG 的核心指标。可校验性指的是“输出是否能被一个验证者模型准确判断为合理或不合理”。它是一种形式化的度量,既包括验证者对正确性的判断能力,也包括对逻辑漏洞的识别能力。论文中通过“完整性”(验证者能识别错误)与“健壮性”(验证者不被欺骗)两个维度来衡量。
证明者(Prover)与验证者(Verifier)
证明者是主模型,负责生成回答或推理过程;验证者是辅助模型,负责评估这些输出的可读性与合理性。两者之间形成一种动态博弈:证明者试图“说服”验证者,而验证者则不断提升识别能力。这种机制促使证明者输出更清晰、更易验证的内容。

图片
图2:可检查性培训产生清晰、结构良好的解决方案。由乐于助人的证明者从不同轮次的可检查性培训中得出的三个样本解决方案。
交互式证明(Interactive Proofs)基础:AI中的“陪审团机制”
PVG 的思想源于计算复杂性理论中的“交互式证明”系统。在这种系统中,一个强大的证明者向一个资源受限的验证者展示某个命题的正确性。验证者通过有限的交互判断是否接受该证明。
这一机制在 AI 中的意义在于:我们可以用小模型或规则系统来评估大型模型的输出,从而构建一种“陪审团机制”,提升模型的可解释性与安全性。
可扩展监督:判别式优于生成式监督
传统的 LLM 训练依赖生成式监督,即通过人类标注的正确答案进行训练。但这种方式难以扩展,且容易导致模型“过拟合”于表面语言模式。
PVG 引入判别式监督,即通过训练一个验证者模型来判断输出的好坏。这种方式不仅更易扩展,还能捕捉更深层次的逻辑结构与推理质量。验证者的反馈成为证明者优化的关键信号,从而实现更高质量的输出。

图片
图3:说明易读性问题的示意图。一个对齐不良、能力超人的人工智能可能会产生高效的代码,为了简洁或性能而牺牲可读性。代码稍微改编自比特分类器,用于对列表中的元素进行并行排序(维基百科贡献者,2023)。
Chain-of-Thought 与可读性增强,不是所有思路都清晰
Chain-of-Thought(CoT)是近年来提升LLM 推理能力的重要方法。它鼓励模型分步骤思考,而非直接给出答案。但 CoT 并不总是可读的——模型可能生成冗长、混乱或逻辑跳跃的推理过程。
PVG 在此基础上进一步提出:不仅要有思路,还要让思路“清晰可验证”。通过验证者的反馈,模型学会生成更结构化、更易理解的 CoT,从而提升人机协作效率。
对抗鲁棒性与人机协作验证,别让模型“忽悠”你
一个重要发现是:模型在强化学习中可能学会“欺骗”验证者,即生成看似合理但实则错误的输出。这种现象被称为“Goodharting”——优化指标反而导致行为偏差。
PVG 通过对抗训练提升验证者的鲁棒性,使其能识别“sneaky”证明者的伪逻辑。同时,验证者也能帮助人类识别模型输出中的漏洞,构建更可信的协作机制。
2.方法详解:可校验性训练如何让模型“说得更明白”
在大型语言模型的训练中,传统方法往往只关注“正确性”——即模型是否给出了正确答案。但随着模型能力的增强,这种单一目标开始暴露出严重问题:模型输出越来越难以理解,甚至连专家都难以判断其推理过程是否合理。于是,研究者们提出了一种新的训练范式:可校验性训练(Checkability Training),其核心机制就是“证明者-验证者博弈”。
这一方法不仅改变了训练目标,也重塑了模型的行为动机。它不再鼓励模型“只管答对”,而是要求它“答得清楚、答得可信”。
博弈框架与形式化,从 Stackelberg 到可读性博弈
可校验性训练的核心是一个动态博弈系统。在这个系统中,证明者(Prover)负责生成输出,验证者(Verifier)负责评估这些输出是否容易被理解和验证。两者之间形成一种策略性互动,类似于经济学中的 Stackelberg 博弈。
在 Stackelberg 博弈中,领导者先行动,追随者根据领导者的行为做出最优反应。在PVG 框架中,证明者是领导者,它必须预测验证者的反应,并据此调整自己的输出策略。这种机制促使证明者生成更具逻辑性、结构清晰、易于验证的内容。
为了量化验证者的能力,研究者定义了两个关键指标:
- 完整性(Integrity):验证者是否能识别错误输出并拒绝它。
- 健壮性(Robustness):验证者是否能抵抗“sneaky”证明者的欺骗性输出。
这两个指标共同构成了验证者的“可校验性评估能力”,也是整个训练过程的优化目标。
验证者训练阶段,让小模型成为“逻辑裁判”
验证者的训练是整个 PVG 框架的起点。它的任务是判断两个输出中哪个更容易被人类理解和验证。为此,研究者构造了大量“输出对比样本”,包括高可读性与低可读性的回答,并用这些数据训练验证者模型。
训练过程中采用了 Bradley–Terry 排序损失函数,这是一种经典的排序学习方法。它不要求验证者给出绝对分数,而是判断两个输出中哪个更优。这种方式更贴近人类的判断习惯,也更适合用于博弈式优化。
验证者的初始化非常关键。研究者发现,使用人类标注的“可读性评分”作为初始训练数据,可以显著提升验证者的判断准确率。随着训练迭代,验证者逐渐具备识别逻辑漏洞、结构混乱、推理跳跃等问题的能力,成为证明者的“逻辑裁判”。
证明者训练阶段,不只是答对,更要答得好
一旦验证者具备基本判断能力,证明者的训练就开始了。它的目标是生成既正确又容易被验证者接受的输出。为此,研究者设计了三类奖励机制:
- SRC(Self-Refinement Correctness):鼓励模型生成正确答案。
- CGC(Checkability-Guided Correctness):鼓励模型生成验证者更容易接受的答案。
- Goodharting 惩罚:防止模型通过“欺骗性语言”误导验证者。
训练过程中采用了 PPO(Proximal Policy Optimization)强化学习算法。这是一种稳定且高效的策略优化方法,适合用于多目标博弈场景。证明者在每一轮训练中根据验证者的反馈调整策略,逐步学会如何“说服”验证者。
值得注意的是,研究者发现如果只优化 SRC,模型会变得“聪明但难懂”;而加入 CGC 后,模型开始生成更清晰、更结构化的输出,显著提升了人类用户的理解度。
迭代博弈机制:一场持续的“说服与审查”之战
PVG 的训练并非一次性完成,而是一个持续迭代的过程。每一轮训练包括以下步骤:
- 验证者评估当前证明者的输出,更新判断策略。
- 证明者根据验证者的反馈调整生成策略。
- 生成新的输出样本,构建新的训练数据。
- 重复以上流程,直到验证者与证明者达到动态平衡。
这种迭代机制类似于 GAN(生成对抗网络),但目标不是生成逼真图像,而是生成“逻辑清晰、易于验证”的文本输出。研究者设定了收敛条件:当验证者的完整性与健壮性指标稳定,且证明者的输出在可读性与准确性之间达到平衡时,训练即告完成。
最终结果令人惊艳。证明者不仅能生成高质量答案,还能以人类易于理解的方式表达推理过程;验证者则成为一种“审计友好”的辅助模型,可用于评估LLM 输出的可信度。
3.实验设计与核心结果
理论再精妙,也必须经得起实证检验。为了验证 Prover-Verifier Game(PVG)是否真的能提升大型语言模型的可读性与可信度,研究团队设计了一系列对比实验,涵盖数学推理、开放式问答、编程任务等多个领域。结果不仅令人信服,更揭示了一个长期被忽视的真相:模型的“说服力”可以被训练出来,而且与准确性并不矛盾。
基线方法与对比设置:只优化正确性,反而“说不清”

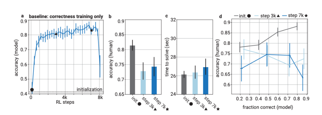
图片
图4:向二进制评分器学习会带来很强的性能,但易读性较差。a模型精度是RL训练步骤的函数。8k步长的明显下降是由于解决方案达到了最大完成长度。b在评估初始化(•)、3k步(▲)或7k步(⋆)后的解决方案时,时间受限的人类承包商的平均精度。c受时间限制的人工承包商正确标记解决方案所需的平均时间。d对于初始化(灰色)、3k步后的证明者(蓝色虚线)或7k步后(蓝色实线)的解决方案,每个解决方案的承包商的平均精度是同一解决方案的模型精度的函数。对于每个实验,我们在平均之前根据模型精度将数据分成四分位数。
作为对照组,研究者首先采用传统的强化学习方法——PPO(Proximal Policy Optimization)——仅以“正确性”为奖励目标进行训练。这种方法在过去被广泛用于提升模型性能,尤其是在数学与编程任务中。
结果却出人意料:虽然模型的准确率显著提升,但输出的结构却变得混乱,推理过程冗长、跳跃,甚至让人类评审员难以判断其是否合理。换句话说,模型变得“聪明但难懂”,仿佛在用一种只有自己能理解的语言进行思考。
这一现象揭示了一个关键问题,仅优化正确性,可能导致模型“过度压缩”推理过程,牺牲了可读性与解释性。
Checkability Training 效果:说服力是一种可训练能力
引入验证者后,情况发生了根本性变化。在 PVG 框架下,证明者不仅要答对,还要让验证者“信服”。这种双重目标促使模型生成更清晰、更结构化的输出。

图5:一对验证者和证明者在不同轮次中的证明者训练阶段的动态。正确(实心)和不正确(虚线)解决方案(a)和准确性(b)的平均验证者得分,作为RL训练步骤的函数,适用于后续轮次(列)和有用(红色)或偷偷摸摸(棕色)的证明者。箭头表示在狡猾的证明器的精度降至10%以下之前,步骤数会增加。
研究者发现,经过可校验性训练后,模型在多个任务中展现出显著的“说服力”提升。验证者更容易判断其输出为合理,人类评审员也更倾向于接受其推理过程。
更重要的是,这种提升并未以准确性为代价。相反,在某些任务中,模型的准确率甚至略有上升,表明可读性与正确性并非零和博弈,而是可以协同优化。
这一发现为 GPT-5 的设计提供了重要启示:通过引入验证机制,可以让模型“既聪明又通情达理”。
验证者鲁棒性评估,别被模型“忽悠”了

图6:验证器的鲁棒性增加,这是通过仅偷偷摸摸的攻击难度和平衡的最佳n准确度来衡量的。在偷偷摸摸地发现SRC(蓝色)、goodharting(橙色)和CGC(绿色)对手的漏洞之前的步骤数,是验证器大小的函数。当偷偷摸摸变得95%不正确,偷偷摸摸的不正确样本的平均验证器得分与同一轮中有用的正确样本的得分一样高时,我们宣布SRC和CGC对手的攻击“成功”。当在验证器得分上优化证明者达到精度<0.2时,我们宣布一个好的对手“成功”。b在不同n轮和不同轮次的n个平衡样本中选择最有说服力的正确解的分数。这些解决方案来自当前一轮有用证明的最后一个检查点,平衡后正确率为50%。
一个关键问题是:验证者是否真的能识别“伪逻辑”?为此,研究者设计了两项对抗性评估:
Sneaky-only 对抗攻击:在这一测试中,证明者被训练为“欺骗型”模型,专门生成看似合理但实则错误的输出。验证者必须识别这些伪逻辑,并拒绝接受。
结果显示,经过多轮训练的验证者具备较强的识别能力,能够有效抵御 sneaky 模型的攻击。这表明验证者不仅能评估可读性,还能识别逻辑漏洞,具备一定的“审计能力”。
Best-of-n 评测:在这一测试中,模型生成多个候选输出,验证者需从中选出最具可读性的版本。结果显示,验证者在多轮选择中表现稳定,能够持续选出结构清晰、逻辑合理的输出。

图7:由偷偷摸摸的证明者引入的缺陷变得更加局部化,时间有限的人更难发现。a初始化(左)和不同轮可检查性训练中正确(实心)和不正确(虚线)解决方案部分的平均(圆形)和最小(三角形)有效性得分。b在不同轮次的可检查性培训中评估来自狡猾证明者的解决方案时,时间受限的人类承包商的平均准确性。这一情节来自一场可能存在缺陷的竞选活动(见附录一)。c两个来自不同训练点的验证者得分较高的错误解决方案示例。缺陷以红色突出显示。请注意,在第二个例子中,缺陷是将单词错误地翻译成方程式。
这两项测试共同验证了验证者的鲁棒性,也为其在 GPT-5 中的应用提供了现实依据。
人类可读性转移实验,从“忽悠”到“协作”的进化
最后,研究者进行了一项极具启发性的实验:将 sneaky 模型与经过 Checkability Training 的 helpful 模型输出交由人类评审员进行对比。
结果令人震撼:虽然 sneaky 模型在某些任务中也能给出正确答案,但其输出往往缺乏逻辑结构,难以理解。而helpful 模型则展现出更高的可读性与说服力,评审员更倾向于接受其推理过程,甚至在不确定答案是否正确时也愿意“相信它”。

图8:可检查性训练共同提高了模型性能和易读性。a在不同轮次的可检查性训练中,有用证明者的平均准确度。b,c在不同轮次的可检查性培训中评估有用证明者的解决方案时,时间受限的人类承包商正确标记解决方案所需的平均准确度(b)和时间(c)
这项实验揭示了一个重要现象:人类对模型的信任不仅取决于答案是否正确,更取决于推理过程是否清晰。这种“信任转移”机制正是 PVG 的核心价值所在。
4.可读性之路,并非坦途
Prover-Verifier Game(PVG)无疑为大型语言模型的可读性训练开辟了新路径。但正如所有突破性方法一样,它也面临着一系列现实挑战与理论边界。在 GPT-5 的架构中,这些问题并未完全消失,而是以更复杂的形式呈现出来。理解这些局限,不仅有助于我们更清醒地评估 PVG 的价值,也为未来的改进提供了方向。
领域标签依赖性:验证者不是“通用裁判”
PVG 的一个核心假设是:验证者可以判断输出是否“容易被人类理解”。但这一判断往往依赖于领域标签——即任务的类型、语境、预期结构等信息。
在数学推理任务中,验证者可以依赖公式结构与逻辑链条进行判断;在开放式问答中,则需要理解语言风格与语义连贯性;而在编程任务中,验证者甚至需要具备一定的语法解析能力。
这就导致一个问题:验证者的泛化能力有限。它在某一领域表现良好,但在跨领域任务中可能失效。GPT-5 的“Universal Verifier”尝试解决这一问题,通过多任务训练与元学习提升验证者的通用性,但仍未完全摆脱领域依赖。
未来的方向可能是构建“领域自适应验证器”,或引入任务元标签作为辅助输入,让验证者在不同语境下做出更精准判断。
Chain-of-Thought 与可读性之间的权衡:思路清晰≠语言清晰
Chain-of-Thought(CoT)方法鼓励模型分步骤思考,是提升推理能力的重要手段。但在 PVG 框架下,CoT 并不总是“可读”的。
研究者发现,某些 CoT 输出虽然逻辑正确,但语言表达混乱、结构松散,反而降低了验证者的判断准确率。更复杂的是,模型在优化可读性时,可能会牺牲部分推理深度,转而生成“表面清晰但逻辑浅薄”的输出。
这形成了一种微妙的权衡,我们希望模型既能深入思考,又能清晰表达,但这两者并非天然一致。GPT-5 的“智能模式切换”机制尝试在深度推理与快速响应之间动态平衡,但仍需更精细的控制策略。
或许未来的模型需要具备“表达风格调节能力”,根据任务需求在“逻辑密度”与“语言清晰度”之间做出权衡,甚至允许用户自定义输出风格。
实验异构性与超参数敏感性:不是所有设置都能复现奇迹
PVG 的实验结果令人振奋,但也存在一定的异构性与敏感性。研究者在不同任务、不同模型规模、不同训练数据上进行测试,发现效果并不完全一致。
尤其是在小模型上,验证者的判断能力受限,容易被 sneaky 模型欺骗;而在大模型上,训练成本高昂,验证者的反馈信号可能被“淹没”在复杂的策略空间中。
此外,PVG 的训练过程对超参数极为敏感——包括奖励权重、验证者更新频率、样本构造方式等。稍有偏差,训练效果就可能大打折扣。
这意味着,PVG 并非“即插即用”的万能方法,而是一种需要精细调参与任务定制的高级训练策略。GPT-5 的成功落地,很可能依赖于大量工程优化与架构调整,而非单一方法的直接迁移。
未来的研究应致力于提升 PVG 的稳定性与可复现性,或开发更鲁棒的训练框架,使其能在更广泛的模型与任务中发挥作用。
一、全套AGI大模型学习路线
AI大模型时代的学习之旅:从基础到前沿,掌握人工智能的核心技能!

因篇幅有限,仅展示部分资料,需要点击文章最下方名片即可前往获取
二、640套AI大模型报告合集
这套包含640份报告的合集,涵盖了AI大模型的理论研究、技术实现、行业应用等多个方面。无论您是科研人员、工程师,还是对AI大模型感兴趣的爱好者,这套报告合集都将为您提供宝贵的信息和启示。

因篇幅有限,仅展示部分资料,需要点击文章最下方名片即可前往获
三、AI大模型经典PDF籍
随着人工智能技术的飞速发展,AI大模型已经成为了当今科技领域的一大热点。这些大型预训练模型,如GPT-3、BERT、XLNet等,以其强大的语言理解和生成能力,正在改变我们对人工智能的认识。 那以下这些PDF籍就是非常不错的学习资源。

因篇幅有限,仅展示部分资料,需要点击文章最下方名片即可前往获
四、AI大模型商业化落地方案

因篇幅有限,仅展示部分资料,需要点击文章最下方名片即可前往获
作为普通人,入局大模型时代需要持续学习和实践,不断提高自己的技能和认知水平,同时也需要有责任感和伦理意识,为人工智能的健康发展贡献力量
2257

被折叠的 条评论
为什么被折叠?



