1、特征点法的缺点
特征点法具有以下缺点:
1、关键点的提取与描述子的计算非常耗时
2、特征点的数量远小于图像像素数量,只使用特征点丢弃了大部分可能有用的图像信息
3、相机有时会运动到特征缺失的地方,往往这些地方没有明显的纹理信息,从而使得特征点数目减少,无法估计运动
克服特征点法缺点的思路:
1、只计算关键点,不计算描述子。使用光流法跟踪特征点的运动,回避计算和匹配描述子带来的时间
2、只计算关键点,不计算描述子。使用直接法计算特征点在下一时刻图像的位置
3、不使用特征点,而是根据像素灰度的差异,直接计算相机运动
第一种方法仍然使用特征点,只是把匹配描述子替换成了光流跟踪
后面两个方法中,根据图像的像素灰度信息来计算相机运动,它们都称为直接法
使用特征点法估计相机运动时,把特征点看作固定在三维空间的不动点,通过最小化重投影误差优化相机运动,这需要精确地知道空间点在两个相机中投影后的像素位置
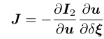
在直接法中,不需要知道点与点之间之间的对应关系,通过最小化光度误差优化相机运动
特征点法只能重构稀疏地图,而直接法分为稀疏、稠密和半稠密三种
2、光流
光流是一种描述像素随着时间,在图像之间运动的方法。计算部分像素运动的称为稀疏光流,计算所有像素的称为稠密光流
稀疏光流以 Lucas-Kanade(LK) 光流为代表,可以在 SLAM 中用于跟踪特征点位置
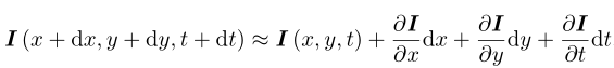
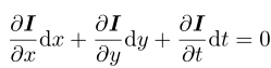
将图像看作时间的函数:I(t)。那么,一个在 t 时刻,位于 (x,y) 处的像素,它的灰度可以写成:
![]()
含义是某个空间点位于 t 时刻图像的 (x, y) 像素的深度

光流法用到 灰度不变假设:同一个空间点的像素灰度值,在各个图像中是固定不变的
对于 t 时刻位于 (x,y) 处的像素,设 t + dt 时刻,它运动到 (x + dx,y + dy) 处。由于灰度不变:

本文详细介绍了特征点法在视觉SLAM中的局限性,如计算耗时、信息丢失及特征缺失问题,并提出了通过光流法跟踪和直接法优化来克服这些缺点。光流法利用像素运动假设来跟踪特征点,而直接法则通过最小化光度误差来估计相机运动,无需特征匹配。直接法分为稀疏、半稠密和稠密三种,适用于不同级别的地图重建。尽管直接法速度快且能构建稠密地图,但它面临非凸优化、像素区分度低和灰度不变假设的挑战。
最低0.47元/天 解锁文章
3616





