1. 简介
We can classify an integration method by its stability and computational effort. The y-axis represents the stability and x-axis represents the computational effort.
The backward euler is located at top-right corner due to the high stability and also high computational effort of solving a linear system. On the other hand, the forward euler is located at bottom-left corner. There are many previous works for improving either the stability of the explicit method or the performance of the implicit method. Dong and Li propose to use telescopic scheme to improve the stability of the forward euler method. Devgan and Rohrer use adaptive slope control to relax the stability constraints. For the implicit method, Li and Shi re-formulate the backward euler and avoid solving a linear system when the step size is changed.
We devise a

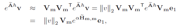
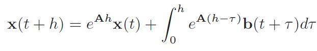
文章探讨了一种新的数值积分方法,该方法结合了矩阵指数方法,旨在实现高稳定性的同时降低计算复杂度。与BackwardEuler的高稳定性和高计算成本相比,ForwardEuler在稳定性方面较弱。提出的矩阵指数方法通过Krylov子空间近似解决矩阵向量乘法问题,避免了对奇异矩阵求逆,从而提高了计算效率并保持了稳定性。在实际计算中,使用LU分解来减少重复运算。
最低0.47元/天 解锁文章
1774

被折叠的 条评论
为什么被折叠?



