1、主要参考
(1)大佬写的很好
https://www.jianshu.com/p/24376b18e5c7
(2)二分类和多分类大佬写的很好
交叉熵损失函数_沙子是沙子的博客-优快云博客_交叉熵损失函数
二分类交叉熵,多分类交叉熵,focal loss_jzdl的博客-优快云博客_二分类交叉熵
(3)二分类的定义和实现
(4)softmax和sigmod的关系见下面,写得很好
Softmax和Sigmoid函数的区别_ciki_tang的博客-优快云博客_softmax和sigmoid
(5)其它概念参考
2、什么是熵
参考某度
https://baike.baidu.com/item/%E7%86%B5/19190273?fr=aladdin
(1)熵 [shāng],(英语:entropy)。泛指某些物质系统状态的一种量度,某些物质系统状态可能出现的程度。熵的概念是由德国物理学家克劳修斯于1865年提出。1923年,德国科学家普朗克(Planck)来中国讲学用到"entropy"这个词,胡刚复教授翻译时灵机一动,把“商”字加火旁来意译“entropy”这个字,创造了“熵”字(拼音:shāng)。
(2)1948年,香农将统计物理中熵的概念,引申到信道通信的过程中,从而开创了”信息论“这门学科。香农定义的“熵”又被称为“香农熵”或“信息熵”,即

其中 i 标记概率空间中所有可能的样本,pi 表示该样本的出现几率,K是和单位选取相关的任意常数。
(3)上述公式中,如果i有32个取值范围,假设其中,p1,p2 , ...,p32 分别是这 32 个球队夺冠的概率。
S = -(p1*log(2,p1) + p2 * log(2,p2) + ... +p32 *log(2,p32))
注意:当所有样本等几率出现的情况下,熵达到最大值。
3、Sigmoid函数和二分类交叉熵
3.1 sigmoid函数
(1)sigmoid的函数如下图所示

(2)sigmoid函数的作用是将输出压缩于[0, 1]之间

3.2 二分类交叉熵
3.2.1 二分类的交叉熵
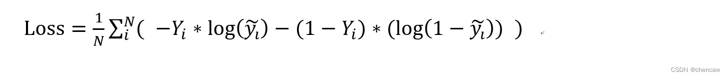
(1)假设一个神经网络对应着二分类的输出,注意由于不是0就是1,所以1个神经网络输出。

(2)上述网络对应N个样板的输入数据时,对应输出为[X1,X2,…,XN],该输出取值范围很广,什么数据都有可能。
(3)经过sigmod函数以后,输出的值从[X1,X2,…,XN] 变为 [S1,S2,…,SN]
(4)假设真实的类别为[Y1, Y2,…YN],注意Yi 不是1就是0,
(5)根据二分类交叉熵函数可以求得第i个输出的交叉熵如下所示:

其中: 对应上图中的神经网络;
不是1就是0,对应着真实标签;
的取值对应着sigmod函数的输出Si
(6)对所有N个数据的交叉熵求平均,就可得到该组数据的二分类交叉熵函数

3.2.1 二分类交叉熵的实现过程
参考了
(1)方法1: nn.BCELoss()函数,该函数不自带Sigmoid函数
import torch
import torch.nn as nn
model = nn.Sequential(
nn.Linear(10, 5),
nn.Linear(5, 1),
nn.Sigmoid()
)
criterion = nn.BCELoss()
x = torch.randn(16, 10) # (16, 10)
y = torch.empty(16).random_(2) # shape=(16, ) 其中每个元素值为0或1
out = model(x) # (16, 1)
out = out.squeeze(dim=-1) # (16, )
loss = criterion(out, y)
print(loss.item())
(2)方法二:nn.BCEWithLogitsLoss函数,该函数自带了Sigmoid函数
import torch
import torch.nn as nn
model = nn.Sequential(
nn.Linear(10, 5),
nn.Linear(5, 1),
)
criterion = nn.BCEWithLogitsLoss()
x = torch.randn(16, 10) # (16, 10)
y = torch.empty(16).random_(2) # shape=(16, ) 其中每个元素值为0或1
out = model(x) # (16, 1)
out = out.squeeze(dim=-1) # (16, )
loss = criterion(out, y)
print(loss.item())
4、softmax和多分类交叉熵
4.1多分类输出的神经网络
(1)比如:某神经网络的输出为3个分类,对应(狗,猫,鱼),简单的网络结构如下图所示

(2)神经网络的输出可能是怪怪的,什么数据都有;假设有2张图片输入,对应的神经网络输出如下:
类别(狗,猫,鱼)对应分类标签(0,1,2)
1) 假设第一张图片是类别猫,对应的输出为[-2, 0.6 ,1];
2) 假设第二张图片是类别狗,对应的输出为[0.5, 1.2 ,-1.5];
(3)这个时候怎么求他们的概率呢?
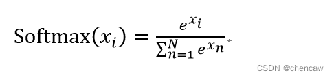
4.2 sofmax函数
softmax函数,又称归一化指数函数。它是二分类函数sigmoid在多分类上的推广,目的是将多分类的结果以概率的形式展现出来。
(1)其公式定义为:

(2)原理:
- 1)通过自然对数换算所有的输出(PS:这样就没有负数了);
- 2)所有换算过的输出累加;
- 3)每个输出/所有输出的和,换算成0--1之间分布的概率;
- 4)而后所有输出概率的概率和为1。
4.3 多分类交叉熵损失函数
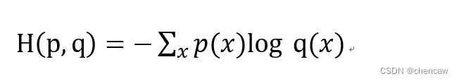
(1)每一个具体类别物体的交叉熵。给定两个概率分布p和q,通过q来表示p的交叉熵为

交叉熵刻画的是两个概率分布之间的距离, p代表正确答案, q代表的是预测值,交叉熵越小,两个概率的分布约接近。
(2)多分类总共交叉熵函数的定义如下(PS:没什么就是上面每个分类的交叉熵求一下和):

其中: 𝒚𝒊为标签值, 𝑦𝑖′ 为预值测
𝑦𝑖′ 就是softmax的输出
(2)独热编码
备注:类别(狗,猫,鱼)对应分类标签(0,1,2);
𝒚𝒊标签取值注意:
狗的时候对应独热编码[1 0 0];
猫的时候对应独热编码[0 1 0];
鱼的时候对应独热编码[0 0 1]
4.4 对应上面神经网络图的计算交叉熵例子
(1)有2张图片输入,对应的神经网络输出如下:
类别(狗,猫,鱼)对应分类标签(0,1,2),对应独热编码[1 0 0]、[0 1 0]和[0 0 1]
1) 假设第一张图片是类别猫,对应的输出为[-2, 0.6 ,1];
2) 假设第二张图片是类别狗,对应的输出为[0.5, 1.2 ,-1.5];
(2)经过softmax计算后数值为(测试代码chenlosstest2.py):
import torch
import torch.nn as nn
#输出类别(狗,猫,鱼)对应分类标签(0,1,2)
output = torch.FloatTensor([[-2, 0.6, 1],[0.5, 1.2, -1.5]])
Softmax = nn.Softmax(dim=1) #沿dim的每个切片和为1
s_output = Softmax(output)
print(s_output)
输出数值为:
tensor([[0.0289, 0.3897, 0.5814],
[0.3176, 0.6395, 0.0430]])
(3)具体每一个类的交叉熵计算过程如下:

第一张图片是猫,所以L1:
L1 = H( (0,1,0),(0.0289, 0.3897, 0.5814) ) = -log(0.3897) = 0.9424
第二张图片是狗,所以L2:
L2 = H( (1,0,0),(0.3176, 0.6395, 0.0430) ) = -log(0.3176) = 1.1470
(4)所以多分类的整体交叉熵损失为:
Loss = L1 + L2 = 2.0894
(5)测试代码实现chenlosstest3.py,
方法一,使用函数NLLLoss函数,该函数不自带softmax和log功能
方法二,使用函数CrossEntropyLoss函数,该函数自带了softmax和log功能
import torch
import torch.nn as nn
#输出类别(狗,猫,鱼)对应分类标签(0,1,2)
output = torch.FloatTensor([[-2, 0.6, 1],[0.5, 1.2, -1.5]])
# Softmax = nn.Softmax(dim=1) #沿dim的每个切片和为1
# s_output = Softmax(output)
# print(s_output)
#target是真实的标签纸,这里对应类别(狗,猫,鱼)对应分类标签(0,1,2)
#至于独热编码计算,函数会搞定的
target = torch.tensor([1,0])
#方法一
NLLLoss = nn.NLLLoss() #不带softmax和log
NLL_out = torch.log(torch.softmax(output, dim=-1))
loss_NLL_output = NLLLoss(NLL_out,target)
print("方法一: ",loss_NLL_output)
#方法二
loss_function = nn.CrossEntropyLoss() #自带softmax和log
loss_cross_output = loss_function(output,target)
print("方法二: ",loss_cross_output)
# nllloss = nn.NLLLoss()
# predict = torch.Tensor([[2, 3, 1],
# [3, 7, 9]])
# predict = torch.log(torch.softmax(predict, dim=-1))
# label = torch.tensor([1, 2])
# nllloss_out = nllloss(predict, label)
# print(nllloss_out)
# cross_loss = nn.CrossEntropyLoss()
# predict = torch.Tensor([[2, 3, 1],
# [3, 7, 9]])
# label = torch.tensor([1, 2])
# cross_loss_out = cross_loss(predict, label)
# print(cross_loss_out)
# # output: tensor(0.2684)
tensor(1.0447)
注意:nn.CrossEntropyLoss计算的是model输出结果中多个样本的loss均值
也就是求了 .mean()
4、多分类和二分类的关系
二分类可以理解为多分类在n=2时候的特殊例子,标签不是0就是1,两个对象的概率和为1。
5、语义分割OhemCELoss 损失函数的实现
主要参考里的大佬真的讲的很细了,再应用一遍
https://www.jianshu.com/p/24376b18e5c7
bisenet中使用的 OhemCELoss比大佬的代码简单些,n_min参数由计算获得
5.1 OhemCELoss 的代码实现
(1)代码定义
class OhemCELoss(nn.Module):
def __init__(self, thresh, lb_ignore=255):
super(OhemCELoss, self).__init__()
self.thresh = -torch.log(torch.tensor(thresh, requires_grad=False, dtype=torch.float)).cuda()
# self.thresh = -torch.log(torch.tensor(thresh, requires_grad=False, dtype=torch.float))
self.lb_ignore = lb_ignore
self.criteria = nn.CrossEntropyLoss(ignore_index=lb_ignore, reduction='none')
def forward(self, logits, labels):
n_min = labels[labels != self.lb_ignore].numel() // 16
loss = self.criteria(logits, labels).view(-1)
loss_hard = loss[loss > self.thresh]
if loss_hard.numel() < n_min:
loss_hard, _ = loss.topk(n_min)
return torch.mean(loss_hard)
(2)调用的例子
criteria_pre = OhemCELoss(0.7, lb_ignore)
5.2 具体细节
(1)定义了阈值
self.thresh = -torch.log(torch.tensor(thresh, requires_grad=False, dtype=torch.float)).cuda()
(1)其中
thresh表示的是,损失函数大于多少的时候,会被用来做反向传播。需要注意一点,参数thresh是概率,即 小于这个概率的预测值会参与计算损失。(2)log操作将概率转化为其对应的 loss 。
(2)计算获得n_min参数值,像素点的个数整除16向下取整。
python中“//”是一个算术运算符,表示整数除法,它可以返回商的整数部分(向下取整)。
numel()函数:返回数组中元素的个数
n_min = labels[labels != self.lb_ignore].numel() // 16
n_min表示的是,在一个 batch 中,最少需要考虑多少个样本。
(3) 交叉熵函数的定义
self.criteria = nn.CrossEntropyLoss(ignore_index=lb_ignore, reduction='none')
(1)代码中的
logits维度为 [N, C, H, W],labels维度为[N, H, W] 。上面的函数设置 reduction 为 none,保留每个元素的损失,返回的维度为N,H,W(2)C维度的丢失,看多分类交叉熵的计算过程,相当于多个输出对应某标签
(4)逐个元素计算交叉熵损失
loss = self.criteria(logits, labels).view(-1)
将预测的损失拉平为一个长向量,每个元素为一个 pixel 的损失。
(5) 将长向量中每个 pixel 的损失按从大到小排序
loss = self.criteria(logits, labels).view(-1)
(6) 获取实际计算所得的所有大于该阈值的元素的交叉熵损失值
loss_hard = loss[loss > self.thresh]
(7)如果上式得到个数不够
if loss_hard.numel() < n_min:
因为我们最少也要考虑
n_min个损失最大的 pixel
if loss_hard.numel() < n_min:
loss_hard, _ = loss.topk(n_min)
本文详细介绍了熵的概念及其在信息论中的应用,接着探讨了Sigmoid函数和二分类交叉熵,包括它们的定义、计算过程和PyTorch中的实现。随后讲解了softmax函数、多分类交叉熵及其在多分类问题中的应用。重点讨论了语义分割中的OhemCELoss损失函数,包括其实现细节和与二分类、多分类交叉熵的关系。
2775

被折叠的 条评论
为什么被折叠?



