Irradiance vs Radiance
从能量接收的角度来讲 :Irradiance 描述的是一个dA接收上所有能量,radiance描述的是从某一个方向来的能量
从发射能量的角度来讲:Irradiance 描述的是一个dA向外发散的所有能量,radiance描述的是一个dA从某一个方向发射的能量

BRDF
BRDF双向反射分布函数.描述光线(能量)对于一个微小面积dA从某个方向过来的irradiance,出射到某一个方向的radiance。

描述从某一个方向进来的能量,出射到四面八方的(某一个方向)的能量分布,其实BRDF可以理解对物体材质的描述。

Recursive Equation
The Reflection Equation
一个dA吸收四面八方的能量,出射到某个w方向的能量。其实就是对dA收到的所有Radiance在H上的积分,出射到某个方向的能量。

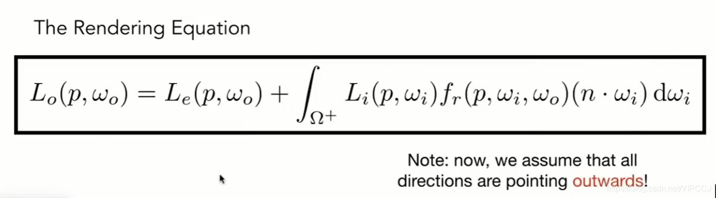
Rendering Equation
在物理世界中,一个着色点(点或者dA)的颜色是什么样子的,或者说是如何渲染的。
颜色=自发光 + 接收到四八方的Radiance后通过BRDF函数打出后的颜色叠加

Rendering Equation 推导
step1: 一个着色点的颜色 = 自发光(物体本身发放) + 各个方向(对半球积分积分)过来的Radiance经果BRDF后反射到某个方向的颜色叠加

step2:写成矩阵的形式

step3:解出结果

以下结果解释为:
L(某一个着色点的颜色) = 光线一次弹射对该点的着色 + 光线二次弹射该点的着色 + 光线三次弹射该点的着色 + 光线三次弹射该点的着色+…

截图和公式来源闫令琪老师games101课程
感谢闫令琪老师为我们带来这么精彩的图形学课程

本文探讨了irradiance和radiance的区别,着重讲解了BRDF的概念,以及它们在反射方程和渲染方程中的作用。作者引用了闫令琪老师的教程,详细阐述了光线反射过程中的能量传递和材质描述。
956

被折叠的 条评论
为什么被折叠?



