关于泰勒级数的一些理解
对于泰勒级数,其实大部分时候都不是很了解它其中的含义,怎么来的,其实大部分人都不是很清楚。(包括作者 )
泰勒级数最多应用其实在计算机科学上,因为对于很多函数,我们不可能直接带值求解,比如
f
(
x
)
=
e
x
f(x)=e^x
f(x)=ex,比如我带个2进去,你最多只能求得它的近似值,而且计算量还很大,而且还不是很精确,那么有人就想了,能不能用一个近似的函数,或者换句话说尽可能的去逼近这个函数的一个带有x的多项式呢,因为这样的话,比如说一个多项式
f
(
x
)
=
x
+
x
2
+
x
3
f(x)=x+x^2+x^3
f(x)=x+x2+x3你带一个2进去就可以算得一个比较精确的值14对吧。怎么去逼近呢。
先把公式摆出来再解释。
f ( x ) = ∑ i = 0 ∞ f ′ ( i ) ( x 0 ) ( x − x 0 ) i i ! f(x)=\sum_{i=0}^{\infty }\frac{{f'^{(i)}(x_0)(x-x_0)^i}}{i!} f(x)=i=0∑∞i!f′(i)(x0)(x−x0)i
我们先对分子着部分进行解释,可以看到这里是关于高阶求导的一个式子,其实我们可以看到,当i等于0的时候,式子就变成了 f ( x 0 ) f(x_0) f(x0),也就是可以这么理解,这个函数其实是从原函数 x 0 x_0 x0时开始逼近,,那么我们就以 x 0 x_0 x0为起点看一看怎么逼近的,首先我们得设一个 Δ x \Delta x Δx,这个 Δ x → 0 \Delta x \rightarrow 0 Δx→0那么我们就可以通过导函数算出来 f ( x 0 + Δ x ) = f ′ ( x 0 ) ∗ ( Δ x ) + f ( x 0 ) f(x_0+\Delta x)=f'(x_0)*(\Delta x)+f(x_0) f(x0+Δx)=f′(x0)∗(Δx)+f(x0)因为 Δ x → 0 \Delta x \rightarrow 0 Δx→0,根据 ε − δ \varepsilon-\delta ε−δ极限的定义,这一等式显然成立,那么实际上知道了 f ( x + Δ x ) f(x+\Delta x) f(x+Δx)那么实际上也可以通过同样的道理求出 f ( x + 2 Δ x ) f(x+2\Delta x) f(x+2Δx),然后自己尝试着只用 x 0 和 x x_0和x x0和x进行表示,那么我们就可以得到上面分子的部分,但这里会存在误差,这也是接下来要讲的。
观察这个公式,我们可以看到,当这个式子展开的时候,其实这个式子正走向越来越高阶的导数函数(趋向于高阶无穷小),(不太严谨的说法),这其实稍微理解一下也可以知道,对于一个有规律的函数,就例如幂函数, s i n x , c o s x sinx,cosx sinx,cosx其实都可以表达成类似这样的形式。
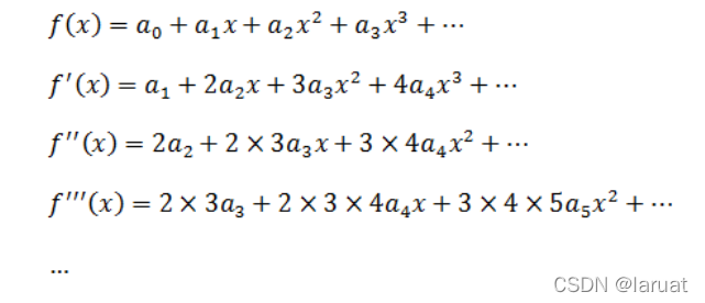
f ( x ) = a 0 + a 1 x + a 2 x 2 + a 3 x 3 + . . . + a N x N f(x)=a_0+a_1x+a_2x^2+a_3x^3+...+a_Nx^N f(x)=a0+a1x+a2x2+a3x3+...+aNxN
那我们对于这个函数进行一个求导。
进行连续的几次求导
关于高阶求导,可以用莱布尼茨法则
( u v ) n = C n 0 u n v 0 + C n 1 u n − 1 v 1 + . . . + C n n u 0 v n (uv)^{n}=\textrm{C}_{n}^{0}u^nv^0+\textrm{C}_{n}^{1}u^{n-1}v^1+...+\textrm{C}_{n}^{n}u^0v^n (uv)n=Cn0unv0+Cn1un−1v1+...+Cnnu0vn
u,v可以为多项式,也可以为函数。

图片来源(戳这里)
可以发现和原函数相比是不是多出了 i ! i! i!这个数,那么我们就要除去。
那这不就可以高高兴兴的去求 f ( x ) = e x f(x)=e^x f(x)=ex
很明显这个无论是几阶导数都不就是 f ′ n = e x f'^{n}=e^x f′n=ex
然后让上式的 x 0 = 0 x_0=0 x0=0,把泰勒公式往里套,那不就是
f ( x ) = ∑ i = 0 ∞ x i i ! f(x)=\sum_{i=0}^{\infty }\frac{x^i}{i!} f(x)=i=0∑∞i!xi
展开后的式子大家就很熟悉了。
f ( x ) = 1 + x + x 2 2 ! + x 3 3 ! . . . + x N N ! f(x)=1+x+\frac{x^2}{2!}+\frac{x^3}{3!}...+\frac{x^N}{N!} f(x)=1+x+2!x2+3!x3...+N!xN

这里可以看到是从x=0开始逼近的(理论上,看到图片我也尴尬了)。很明显(bushi)
泰勒级数通常用于计算机科学中,作为复杂函数的近似方法。通过将函数表示为无限项多项式,可以简化计算,尤其是在处理如e^x这样的函数时。文章介绍了泰勒级数的概念,解释了如何从原函数利用导数逼近多项式,并通过求导和莱布尼茨法则展示如何应用泰勒公式。最后,展示了泰勒级数展开式在逼近函数时的结构。
3万+

被折叠的 条评论
为什么被折叠?



