在多元回归分析中,自变量之间存在的高度相关性被称为多重共线性。这一问题会导致模型估计不稳定、系数符号异常、显著性检验失真等严重后果。本文将系统阐述多重共线性的诊断方法与处理策略,并结合实际案例展示完整分析流程。
一、多重共线性的本质与影响
多重共线性可分为完全共线性与近似共线性两种类型。完全共线性指自变量间存在精确的线性关系,使得模型无法求解;近似共线性则是更为常见的状况,表现为自变量间高度相关但非完全线性相关。
多重共线性的主要影响体现在:
- 参数估计值方差增大,估计精度下降
- 系数对样本数据微小变化敏感,模型稳定性差
- t检验容易不显著,可能遗漏重要变量
- 系数符号可能与理论预期相反,难以解释
二、多重共线性的诊断方法体系
规范的多重共线性诊断应当结合多种方法,形成完整的判断体系。其系统化诊断流程如下图所示:

该流程体现了从简单到复杂的递进诊断思路,首先通过相关系数矩阵初步筛查,进而利用方差膨胀因子(VIF)等指标精确量化共线性程度,最终形成综合判断。
1. 简单相关系数矩阵法
计算所有自变量间的Pearson相关系数矩阵,通常认为:
- |r| < 0.3:低度相关
- 0.3 ≤ |r| < 0.8:中度相关
- |r| ≥ 0.8:高度相关,可能存在共线性问题
示例分析:
在一项教育投入对升学率影响的研究中,相关系数矩阵显示:
- 人均教学设备与人均图书的相关系数达0.977
- 人均教学面积与人均教学设备的相关系数为0.933
- 师生比与人均教学面积的相关系数为0.869
这些高度相关的变量对提示存在严重的多重共线性问题。
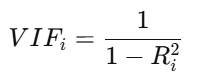
2. 方差膨胀因子(VIF)与容忍度
VIF是诊断多重共线性的核心指标,计算公式为:

判断标准:
- VIF < 5:共线性不严重
- 5 ≤ VIF < 10:中度共线性
- VIF ≥ 10:严重共线性
容忍度(Tolerance)是VIF的倒数,判断标准为:
- 容忍度 > 0.2:共线性不严重
- 0.1 < 容忍度 ≤ 0.2:中度共线性
- 容忍度 ≤ 0.1:严重共线性
在实际分析中,使用专业工具可以高效完成上述诊断。以SPSSAU为例,其单独提供的【共线性分析】功能能够一键输出所有自变量的VIF值和容忍度,同时提供相关系数矩阵的热力图展示,极大简化了诊断过程。
三、多重共线性的处理方法
当确认存在严重多重共线性时,可采取以下处理策略:

1. 剔除变量法
这是最直接的方法,但需要谨慎操作,避免误删重要变量。
具体实施步骤:
- 计算所有变量的VIF值,从VIF值最大的变量开始考虑剔除
- 每次只剔除一个变量,然后重新计算剩余变量的VIF值
- 结合理论重要性进行判断,优先剔除:
- 理论意义相对次要的变量
- 与其他多个变量高度相关的变量
- 测量精度较低或数据质量较差的变量
注意事项:
- 需要平衡统计指标与理论意义
- 建议记录每次剔除后的模型变化,包括R²、调整R²、AIC等指标的变化
- 最终模型应同时满足统计要求与理论合理性
2. 逐步回归法
通过统计准则自动筛选变量,是较为客观的变量选择方法。
三种主要形式:
- 前向选择:从空模型开始,逐步加入显著性最强的变量
- 后向剔除:从全模型开始,逐步剔除最不显著的变量
- 逐步回归:结合前两种方法,每加入一个新变量后,重新检验已有变量的显著性
判断标准:
- 基于F统计量的显著性水平(通常进入标准p<0.05,剔除标准p>0.10)
- 基于信息准则(AIC、BIC)的最小化原则
优势与局限:
- 优点:自动化程度高,结果相对客观
- 缺点:可能过度依赖统计显著性,忽略理论重要性
- 在SPSSAU中,可以通过勾选相应选项轻松实现逐步回归
3. 主成分回归
通过变量变换彻底消除共线性问题。
实施步骤:
- 主成分提取:对原始自变量进行主成分分析,提取特征值大于1的主成分
- 成分选择:选择累计方差贡献率达到85%以上的主成分
- 建立回归:以主成分得分为新自变量,建立与因变量的回归模型
- 结果回代:将主成分系数转换回原始变量的系数
优点:
- 完全消除共线性
- 保留绝大部分原始信息
- 适合变量众多且相关性复杂的场景
缺点:
- 结果解释困难,主成分的实际意义不明确
- 转换过程可能丢失部分专业意义
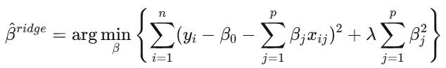
4. 岭回归
通过引入偏误来换取方差的减小,是处理共线性的有效方法。
原理:在最小二乘估计的基础上加入L2正则化项:

关键技术要点:
- 岭参数选择:通过岭迹图选择稳定的参数估计
- 观察各系数随k值变化的轨迹
- 选择系数开始趋于稳定的k值
- 标准化处理:实施岭回归前必须对变量进行标准化
- 交叉验证:使用交叉验证误差最小化原则选择最优岭参数
SPSSAU实现:在【进阶方法】中选择【岭回归】,系统会自动输出不同k值下的系数估计和岭迹图。
5. 偏最小二乘回归
结合主成分分析与多元回归的优点。
特点:
- 同时考虑自变量和因变量的信息
- 特别适合样本量小、变量多的情况
- 通过提取综合变量最大限度地解释因变量的变异
6. 增大样本量
从根本上改善共线性问题的方法。
作用机制:
- 增大样本量可以减小参数估计的方差
- 改善数据矩阵的条件数
- 提供更稳定的估计结果
实践建议:
- 样本量应该是自变量个数的10-20倍以上
- 如果无法增加样本量,考虑减少变量个数
7. 其他创新方法
变量组合:
- 将高度相关的变量组合成综合指标
- 例如:将多个财务指标合并为财务健康指数
有偏估计方法:
- Lasso回归:通过L1正则化同时进行变量选择和参数估计
- 弹性网回归:结合岭回归和Lasso回归的优点
处理效果评估
无论采用哪种方法,都需要对处理效果进行评估:
- 共线性诊断:处理后的VIF值应小于10,理想情况下小于5
- 模型拟合优度:调整R²不应显著下降
- 系数稳定性:不同子样本或不同方法下系数估计应相对稳定
- 预测能力:模型在测试集上的预测精度应保持合理水平
通过系统性地应用这些方法,研究者可以根据具体研究场景选择最适合的处理策略,确保多元回归分析结果的可靠性和有效性。
2967

被折叠的 条评论
为什么被折叠?



