一、引言:为什么需要测量“效率”?
在经济学、管理学和诸多社会科学领域,我们常常需要评估一个组织(如企业、医院、学校等)的绩效。一个核心的问题是:在给定的资源投入(如劳动力、资本)下,这个组织是否达到了它理论上最大可能的产出?这个“最大可能”与“实际观测”之间的差距,就是效率的体现。
然而,传统的回归方法(如OLS)只能估计平均意义上的投入产出关系,它拟合的是一条“平均生产函数”。这意味着,它默认所有决策单元都处于平均水平,忽略了那些表现卓越或表现不佳的个体。更重要的是,它将所有偏离回归线的部分都归咎于“随机误差”,无法区分这是运气不好(随机冲击)还是自身能力不足(技术无效率)。
为了解决这一问题,随机前沿分析(Stochastic Frontier Analysis, SFA) 应运而生。SFA由Aigner, Lovell & Schmidt (1977) 以及 Meeusen & van den Broeck (1977) 分别独立提出,它巧妙地构建了一个包含两种误差项的模型,从而能够将“技术无效率”从纯粹的“随机噪声”中分离出来,实现对个体技术效率的精准测量。
随着计算方法的发展,像SPSSAU这样的在线统计分析平台,已将复杂的SFA模型封装为易于操作的模块,使研究者无需编程也能进行专业的效率评估。本文将系统梳理SFA的理论基础、核心概念与解读流程,并以SPSSAU的输出逻辑为例,为大家提供一份从理论到实践的全方位指南。
二、SFA核心思想与基本流程
随机前沿分析的核心在于其模型的复合误差项。与传统模型只有一个随机误差项不同,SFA的模型设定如下:
产出 = f(投入) + 随机误差项 (v) - 技术无效率项 (u)
其中:
- f(投入) 是生产函数或成本函数,定义了理论的“前沿面”。
- 随机误差项 (v):代表各种随机因素,如运气、天气、测量误差等,服从对称的正态分布,可正可负。
- 技术无效率项 (u):代表由于管理不善、技术落后等因素导致的效率损失,它是一个非负的随机变量,通常服从半正态分布或截断正态分布。正是这个“-u”确保了实际观测值只能位于前沿面之下(对于生产函数)或之上(对于成本函数)。
下图清晰地展示了一个完整的SFA分析流程:

该流程始于清晰的理论框架构建,终于对效率值的深入解读。在整个过程中,SPSSAU提供了从数据准备、模型估计到结果输出的“一站式”解决方案,极大简化了研究者的工作。
三、模型设定:函数形式与估计方法
3.1 生产函数与成本函数
SFA模型首先需要确定函数形式,这取决于研究目标:
- 生产函数(Production Function):研究在给定投入下,如何实现产出最大化。这是最常用的形式,适用于衡量企业的生产能力。此时,技术无效率使得实际产出低于最大可能产出。
- 成本函数(Cost Function):研究在给定产出下,如何实现成本最小化。适用于衡量银行、医院等机构的成本控制能力。此时,技术无效率使得实际成本高于最小可能成本。
在SPSSAU中,用户可以根据研究目的直接选择相应的函数类型。
3.2 数据取对数处理
在实证分析中,为了满足模型线性化和缓解异方差性的要求,通常会对投入和产出数据取自然对数。取对数后的线性生产函数(如C-D生产函数)形式为:

此时,回归系数 ββ 可以解释为产出弹性,即投入增加1%所带来的产出百分比变化。SPSSAU默认提供X和Y均取对数的选项,并能自动处理原始数据中非正数的情况,进行非负平移,确保了分析的可行性。
3.3 估计方法
SFA模型通常采用条件均值法。SPSSAU提供了多种估计方法选项,如条件均值法、均方误差最小化法、条件众数法。对于大多数应用而言,默认的估计方法已能提供稳健的结果,研究者也可以尝试不同方法以对比模型的稳定性。SPSSAU操作示例如下:

四、模型检验:从整体有效性到参数意义
4.1 似然比检验(Likelihood Ratio Test)
在模型估计后,首要问题是判断模型是否有效。这通过似然比检验(LRT) 来完成。该检验的原假设(H₀)是:“仅包含截距项的模型”与“包含所有投入变量的完整模型”没有显著差异。

- 检验统计量:LR统计量 = -2 × [仅截距模型的对数似然值 - 完整模型的对数似然值],它近似服从卡方分布。
- 如何判断:如果检验的*p*值小于0.05,则拒绝原假设,表明引入的投入变量共同对产出有显著解释力,模型构建是有效的。
- 信息准则:AIC(赤池信息准则)和BIC(贝叶斯信息准则)用于模型比较,其值越小表示模型拟合越好且更简洁。在进行不同模型设定(如改变函数形式或分布假设)时,这两个指标是重要的评判依据。
4.2 参数估计与解读
参数估计表是SFA分析的核心输出,它提供了以下关键信息:

- 常数项:代表了所有投入取值为0(取对数后则为1单位)时,产出的“基准”对数水平,其经济学意义取决于具体的函数形式。
- 投入变量的回归系数:反映了各投入对产出的边际贡献。与OLS回归类似,我们关注其系数符号、大小和显著性(*p*值)。显著的系数意味着该投入对产出有稳定的影响。
- Lambda (λ) 参数:这是SFA模型特有的、至关重要的一个参数。其定义为λ=σu/σv,即技术无效率项的标准差与随机误差项标准差的比值。
- λ的显著性:如果λ的*p*值显著(如<0.05),则说明模型中确实存在不可忽略的技术无效率。如果不显著,则意味着技术无效率项不重要,使用SFA模型可能没有必要,传统的OLS或许更合适。
- λ的大小:λ值越大,表明技术无效率项(σ_u)相对于随机误差项(σ_v)在总体误差中占主导地位。换言之,产出与前沿面的差距主要源于管理、技术等内在因素,而非随机运气。
五、方差参数与技术效率(TE)
5.1 方差分解

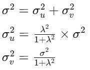
SFA模型将总误差方差(σ²)分解为两个独立的部分:

- σ²:总误差方差,衡量了观测值与前沿面预测值的总离散程度。
- σ_u²:技术无效率方差,反映了不同决策单元之间效率差异的波动情况。该值越大,说明各单位效率水平参差不齐。
- σ_v²:随机误差方差,反映了外部随机冲击的波动大小。
5.2 技术效率(Technical Efficiency, TE)的计算与解读
SFA的最终目标之一是计算每个决策单元(如每家企业)的技术效率值。

- 定义:技术效率(TE)是指在给定投入组合下,实际产出与随机前沿面上最大可能产出的比率。即

- 取值范围:TE值严格介于0和1之间。
- TE = 1:表示该单元处于效率前沿,是完全有效率的。
- TE < 1:表示存在技术无效率。例如,TE=0.8意味着该企业只达到了在同样投入和运气下最优企业产出的80%,有20%的产出潜力因技术无效率而损失。
- 排名与应用:研究者可以根据TE值对所有决策单元进行排名,识别出效率标杆和效率低下的单元,为资源分配和管理改进提供定量依据。
在SPSSAU的分析结果中,会提供一个详尽的技术效率值表格,包含每个样本的TE值及其排名,并给出描述性统计(平均值、中位数、最小值、最大值、标准差),方便研究者从整体上把握样本的效率分布情况。
六、SPSSAU在SFA分析中的实践优势
SPSSAU的随机前沿分析(SFA)模块,将上述复杂的理论模型和计算过程封装成一个用户友好的界面操作,其优势体现在:
- 流程化引导:从变量设置、函数选择到结果输出,逻辑清晰,步步为营。
- 自动化处理:自动完成对数变换、模型估计、似然比检验、效率值计算等所有计算步骤。
- 全面结果输出:提供从基本参数、模型检验、参数估计、方差分解到技术效率排名的完整报告链。
- 可视化与数据导出:支持将技术效率等结果保存至数据平台,便于后续深入分析和可视化呈现。
这使得研究人员,即使是那些不精通极大似然估计编程的学者,也能够轻松、准确地进行前沿的效率分析研究。
七、结论
随机前沿分析(SFA)为我们打开了一扇精确测量效率的大门。它通过独特的复合误差项设定,成功地将随机冲击与技术无效率分离开来,提供了比传统方法更丰富、更深刻的洞察。理解和正确解读SFA的各个环节——从模型设定、似然比检验、参数估计(特别是Lambda值)到最终的技术效率值——是得出可靠研究结论的关键。
通过像SPSSAU这样的现代化统计工具,SFA这一强大而复杂的方法论得以“飞入寻常百姓家”,极大地促进了效率评估研究在各类领域的应用和普及。掌握SFA,意味着你掌握了一把评估组织绩效、挖掘改进潜力的金钥匙。
SFA效率测算:SPSSAU实战指南
404

被折叠的 条评论
为什么被折叠?



