在处理重要性排序题并计算权重时,熵值法是一种常用的方法。以下是详细的步骤和操作指南,帮助你在SPSSAU(在线SPSS)中完成这一过程。
1. 数据准备
首先,确保你的数据已经准备好,并且每个题项的数据都是定量数据。如果数据中有缺失值,需要先进行处理。
2. 数据标准化
由于熵值法对数据的量纲敏感,通常需要对原始数据进行无量纲化处理。常用的方法有极差标准化。
- 正向指标正向化处理:

- 负向指标逆向化处理:

在SPSSAU(网页SPSS)中,你可以通过“数据处理” -> “生成变量”功能进行无量纲化处理。
3. 非负平移
如果数据中存在负值,需要进行非负平移处理:![]()
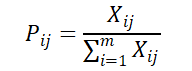
4. 计算比例
计算每个样本在每个指标上的比例:
其中,m 是样本数量。
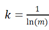
5. 计算熵值
计算每个指标的熵值:
其中,
6. 计算冗余度
计算每个指标的冗余度:![]()
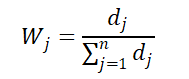
7. 计算权重
计算每个指标的权重:
其中,n 是指标的数量。
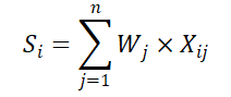
8. 综合得分
基于权重计算每个样本的综合得分:
9. 结果解读
- 权重系数:反映每个指标在评价体系中的相对重要性。
- 综合得分:用于综合评价每个样本的表现。
10. 在SPSSAU中的操作步骤
- 登录SPSSAU(在线SPSS)平台。
- 上传或导入你的数据。
- 选择“熵值法”分析模块。
- 将需要分析的题项拖入分析框中。
- 点击“开始分析”按钮,系统将自动完成上述计算步骤。
- 查看并下载分析结果,包括权重系数和综合得分。
注意事项
- 熵值法计算的权重反映的是指标提供信息量的多寡,而非实际意义上的重要性。
- 在使用熵值法时,结论解释和分析应谨慎,避免误解。
944

被折叠的 条评论
为什么被折叠?



