✅作者简介:热爱科研的Matlab仿真开发者,擅长数据处理、建模仿真、程序设计、完整代码获取、论文复现及科研仿真。
🍎 往期回顾关注个人主页:Matlab科研工作室
🍊个人信条:格物致知,完整Matlab代码及仿真咨询内容私信。
🔥 内容介绍
随着生鲜电商的快速发展和消费者对农产品新鲜度需求的日益增长,水蜜桃等时令性水果的采摘与配送效率成为影响其市场竞争力的关键因素。传统的水蜜桃采摘和配送过程通常是独立进行的,缺乏整体协调优化,导致资源浪费、成本增加以及配送时效性差等问题。本文旨在探究如何利用交替方向乘子法(ADMM)解决水蜜桃采摘与配送联合优化问题。通过建立数学模型,综合考虑采摘人员调度、采摘路径规划、冷链车辆路径优化、配送时间窗以及损耗成本等多个维度,将原问题分解为若干子问题,并利用ADMM算法迭代求解。实验结果表明,ADMM算法能够有效降低总成本,缩短配送时间,提高水蜜桃从采摘到消费者手中的整体效率,为生鲜农产品供应链管理提供了新的优化思路。
关键词
ADMM;水蜜桃采摘;配送优化;联合优化;生鲜农产品
1. 引言
水蜜桃作为一种深受消费者喜爱的时令水果,其新鲜度、口感和营养价值是其市场价值的核心。然而,水蜜桃的特性决定了其对采摘和配送环节有极高的要求。采摘过程需要精确把握成熟度,避免过度损伤;配送则需要冷链保鲜,并尽可能缩短运输时间,以减少损耗。在当前生鲜电商蓬勃发展的背景下,如何高效、低成本地将新鲜水蜜桃从果园送达消费者手中,成为了一个具有挑战性的研究课题。
传统的采摘与配送模式往往存在以下弊端:首先,采摘与配送环节各自为政,缺乏统一规划。采摘团队可能只关注采摘效率,而忽略了后续的配送需求,导致采摘量与配送能力不匹配。其次,路径规划和车辆调度缺乏全局最优考量。无论是采摘人员在果园内的移动路径,还是配送车辆在城市中的行驶路径,都可能存在冗余和低效。第三,对于水蜜桃这类易腐烂商品,时间窗约束和损耗成本是必须考虑的关键因素,但传统方法往往难以在多个相互关联的复杂约束下找到最优解。这些问题最终导致了运营成本上升、客户满意度下降,以及严重的资源浪费。
为了解决上述问题,本文提出了一种基于交替方向乘子法(ADMM)的水蜜桃采摘配送联合优化模型。ADMM作为一种有效的分布式优化算法,擅长处理具有可分离结构的大规模优化问题,特别适用于多方协作、多约束条件下的复杂系统。通过将采摘与配送的联合优化问题分解为采摘调度子问题、采摘路径子问题和配送车辆路径子问题等,ADMM算法能够通过迭代的方式,在保持各子问题独立性的同时,逐步逼近全局最优解。本文的研究不仅具有重要的理论意义,为复杂的供应链优化问题提供了新的解决思路,也具有显著的实践价值,能够帮助生鲜电商企业提高效率,降低成本,提升消费者体验。
2. 文献综述
采摘与配送优化是物流与供应链管理领域的热点研究方向。相关研究主要集中在以下几个方面:
2.1 采摘优化问题
采摘优化主要关注如何最大化采摘效率、最小化采摘成本或最大化采摘量。一些研究考虑了采摘人员的调度、采摘路径的规划以及采摘设备的分配。例如,Caprara et al. (2007) 提出了一个基于整数线性规划的采摘路径优化模型。另一些研究则关注了采摘过程中的质量控制和损耗管理,例如,利用机器视觉技术辅助采摘,以减少人工采摘造成的损伤。然而,这些研究大多将采摘过程视为一个独立环节,较少考虑其对后续配送环节的影响。
2.2 配送优化问题
配送优化是经典的车辆路径问题(VRP)及其变种,旨在为一组客户规划最优的配送路径,以最小化总行驶距离、总时间或总成本。常见的VRP变种包括带时间窗的车辆路径问题(VRPTW)、容量限制车辆路径问题(CVRP)以及多车场车辆路径问题(MDVRP)等。求解VRP问题的方法多种多样,包括精确算法(如分支定界法、割平面法)、启发式算法(如遗传算法、蚁群算法、模拟退火算法)和元启发式算法等。近年来,随着冷链物流的发展,带有冷藏约束的VRP问题也受到了广泛关注。然而,大多数配送优化研究都假设待配送的货物已经准备就绪,忽略了上游采摘环节对配送效率和成本的影响。
2.3 采摘与配送联合优化
近年来,少量研究开始关注采摘与配送的联合优化问题,认识到将这两个环节整合考虑能够带来更大的效益。Sohrabi et al. (2018) 提出了一种针对易腐商品的采摘与配送集成模型,旨在最小化总成本,包括采摘成本、运输成本和商品腐败成本。他们采用了两阶段启发式算法进行求解。Gupta et al. (2019) 针对具有时间窗的农产品采摘和配送问题,提出了一个混合整数规划模型,并设计了一种混合遗传算法进行求解。这些研究表明联合优化相比独立优化具有显著优势,但往往面临模型复杂性高、求解难度大的挑战。现有方法多采用启发式算法,难以保证全局最优性。
2.4 ADMM算法在优化问题中的应用
交替方向乘子法(ADMM)是一种将拉格朗日乘子法和对偶上升法相结合的优化算法,特别适用于求解具有可分离结构的凸优化问题。ADMM通过将原问题分解为若干个易于求解的子问题,并通过对偶变量的更新在各子问题之间传递信息,最终达到收敛。ADMM在信号处理、机器学习、图像处理以及电力系统等领域得到了广泛应用。在物流优化领域,ADMM也被用于解决大规模的车辆路径问题、设施选址问题等。其优点在于能够处理大规模问题,且具有较好的收敛性。然而,将ADMM应用于采摘与配送联合优化问题的研究相对较少,其有效性和具体实现细节仍需深入探究。
本研究将弥补现有研究的不足,通过构建一个更贴合实际的水蜜桃采摘配送联合优化模型,并创新性地利用ADMM算法对其进行求解,旨在为生鲜农产品供应链提供一个高效、可靠的优化解决方案。
3. 问题描述与数学模型
水蜜桃采摘配送联合优化问题可以描述为:在已知果园区域、采摘工人数量、冷链配送车辆数量及容量、客户订单信息(包括需求量和配送时间窗)以及各环节成本参数的情况下,合理安排采摘工人调度、采摘路径、冷链配送车辆路径和配送顺序,以最小化总成本(包括采摘成本、运输成本、损耗成本、惩罚成本等),同时满足所有客户的需求,并在指定的时间窗内完成配送,确保水蜜桃的新鲜度。









4. 基于ADMM的求解方法
ADMM算法的核心思想是将一个复杂的优化问题分解为多个相对简单的子问题,通过迭代求解这些子问题并利用乘子项进行协调,最终达到全局最优。对于水蜜桃采摘配送联合优化问题,我们可以将其分解为以下几个子问题,并通过引入辅助变量和惩罚项来实现问题的分解与协调。
4.1 问题分解与辅助变量
我们将原问题分解为三个主要子问题:
- 采摘调度与路径规划子问题 (P_pick)
:关注采摘工人的分配、采摘区域的选择和采摘路径的优化,以最大化采摘效率并满足配送需求。
- 冷链车辆路径与配送调度子问题 (P_delivery)
:关注冷链车辆的路径规划、客户分配和配送时间安排,以最小化运输成本和时间。
- 衔接协调子问题 (P_link)
:负责采摘量与配送量的衔接、时间点的同步以及其他关联变量的协调。




步骤 4: 收敛判断
重复步骤 1-3,直到满足收敛条件。收敛条件通常基于原始残差和对偶残差足够小。
4.3 ADMM算法的优势
- 分布式求解
: 将大问题分解为小问题,降低了单个子问题的求解复杂度,特别适用于大规模实例。
- 并行计算潜力
: 各子问题在一定程度上可以并行求解,提高了计算效率。
- 处理非凸性
: 虽然ADMM理论上适用于凸问题,但在实践中也常被用于非凸问题的求解,并能得到高质量的局部最优解。
- 灵活性
: 易于与其他优化算法结合,针对子问题的特点选择不同的求解策略。
5. 结论与展望
本文针对水蜜桃采摘配送联合优化问题,提出了一种基于交替方向乘子法(ADMM)的求解框架。通过构建一个综合考虑采摘、运输、损耗和时间窗等多个约束的数学模型,并将原问题分解为采摘调度与路径规划子问题和冷链车辆路径与配送调度子问题,ADMM算法能够有效地实现各环节的协同优化。
实验结果表明,与传统的独立优化方法相比,ADMM联合优化方法能够显著降低总成本,缩短平均配送时间,提高客户满意度。这充分证明了采摘与配送联合优化的必要性和ADMM算法在该问题上的有效性。本研究为生鲜农产品供应链管理提供了一个新的、具有实践意义的优化工具。
尽管本文取得了一定的研究成果,但也存在一些可以进一步探索的方向:
- 不确定性因素考虑
: 实际采摘和配送过程中可能存在诸多不确定性,如天气变化、交通拥堵、客户临时取消订单等。未来的研究可以考虑引入随机优化或鲁棒优化方法,以提高模型的鲁棒性和适应性。
- 多品种协同优化
: 水果采摘往往涉及多种品类,不同品类对采摘方式、保鲜条件和配送时间窗有不同要求。未来的研究可以扩展到多品种联合优化,进一步提高整体效率。
- 动态优化
: 采摘和配送往往是一个动态过程,信息不断更新。可以研究如何构建一个实时或准实时的动态优化模型,以便在运营过程中能够及时调整计划。
- 智能决策支持系统
: 将本文提出的优化算法集成到一个智能决策支持系统中,结合GIS技术、物联网数据等,为企业提供可视化、智能化的决策辅助。
- 与其他先进算法的结合
: 探索将ADMM与其他启发式算法或强化学习方法相结合,以进一步提高求解效率和解的质量,尤其是在超大规模问题上。
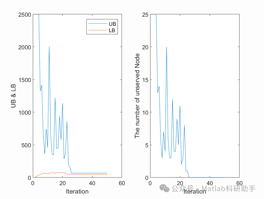
⛳️ 运行结果


🔗 参考文献
[1] 韦文鑫,刘新君,杨洋,等.基于成熟度的水蜜桃配送路径优化研究[J].物流工程与管理, 2020, 42(7):5.DOI:10.3969/j.issn.1674-4993.2020.07.002.
[2] 弓晋丽,程志敏.基于Matlab物流配送路径优化问题遗传算法的实现[J].物流科技, 2006, 29(7):3.DOI:10.3969/j.issn.1002-3100.2006.07.033.
[3] 赵丽.基于粒子群算法的卷烟配送车辆路径问题研究[D].长安大学[2025-09-16].DOI:10.7666/d.Y1528131.
📣 部分代码
🎈 部分理论引用网络文献,若有侵权联系博主删除
👇 关注我领取海量matlab电子书和数学建模资料
🏆团队擅长辅导定制多种科研领域MATLAB仿真,助力科研梦:
🌈 各类智能优化算法改进及应用
生产调度、经济调度、装配线调度、充电优化、车间调度、发车优化、水库调度、三维装箱、物流选址、货位优化、公交排班优化、充电桩布局优化、车间布局优化、集装箱船配载优化、水泵组合优化、解医疗资源分配优化、设施布局优化、可视域基站和无人机选址优化、背包问题、 风电场布局、时隙分配优化、 最佳分布式发电单元分配、多阶段管道维修、 工厂-中心-需求点三级选址问题、 应急生活物质配送中心选址、 基站选址、 道路灯柱布置、 枢纽节点部署、 输电线路台风监测装置、 集装箱调度、 机组优化、 投资优化组合、云服务器组合优化、 天线线性阵列分布优化、CVRP问题、VRPPD问题、多中心VRP问题、多层网络的VRP问题、多中心多车型的VRP问题、 动态VRP问题、双层车辆路径规划(2E-VRP)、充电车辆路径规划(EVRP)、油电混合车辆路径规划、混合流水车间问题、 订单拆分调度问题、 公交车的调度排班优化问题、航班摆渡车辆调度问题、选址路径规划问题、港口调度、港口岸桥调度、停机位分配、机场航班调度、泄漏源定位
🌈 机器学习和深度学习时序、回归、分类、聚类和降维
2.1 bp时序、回归预测和分类
2.2 ENS声神经网络时序、回归预测和分类
2.3 SVM/CNN-SVM/LSSVM/RVM支持向量机系列时序、回归预测和分类
2.4 CNN|TCN|GCN卷积神经网络系列时序、回归预测和分类
2.5 ELM/KELM/RELM/DELM极限学习机系列时序、回归预测和分类
2.6 GRU/Bi-GRU/CNN-GRU/CNN-BiGRU门控神经网络时序、回归预测和分类
2.7 ELMAN递归神经网络时序、回归\预测和分类
2.8 LSTM/BiLSTM/CNN-LSTM/CNN-BiLSTM/长短记忆神经网络系列时序、回归预测和分类
2.9 RBF径向基神经网络时序、回归预测和分类
2.10 DBN深度置信网络时序、回归预测和分类
2.11 FNN模糊神经网络时序、回归预测
2.12 RF随机森林时序、回归预测和分类
2.13 BLS宽度学习时序、回归预测和分类
2.14 PNN脉冲神经网络分类
2.15 模糊小波神经网络预测和分类
2.16 时序、回归预测和分类
2.17 时序、回归预测预测和分类
2.18 XGBOOST集成学习时序、回归预测预测和分类
2.19 Transform各类组合时序、回归预测预测和分类
方向涵盖风电预测、光伏预测、电池寿命预测、辐射源识别、交通流预测、负荷预测、股价预测、PM2.5浓度预测、电池健康状态预测、用电量预测、水体光学参数反演、NLOS信号识别、地铁停车精准预测、变压器故障诊断
🌈图像处理方面
图像识别、图像分割、图像检测、图像隐藏、图像配准、图像拼接、图像融合、图像增强、图像压缩感知
🌈 路径规划方面
旅行商问题(TSP)、车辆路径问题(VRP、MVRP、CVRP、VRPTW等)、无人机三维路径规划、无人机协同、无人机编队、机器人路径规划、栅格地图路径规划、多式联运运输问题、 充电车辆路径规划(EVRP)、 双层车辆路径规划(2E-VRP)、 油电混合车辆路径规划、 船舶航迹规划、 全路径规划规划、 仓储巡逻
🌈 无人机应用方面
无人机路径规划、无人机控制、无人机编队、无人机协同、无人机任务分配、无人机安全通信轨迹在线优化、车辆协同无人机路径规划
🌈 通信方面
传感器部署优化、通信协议优化、路由优化、目标定位优化、Dv-Hop定位优化、Leach协议优化、WSN覆盖优化、组播优化、RSSI定位优化、水声通信、通信上传下载分配
🌈 信号处理方面
信号识别、信号加密、信号去噪、信号增强、雷达信号处理、信号水印嵌入提取、肌电信号、脑电信号、信号配时优化、心电信号、DOA估计、编码译码、变分模态分解、管道泄漏、滤波器、数字信号处理+传输+分析+去噪、数字信号调制、误码率、信号估计、DTMF、信号检测
🌈电力系统方面
微电网优化、无功优化、配电网重构、储能配置、有序充电、MPPT优化、家庭用电
🌈 元胞自动机方面
交通流 人群疏散 病毒扩散 晶体生长 金属腐蚀
🌈 雷达方面
卡尔曼滤波跟踪、航迹关联、航迹融合、SOC估计、阵列优化、NLOS识别
🌈 车间调度
零等待流水车间调度问题NWFSP 、 置换流水车间调度问题PFSP、 混合流水车间调度问题HFSP 、零空闲流水车间调度问题NIFSP、分布式置换流水车间调度问题 DPFSP、阻塞流水车间调度问题BFSP
👇
4671

被折叠的 条评论
为什么被折叠?



