✅作者简介:热爱科研的Matlab仿真开发者,擅长数据处理、建模仿真、程序设计、完整代码获取、论文复现及科研仿真。
🍎 往期回顾关注个人主页:Matlab科研工作室
🍊个人信条:格物致知,完整Matlab代码及仿真咨询内容私信。
🔥 内容介绍
随着全球能源危机和环境问题的日益严峻,可再生能源(尤其是光伏发电)在电力系统中的渗透率不断提高,主动配电网作为容纳分布式能源的重要载体,其运行优化成为研究热点。主动配电网中,光伏电源具有间歇性、随机性等波动特性,这会导致电压波动、网损增加等问题,严重影响配电网的安全稳定运行。
有功功率和无功功率的协调优化是主动配电网经济高效运行的关键。传统的优化方法多针对单一目标(如网损最小),且难以有效处理光伏波动性带来的不确定性。多目标优化算法能够同时考虑多个相互冲突的目标(如网损最小、电压偏差最小、运行成本最低等),为主动配电网的优化运行提供更全面的解决方案。
粒子群优化算法(PSO)作为一种群体智能优化算法,具有收敛速度快、实现简单等优点,但在多目标优化问题中存在解集分布性差、易陷入局部最优等问题。多目标粒子群优化算法(MOPSO)通过引入归档集、拥挤度计算等机制,能够有效处理多目标优化问题,适合解决主动配电网有功无功协调优化这一复杂问题。因此,开展基于多目标粒子群优化算法的计及光伏波动性的主动配电网有功无功协调优化研究,对于提高主动配电网的经济性、安全性和可靠性具有重要意义。
二、相关原理
(一)主动配电网原理
主动配电网是指能够对分布式能源、储能设备、可控负荷等进行主动管理和控制的配电网。与传统配电网相比,主动配电网具有更强的灵活性和可控性,能够通过协调控制各类分布式能源和电力设备,优化配电网的运行状态,提高能源利用率,降低网损,改善电压质量。
(二)光伏波动性特性
光伏发电的输出功率受光照强度、温度、天气等自然因素的影响,具有显著的波动性和间歇性。这种波动性会导致配电网的功率平衡被打破,引起电压波动、频率偏移等问题,增加了配电网运行优化的难度。为了计及光伏波动性,通常需要采用概率预测方法(如蒙特卡洛模拟、场景分析法等)生成光伏出力的多个可能场景,以反映其不确定性。
(三)有功无功协调优化原理
有功功率优化主要涉及分布式电源的出力调度、储能设备的充放电控制等,以实现功率平衡和运行成本最小化;无功功率优化则通过调节变压器分接头、电容器组、静止无功发生器(SVG)等无功补偿设备,改善电压质量,降低网损。有功无功协调优化是将两者结合起来,在满足配电网运行约束(如电压上下限、设备容量限制等)的前提下,实现多个目标的协同优化。
(四)多目标粒子群优化算法原理
多目标粒子群优化算法是在粒子群优化算法的基础上发展而来的,用于解决多目标优化问题。其核心思想是通过多个粒子的协同搜索,寻找 Pareto 最优解集。算法中,每个粒子通过跟踪自身历史最优位置和群体中的全局最优位置(从归档集中选取)来更新自己的速度和位置。归档集用于保存搜索过程中发现的非支配解,通过拥挤度计算来维持解集的多样性。最终,从归档集中选取合适的解作为问题的优化结果。
三、研究内容与方法
(一)研究内容
- 构建计及光伏波动性的主动配电网模型:包括光伏电源模型、负荷模型、储能设备模型、变压器模型、无功补偿设备模型等,明确各设备的运行特性和约束条件。采用场景分析法生成光伏出力的典型场景,以反映其波动性。
- 确定多目标优化目标函数:综合考虑主动配电网的经济性、安全性和可靠性,选取网损最小、电压偏差最小、运行成本最低(包括购电成本、设备维护成本等)作为优化目标函数。
- 建立约束条件:包括功率平衡约束、电压约束、设备容量约束(如光伏电源出力上限、储能设备充放电功率限制、变压器分接头调节范围等)、无功补偿设备容量约束等。
- 基于多目标粒子群优化算法的有功无功协调优化:设计适合该问题的 MOPSO 算法,包括粒子编码方式、适应度函数、速度和位置更新公式、归档集管理策略等,实现对有功功率和无功功率的协同优化。
- 优化结果分析与决策:对 MOPSO 算法得到的 Pareto 最优解集进行分析,采用模糊决策等方法从解集中选取最优方案,并与其他优化算法(如多目标遗传算法)的结果进行对比,验证所提算法的有效性。
(二)研究方法
- 文献研究法:查阅国内外关于主动配电网优化、光伏波动性处理、多目标优化算法等方面的文献,了解研究现状和最新进展,为研究提供理论基础和方法参考。
- 建模与仿真法:利用 MATLAB/Simulink 或 OpenDSS 等软件构建主动配电网仿真模型,实现光伏出力场景生成、设备模型搭建和运行模拟。
- 算法实现与改进法:基于 Python 或 MATLAB 实现多目标粒子群优化算法,并针对主动配电网优化问题的特点,对算法进行改进(如改进归档集更新策略、引入自适应惯性权重等),提高算法的搜索性能和收敛速度。
- 对比分析法:将基于 MOPSO 算法的优化结果与其他多目标优化算法的结果进行对比,从解集的收敛性、分布性、优化目标的改善程度等方面评估算法的性能。
- 案例分析法:选取典型的主动配电网案例(如含多个光伏电站和无功补偿设备的配电网)进行仿真实验,分析不同光伏出力场景下的优化结果,验证所提方法的适用性和有效性。
四、预期成果
- 构建一套完整的计及光伏波动性的主动配电网模型,能够准确反映光伏电源的波动特性和各类设备的运行状态。
- 建立合理的多目标优化目标函数和约束条件,全面体现主动配电网有功无功协调优化的需求。
- 提出一种基于多目标粒子群优化算法的主动配电网有功无功协调优化方法,能够有效处理光伏波动性,得到高质量的 Pareto 最优解集。
- 通过案例分析和对比实验,验证所提算法的优越性,与其他算法相比,在解集质量、收敛速度等方面表现更优。
- 形成一套计及光伏波动性的主动配电网有功无功协调优化方案,为主动配电网的运行调度提供科学依据和决策支持。
五、创新点
- 综合考虑光伏波动性对主动配电网的影响,采用场景分析法构建光伏出力模型,提高了优化结果的实用性和可靠性。
- 将多目标粒子群优化算法应用于主动配电网的有功无功协调优化,通过改进算法的关键环节(如归档集管理、惯性权重调整等),增强了算法处理复杂多目标优化问题的能力。
- 实现了有功功率和无功功率的协同优化,同时兼顾多个优化目标,为主动配电网的经济、安全、可靠运行提供了更全面的解决方案。
六、研究步骤与计划
- 第 1-3 周:进行文献调研,了解主动配电网优化、光伏波动性处理、多目标粒子群优化算法等相关知识,确定研究方案。
- 第 4-6 周:构建计及光伏波动性的主动配电网模型,包括各设备模型和光伏出力场景生成模型,建立多目标优化目标函数和约束条件。
- 第 7-10 周:研究多目标粒子群优化算法,根据研究问题的特点对算法进行改进,实现基于 MOPSO 的有功无功协调优化程序。
- 第 11-13 周:选取典型案例进行仿真实验,运行优化程序,得到 Pareto 最优解集,采用模糊决策等方法选取最优方案。
- 第 14-15 周:将所提算法与其他对比算法进行对比分析,评估算法性能,分析不同光伏场景下的优化结果。
- 第 16 周:整理研究成果,撰写研究报告并定稿。
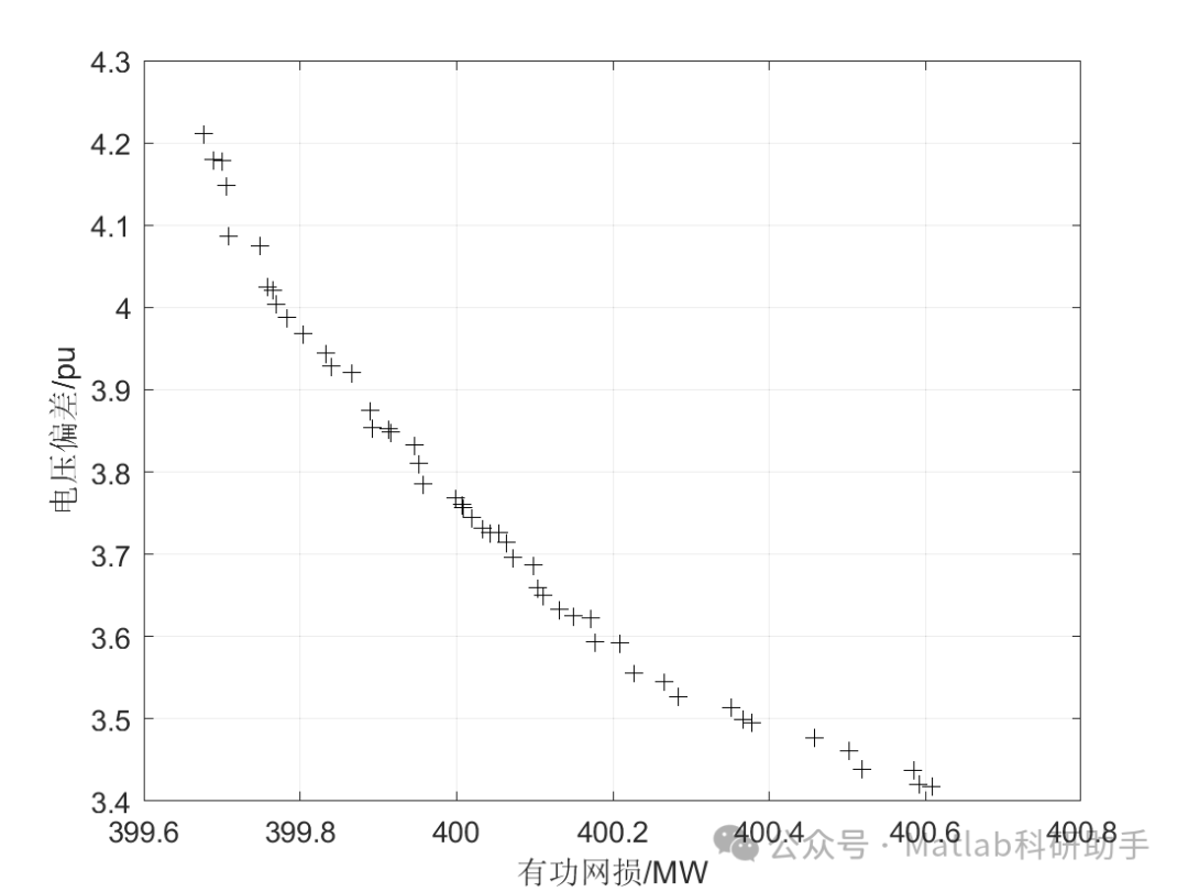
⛳️ 运行结果






🔗 参考文献
[1] 吴富杰,苏小林,阎晓霞,等.基于多目标的主动配电网有功无功协调优化[J].自动化技术与应用, 2015(11):7.DOI:CNKI:SUN:ZDHJ.0.2015-11-012.
[2] 吴文传,张伯明,孙宏斌,等.主动配电网能量管理与分布式资源集群控制[J].电力系统自动化, 2020, 44(9):8.DOI:10.7500/AEPS20191030001.
[3] 申萌均,王玲玲.计及风电相关性的主动配电网有功无功协调鲁棒优化调度策略[J].现代电力, 2023, 40(6):1013-1022.
📣 部分代码
🎈 部分理论引用网络文献,若有侵权联系博主删除
👇 关注我领取海量matlab电子书和数学建模资料
🏆团队擅长辅导定制多种科研领域MATLAB仿真,助力科研梦:
🌈 各类智能优化算法改进及应用
生产调度、经济调度、装配线调度、充电优化、车间调度、发车优化、水库调度、三维装箱、物流选址、货位优化、公交排班优化、充电桩布局优化、车间布局优化、集装箱船配载优化、水泵组合优化、解医疗资源分配优化、设施布局优化、可视域基站和无人机选址优化、背包问题、 风电场布局、时隙分配优化、 最佳分布式发电单元分配、多阶段管道维修、 工厂-中心-需求点三级选址问题、 应急生活物质配送中心选址、 基站选址、 道路灯柱布置、 枢纽节点部署、 输电线路台风监测装置、 集装箱调度、 机组优化、 投资优化组合、云服务器组合优化、 天线线性阵列分布优化、CVRP问题、VRPPD问题、多中心VRP问题、多层网络的VRP问题、多中心多车型的VRP问题、 动态VRP问题、双层车辆路径规划(2E-VRP)、充电车辆路径规划(EVRP)、油电混合车辆路径规划、混合流水车间问题、 订单拆分调度问题、 公交车的调度排班优化问题、航班摆渡车辆调度问题、选址路径规划问题、港口调度、港口岸桥调度、停机位分配、机场航班调度、泄漏源定位
🌈 机器学习和深度学习时序、回归、分类、聚类和降维
2.1 bp时序、回归预测和分类
2.2 ENS声神经网络时序、回归预测和分类
2.3 SVM/CNN-SVM/LSSVM/RVM支持向量机系列时序、回归预测和分类
2.4 CNN|TCN|GCN卷积神经网络系列时序、回归预测和分类
2.5 ELM/KELM/RELM/DELM极限学习机系列时序、回归预测和分类
2.6 GRU/Bi-GRU/CNN-GRU/CNN-BiGRU门控神经网络时序、回归预测和分类
2.7 ELMAN递归神经网络时序、回归\预测和分类
2.8 LSTM/BiLSTM/CNN-LSTM/CNN-BiLSTM/长短记忆神经网络系列时序、回归预测和分类
2.9 RBF径向基神经网络时序、回归预测和分类
2.10 DBN深度置信网络时序、回归预测和分类
2.11 FNN模糊神经网络时序、回归预测
2.12 RF随机森林时序、回归预测和分类
2.13 BLS宽度学习时序、回归预测和分类
2.14 PNN脉冲神经网络分类
2.15 模糊小波神经网络预测和分类
2.16 时序、回归预测和分类
2.17 时序、回归预测预测和分类
2.18 XGBOOST集成学习时序、回归预测预测和分类
2.19 Transform各类组合时序、回归预测预测和分类
方向涵盖风电预测、光伏预测、电池寿命预测、辐射源识别、交通流预测、负荷预测、股价预测、PM2.5浓度预测、电池健康状态预测、用电量预测、水体光学参数反演、NLOS信号识别、地铁停车精准预测、变压器故障诊断
🌈图像处理方面
图像识别、图像分割、图像检测、图像隐藏、图像配准、图像拼接、图像融合、图像增强、图像压缩感知
🌈 路径规划方面
旅行商问题(TSP)、车辆路径问题(VRP、MVRP、CVRP、VRPTW等)、无人机三维路径规划、无人机协同、无人机编队、机器人路径规划、栅格地图路径规划、多式联运运输问题、 充电车辆路径规划(EVRP)、 双层车辆路径规划(2E-VRP)、 油电混合车辆路径规划、 船舶航迹规划、 全路径规划规划、 仓储巡逻
🌈 无人机应用方面
无人机路径规划、无人机控制、无人机编队、无人机协同、无人机任务分配、无人机安全通信轨迹在线优化、车辆协同无人机路径规划
🌈 通信方面
传感器部署优化、通信协议优化、路由优化、目标定位优化、Dv-Hop定位优化、Leach协议优化、WSN覆盖优化、组播优化、RSSI定位优化、水声通信、通信上传下载分配
🌈 信号处理方面
信号识别、信号加密、信号去噪、信号增强、雷达信号处理、信号水印嵌入提取、肌电信号、脑电信号、信号配时优化、心电信号、DOA估计、编码译码、变分模态分解、管道泄漏、滤波器、数字信号处理+传输+分析+去噪、数字信号调制、误码率、信号估计、DTMF、信号检测
🌈电力系统方面
微电网优化、无功优化、配电网重构、储能配置、有序充电、MPPT优化、家庭用电
🌈 元胞自动机方面
交通流 人群疏散 病毒扩散 晶体生长 金属腐蚀
🌈 雷达方面
卡尔曼滤波跟踪、航迹关联、航迹融合、SOC估计、阵列优化、NLOS识别
🌈 车间调度
零等待流水车间调度问题NWFSP 、 置换流水车间调度问题PFSP、 混合流水车间调度问题HFSP 、零空闲流水车间调度问题NIFSP、分布式置换流水车间调度问题 DPFSP、阻塞流水车间调度问题BFSP
👇
655

被折叠的 条评论
为什么被折叠?



