✅作者简介:热爱科研的Matlab仿真开发者,擅长数据处理、建模仿真、程序设计、完整代码获取、论文复现及科研仿真。
🍎 往期回顾关注个人主页:Matlab科研工作室
🍊个人信条:格物致知,完整Matlab代码及仿真咨询内容私信。
🔥 内容介绍
多旋翼无人机凭借其灵活机动、操作便捷等特点,在航拍测绘、农业植保、电力巡检等众多领域得到了广泛应用。导航系统作为无人机的 “大脑”,其精度和可靠性直接决定了无人机的作业性能。多旋翼无人机组合导航系统通过融合多种导航传感器信息,能够有效弥补单一传感器的不足,显著提升导航性能。本文重点阐述多源信息融合算法在多旋翼无人机组合导航系统中的应用,介绍常见的融合算法原理、优势及在系统中的具体实现,分析其面临的挑战并展望未来发展方向,为相关研究和工程实践提供参考。
关键词
多旋翼无人机;组合导航系统;多源信息融合;算法;导航精度
一、引言
随着无人机技术的飞速发展,多旋翼无人机在各个行业的应用日益深入。在复杂的作业环境中,如城市峡谷、山区密林等,单一的导航传感器往往难以满足无人机对导航精度和可靠性的要求。例如,全球导航卫星系统(GNSS)在遮挡严重的环境下容易出现信号失锁,导致定位精度急剧下降;惯性测量单元(IMU)虽然能够提供连续的导航信息,但随着时间的推移会产生累积误差。
为了解决这一问题,多旋翼无人机组合导航系统应运而生。该系统将 GNSS、IMU、视觉传感器、气压计、磁罗盘等多种传感器进行组合,通过多源信息融合算法对各传感器采集的数据进行处理和融合,从而获得更准确、更可靠的导航参数,如位置、速度和姿态等。多源信息融合算法是组合导航系统的核心,其性能直接影响整个导航系统的表现。因此,深入研究多源信息融合算法对于提升多旋翼无人机的导航性能具有重要意义。
二、多源信息融合算法原理
多源信息融合是指将来自不同传感器或信息源的数据和信息进行综合处理,以消除信息的不确定性和冗余性,获得对环境或目标更准确、更全面的认知。在多旋翼无人机组合导航系统中,多源信息融合算法的主要目的是融合各传感器的导航信息,提高导航参数的估计精度和稳定性。
2.1 数据层融合
数据层融合是对各传感器采集的原始数据直接进行融合处理,它要求各传感器的数据在时间和空间上具有一致性。该层次的融合能够最大程度地保留原始数据的信息,但对传感器的同步性和一致性要求较高。在多旋翼无人机组合导航系统中,数据层融合可用于对 IMU 的加速度和角速度数据与 GNSS 的位置和速度数据进行时间同步和校准,为后续的融合处理奠定基础。
2.2 特征层融合
特征层融合是先从各传感器的原始数据中提取特征信息,如角点、边缘、速度变化率等,然后对这些特征信息进行融合。这种融合方式减少了数据处理量,提高了融合效率,同时对传感器的依赖性相对降低。在无人机导航中,可通过视觉传感器提取环境特征,与 IMU 输出的姿态变化特征进行融合,辅助无人机在 GNSS 信号不佳时进行定位导航。
2.3 决策层融合
决策层融合是在各传感器分别对导航状态做出判断和决策的基础上,对这些决策结果进行融合,最终得到一个综合的决策。该层次的融合具有较强的容错性和灵活性,适用于传感器类型差异较大的情况。例如,在无人机导航系统中,当 GNSS 和视觉传感器对无人机位置的估计出现较大偏差时,可通过决策层融合算法结合两者的置信度进行综合判断,选择更可靠的位置信息。
三、常见的多源信息融合算法
3.1 卡尔曼滤波及其扩展算法
卡尔曼滤波是一种线性最小方差估计方法,它基于系统的状态方程和观测方程,通过预测和更新两个步骤实现对系统状态的最优估计。在多旋翼无人机组合导航系统中,卡尔曼滤波被广泛应用于 GNSS 与 IMU 的信息融合。
在实际应用中,无人机的运动模型往往是非线性的,此时传统的卡尔曼滤波不再适用。扩展卡尔曼滤波(EKF)通过对非线性函数进行泰勒级数展开并保留一阶导数项,将非线性系统近似为线性系统,从而实现对非线性系统的状态估计。然而,EKF 在处理强非线性问题时精度会受到影响。
无迹卡尔曼滤波(UKF)则采用无迹变换的方法,通过选取一组 Sigma 点来近似系统的概率分布,避免了对非线性函数的线性化处理,在处理非线性问题时具有更高的精度和稳定性,在多旋翼无人机组合导航系统中得到了越来越多的应用。
3.2 粒子滤波算法
粒子滤波是一种基于蒙特卡洛模拟的非线性滤波算法,它通过大量的粒子来近似系统状态的后验概率分布。该算法不要求系统模型具有线性性和高斯噪声假设,适用于处理复杂的非线性、非高斯系统。
在多旋翼无人机组合导航中,当无人机处于复杂环境,如存在严重的非线性运动或非高斯噪声干扰时,粒子滤波能够表现出较好的性能。例如,在室内无 GNSS 信号的环境下,将视觉传感器与 IMU 的数据通过粒子滤波进行融合,可以实现无人机的精确定位。但粒子滤波存在计算量大、粒子退化等问题,在实际应用中需要进行优化。
3.3 神经网络算法
神经网络是一种模仿人脑神经系统结构和功能的机器学习算法,它由大量的神经元相互连接而成,具有强大的非线性映射能力和自学习能力。在多源信息融合中,神经网络可以通过训练学习各传感器数据之间的复杂关系,实现对导航参数的准确估计。
将神经网络应用于多旋翼无人机组合导航系统,能够有效处理传感器数据中的非线性和不确定性。例如,利用神经网络融合 IMU、视觉传感器和 GNSS 的数据,通过大量的样本训练,使网络能够自适应不同环境下的传感器特性,提高导航系统的鲁棒性。但神经网络需要大量的训练数据,且模型的可解释性较差。
四、多源信息融合算法在多旋翼无人机组合导航系统中的应用
4.1 GNSS/IMU 组合导航
GNSS 能够提供高精度的绝对位置和速度信息,但容易受到环境干扰;IMU 可以提供连续的姿态、速度和位置变化率信息,但存在累积误差。将 GNSS 与 IMU 通过多源信息融合算法进行组合,能够实现优势互补。
采用卡尔曼滤波及其扩展算法对 GNSS 和 IMU 的数据进行融合,在 GNSS 信号良好时,利用 GNSS 的观测值对 IMU 的累积误差进行校正;当 GNSS 信号失锁或受干扰时,依靠 IMU 提供短期的高精度导航信息,从而保证导航系统的连续性和精度。例如,在城市峡谷飞行时,GNSS 信号可能会出现短暂丢失,此时 IMU 能够在短时间内维持导航精度,待 GNSS 信号恢复后,融合算法再对 IMU 的误差进行修正。
4.2 视觉 / IMU 组合导航
视觉传感器可以通过拍摄周围环境图像,利用特征匹配等方法估计无人机的运动状态,具有无累积误差的特点,但在光照变化剧烈或无明显特征的环境下性能会下降;IMU 能够提供高频的运动信息,但误差会随时间累积。
视觉 / IMU 组合导航通过融合算法将两者的信息结合起来,能够提高导航系统在复杂环境下的性能。例如,采用 UKF 算法对视觉传感器获取的位置信息和 IMU 输出的姿态、速度信息进行融合,在室内无 GNSS 信号的环境中,可实现无人机的精准定位和稳定飞行。视觉传感器提供的绝对位置信息能够有效抑制 IMU 的累积误差,而 IMU 的高频数据则可以弥补视觉传感器处理延迟的问题。
4.3 多传感器融合导航
在更复杂的作业环境中,仅依靠两种传感器的组合可能仍然无法满足导航需求,此时需要融合更多类型的传感器信息,如气压计、磁罗盘等。气压计可以提供高度信息,磁罗盘能够测量无人机的航向角,但它们容易受到环境因素的影响,如气压变化、电磁干扰等。
多传感器融合导航系统通过多源信息融合算法对 GNSS、IMU、视觉传感器、气压计、磁罗盘等传感器的数据进行综合处理。例如,在融合过程中,利用气压计的数据辅助校正 IMU 的高度误差,结合磁罗盘的信息修正无人机的航向角,再通过卡尔曼滤波等算法与其他传感器信息进行融合,进一步提升导航系统的精度和可靠性。
五、面临的挑战与未来发展方向
5.1 面临的挑战
尽管多源信息融合算法在多旋翼无人机组合导航系统中取得了一定的应用成果,但仍面临一些挑战。首先,传感器误差特性复杂,不同传感器的误差来源和变化规律各不相同,在融合过程中难以准确建模,影响融合精度。其次,在动态变化的环境中,如快速运动、突发干扰等,传感器数据可能会出现异常或突变,如何快速检测和处理这些异常数据是融合算法面临的难题。此外,多旋翼无人机的计算资源有限,复杂的融合算法会增加系统的计算负担,影响导航的实时性。
5.2 未来发展方向
未来,多源信息融合算法在多旋翼无人机组合导航系统中的发展将朝着以下几个方向迈进。一是智能化融合算法,结合人工智能、深度学习等技术,使融合算法能够自适应环境变化,自主学习传感器误差特性,提高算法的鲁棒性和适应性。例如,利用深度学习模型对传感器数据进行特征提取和融合,实现更精准的导航参数估计。
二是轻量化融合算法,针对无人机计算资源有限的特点,研究低复杂度、高效率的融合算法,在保证融合精度的前提下,降低算法的计算量,满足实时性要求。可以通过优化算法结构、减少计算步骤等方式实现算法的轻量化。
三是分布式融合算法,对于多无人机协同作业场景,采用分布式融合算法能够实现各无人机之间的信息共享和融合,提高整个无人机群的导航性能和协同作业能力。分布式融合可以减少中心节点的压力,提高系统的可靠性和扩展性。
六、结论
多源信息融合算法是多旋翼无人机组合导航系统的核心技术,它通过融合多种传感器信息,有效提升了无人机的导航精度和可靠性。本文介绍了多源信息融合算法的原理,分析了卡尔曼滤波及其扩展算法、粒子滤波算法、神经网络算法等常见算法的特点及在组合导航系统中的应用。
虽然目前多源信息融合算法在应用中面临传感器误差建模复杂、异常数据处理困难、计算资源受限等挑战,但随着智能化、轻量化、分布式等技术的不断发展,这些问题将逐步得到解决。未来,多源信息融合算法将在多旋翼无人机组合导航系统中发挥更加重要的作用,推动无人机技术在更广泛领域的应用。
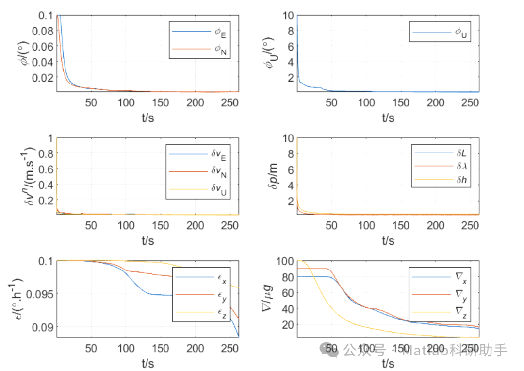
⛳️ 运行结果







🔗 参考文献
[1] 惠怀志,蔡伯根.组合导航信息融合算法的研究[J].北京交通大学学报(自然科学版), 2007.
[2] 刘洋.捷联惯性导航系统设计与信息融合算法研究[J].华南理工大学, 2013.
[3] 张欣.多旋翼无人机的姿态与导航信息融合算法研究[D].中国科学院大学[2025-07-31].
📣 部分代码
🎈 部分理论引用网络文献,若有侵权联系博主删除
👇 关注我领取海量matlab电子书和数学建模资料
🏆团队擅长辅导定制多种科研领域MATLAB仿真,助力科研梦:
🌈 各类智能优化算法改进及应用
生产调度、经济调度、装配线调度、充电优化、车间调度、发车优化、水库调度、三维装箱、物流选址、货位优化、公交排班优化、充电桩布局优化、车间布局优化、集装箱船配载优化、水泵组合优化、解医疗资源分配优化、设施布局优化、可视域基站和无人机选址优化、背包问题、 风电场布局、时隙分配优化、 最佳分布式发电单元分配、多阶段管道维修、 工厂-中心-需求点三级选址问题、 应急生活物质配送中心选址、 基站选址、 道路灯柱布置、 枢纽节点部署、 输电线路台风监测装置、 集装箱调度、 机组优化、 投资优化组合、云服务器组合优化、 天线线性阵列分布优化、CVRP问题、VRPPD问题、多中心VRP问题、多层网络的VRP问题、多中心多车型的VRP问题、 动态VRP问题、双层车辆路径规划(2E-VRP)、充电车辆路径规划(EVRP)、油电混合车辆路径规划、混合流水车间问题、 订单拆分调度问题、 公交车的调度排班优化问题、航班摆渡车辆调度问题、选址路径规划问题、港口调度、港口岸桥调度、停机位分配、机场航班调度、泄漏源定位
🌈 机器学习和深度学习时序、回归、分类、聚类和降维
2.1 bp时序、回归预测和分类
2.2 ENS声神经网络时序、回归预测和分类
2.3 SVM/CNN-SVM/LSSVM/RVM支持向量机系列时序、回归预测和分类
2.4 CNN|TCN|GCN卷积神经网络系列时序、回归预测和分类
2.5 ELM/KELM/RELM/DELM极限学习机系列时序、回归预测和分类
2.6 GRU/Bi-GRU/CNN-GRU/CNN-BiGRU门控神经网络时序、回归预测和分类
2.7 ELMAN递归神经网络时序、回归\预测和分类
2.8 LSTM/BiLSTM/CNN-LSTM/CNN-BiLSTM/长短记忆神经网络系列时序、回归预测和分类
2.9 RBF径向基神经网络时序、回归预测和分类
2.10 DBN深度置信网络时序、回归预测和分类
2.11 FNN模糊神经网络时序、回归预测
2.12 RF随机森林时序、回归预测和分类
2.13 BLS宽度学习时序、回归预测和分类
2.14 PNN脉冲神经网络分类
2.15 模糊小波神经网络预测和分类
2.16 时序、回归预测和分类
2.17 时序、回归预测预测和分类
2.18 XGBOOST集成学习时序、回归预测预测和分类
2.19 Transform各类组合时序、回归预测预测和分类
方向涵盖风电预测、光伏预测、电池寿命预测、辐射源识别、交通流预测、负荷预测、股价预测、PM2.5浓度预测、电池健康状态预测、用电量预测、水体光学参数反演、NLOS信号识别、地铁停车精准预测、变压器故障诊断
🌈图像处理方面
图像识别、图像分割、图像检测、图像隐藏、图像配准、图像拼接、图像融合、图像增强、图像压缩感知
🌈 路径规划方面
旅行商问题(TSP)、车辆路径问题(VRP、MVRP、CVRP、VRPTW等)、无人机三维路径规划、无人机协同、无人机编队、机器人路径规划、栅格地图路径规划、多式联运运输问题、 充电车辆路径规划(EVRP)、 双层车辆路径规划(2E-VRP)、 油电混合车辆路径规划、 船舶航迹规划、 全路径规划规划、 仓储巡逻
🌈 无人机应用方面
无人机路径规划、无人机控制、无人机编队、无人机协同、无人机任务分配、无人机安全通信轨迹在线优化、车辆协同无人机路径规划
🌈 通信方面
传感器部署优化、通信协议优化、路由优化、目标定位优化、Dv-Hop定位优化、Leach协议优化、WSN覆盖优化、组播优化、RSSI定位优化、水声通信、通信上传下载分配
🌈 信号处理方面
信号识别、信号加密、信号去噪、信号增强、雷达信号处理、信号水印嵌入提取、肌电信号、脑电信号、信号配时优化、心电信号、DOA估计、编码译码、变分模态分解、管道泄漏、滤波器、数字信号处理+传输+分析+去噪、数字信号调制、误码率、信号估计、DTMF、信号检测
🌈电力系统方面
微电网优化、无功优化、配电网重构、储能配置、有序充电、MPPT优化、家庭用电
🌈 元胞自动机方面
交通流 人群疏散 病毒扩散 晶体生长 金属腐蚀
🌈 雷达方面
卡尔曼滤波跟踪、航迹关联、航迹融合、SOC估计、阵列优化、NLOS识别
🌈 车间调度
零等待流水车间调度问题NWFSP 、 置换流水车间调度问题PFSP、 混合流水车间调度问题HFSP 、零空闲流水车间调度问题NIFSP、分布式置换流水车间调度问题 DPFSP、阻塞流水车间调度问题BFSP
👇
多旋翼无人机组合导航算法解析
1026

被折叠的 条评论
为什么被折叠?



