✅作者简介:热爱科研的Matlab仿真开发者,擅长数据处理、建模仿真、程序设计、完整代码获取、论文复现及科研仿真。
🍎 往期回顾关注个人主页:Matlab科研工作室
🍊个人信条:格物致知,完整Matlab代码及仿真咨询内容私信。
🔥 内容介绍
在可再生能源领域,准确的场景生成对于电力系统的规划、运行以及市场分析至关重要。传统的概率模型方法在处理复杂、高维的可再生能源数据时面临诸多挑战,例如难以捕捉数据中固有的非线性关系、多变量之间的复杂依赖性以及数据的不确定性等。近年来,生成对抗网络(GANs)作为一种强大的深度学习模型,展现出在复杂数据分布学习和新样本生成方面的卓越能力。本文旨在深入探讨“使用生成对抗性网络的数据驱动场景生成方法研究(该方法基于两个互连的深度神经网络与基于概率模型的现有方法相比)”这一主题,阐述GANs在可再生能源场景生成中的优势、核心机制以及其与传统概率模型方法的比较。
1. 可再生能源场景生成的必要性与挑战
随着全球对环境保护和可持续发展的日益关注,太阳能、风能等可再生能源在电力结构中的比重持续攀升。然而,可再生能源的间歇性、波动性和不确定性给电力系统的稳定运行带来了巨大挑战。例如,风力发电受风速影响,太阳能发电受日照强度和云层遮挡影响,这些因素都具有高度随机性。为了有效应对这些不确定性,电力系统需要进行精确的规划和调度,而这离不开可靠的未来可再生能源出力场景。
传统的场景生成方法通常基于统计学和概率模型,例如蒙特卡洛模拟、自回归积分滑动平均模型(ARIMA)、高斯过程等。这些方法在一定程度上能够捕捉可再生能源的波动特性,但也存在局限性:
- 难以捕捉复杂非线性关系:
可再生能源出力与气象因素之间往往存在复杂的非线性关系,传统线性模型难以有效建模。
- 多变量联合分布建模困难:
在考虑风速、光照、温度、湿度等多个气象变量对可再生能源出力的综合影响时,构建高维联合概率分布模型极为复杂。
- 样本多样性不足:
基于历史数据拟合的概率模型可能难以生成具有足够多样性的极端或不常见场景,而这些场景对于电力系统的鲁棒性评估至关重要。
- 计算效率:
对于大规模电力系统,生成大量场景可能需要较高的计算成本。
2. 生成对抗网络(GANs)的核心机制
生成对抗网络由Ian Goodfellow等人在2014年提出,其核心思想源于博弈论中的零和博弈。GANs由两个相互竞争的深度神经网络组成:一个生成器(Generator, G)和一个判别器(Discriminator, D)。
- 生成器(G):
接收随机噪声作为输入,并将其转换为与真实数据具有相似分布的“伪造”数据。在可再生能源场景生成中,生成器旨在根据随机输入生成模拟真实可再生能源出力(如风电功率、光伏功率)的场景序列。
- 判别器(D):
接收真实数据和生成器生成的伪造数据作为输入,并尝试区分它们。判别器的目标是尽可能准确地判断输入数据是真实的还是生成的。
这两个网络通过对抗性训练进行优化:
- 生成器努力欺骗判别器:
它不断调整自身的参数,使其生成的伪造数据越来越逼真,以至于判别器难以区分。
- 判别器努力识别伪造数据:
它不断调整自身的参数,提高其区分真实数据和伪造数据的能力。
这种对抗过程使得生成器不断学习真实数据的潜在分布,最终能够生成与真实数据在统计特性上高度相似的新样本。在可再生能源场景生成中,这意味着生成器能够学习到风速、光照、温度等气象因素与可再生能源出力之间的复杂映射关系,并生成逼真的可再生能源出力场景。
3. GANs在可再生能源场景生成中的应用优势
与基于概率模型的现有方法相比,GANs在可再生能源场景生成中展现出显著优势:
- 强大的非线性建模能力:
GANs作为深度学习模型,具有处理复杂非线性关系的能力。它们能够自动从大量历史数据中学习到可再生能源出力与各种影响因素(如气象条件、时间、季节等)之间的高度非线性、多模态的映射关系,这是传统概率模型难以企及的。
- 生成高多样性场景:
GANs通过学习数据的内在分布,能够生成具有高多样性的场景,包括一些在历史数据中不常见但对系统运行至关重要的极端或异常场景。这对于电力系统的风险评估和鲁棒性测试具有重要意义。
- 无需显式建模概率分布:
与传统方法需要事先假设并显式建模数据概率分布不同,GANs采用隐式建模的方式,通过对抗性训练直接学习数据分布,避免了复杂的概率密度函数估计过程。
- 能够捕捉多变量联合分布:
对于涉及风速、光照强度、温度等多个气象变量与可再生能源出力之间的复杂联合分布,GANs能够有效地学习并生成多变量同步变化的场景,而传统方法在处理高维联合分布时往往面临“维度灾难”问题。
- 数据驱动与自适应性:
GANs完全依赖于数据驱动,能够从大量的历史数据中自动学习和适应新的数据模式,无需人工干预或预设复杂的规则。
- 生成质量高:
训练成熟的GANs可以生成在视觉和统计特性上都与真实数据高度相似的场景,这对于下游的电力系统分析和优化是至关重要的。
4. 基于GANs的可再生能源场景生成方法框架
一个典型的基于GANs的可再生能源场景生成方法框架通常包括以下步骤:
- 数据收集与预处理:
收集长时间序列的可再生能源出力数据(如风电功率、光伏功率)以及相关的气象数据(如风速、风向、温度、光照强度、云量等)。对数据进行清洗、缺失值处理、标准化或归一化等预处理,确保数据质量。
- 特征工程与序列化:
将气象数据和可再生能源出力数据转换为适合深度神经网络输入的序列形式。可以考虑将时间戳、季节、历史趋势等信息作为额外的输入特征。
- GAN模型构建:
- 生成器(G):
通常采用循环神经网络(RNN,如LSTM或GRU)或卷积神经网络(CNN)来处理时间序列数据。生成器输入随机噪声,输出未来一段时间的可再生能源出力场景序列。
- 判别器(D):
同样可以采用RNN或CNN来处理输入的时间序列数据。判别器接收真实场景序列和生成器生成的伪造场景序列,输出一个介于0到1之间的概率值,表示该序列是真实的概率。
- 生成器(G):
- 对抗性训练:
- 判别器训练:
固定生成器,使用真实数据和生成器生成的伪造数据训练判别器,使其能够有效区分二者。判别器的损失函数通常采用二分类交叉熵损失。
- 生成器训练:
固定判别器,训练生成器以使其生成的伪造数据能够骗过判别器。生成器的损失函数通常也与判别器的输出相关,旨在最大化判别器将伪造数据识别为真实的概率。
- 交替迭代训练:
两个网络交替进行训练,通过对抗性博弈不断提升彼此的性能。
- 判别器训练:
- 场景生成与评估:
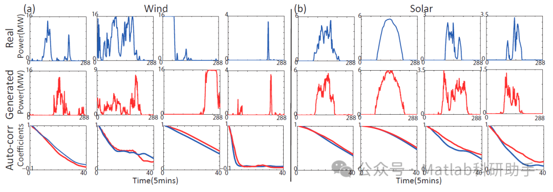
训练完成后,使用生成器接收新的随机噪声,即可生成大量的可再生能源出力场景。通过统计指标(如均值、方差、峰谷值、相关性等)、可视化(如时间序列图、概率密度图)以及将其应用于电力系统运行仿真来评估生成场景的质量和实用性。
5. 结论与展望
基于生成对抗网络的数据驱动场景生成方法为可再生能源并网带来的不确定性挑战提供了新的解决方案。通过两个互连的深度神经网络之间的对抗性学习,GANs能够有效地从大量历史数据中学习到可再生能源出力的复杂非线性、多变量依赖关系,并生成高质量、高多样性的未来出力场景。与传统的概率模型方法相比,GANs在捕捉数据内在复杂性、生成极端场景以及处理高维数据方面展现出显著优势。
未来,GANs在可再生能源场景生成领域仍有广阔的研究空间。例如,可以探索结合条件GAN(CGAN)来引入外部条件信息(如天气预报、季节信息),以生成更具特定条件下的场景;研究更先进的GAN架构(如WGAN、StyleGAN)以进一步提高生成质量和稳定性;将GANs与其他深度学习模型(如强化学习)结合,用于电力系统优化决策;同时,如何提升GAN模型的可解释性以及如何有效评估生成场景在实际电力系统应用中的价值也是未来研究的重点。随着数据量的不断增长和计算能力的提升,GANs必将在可再生能源的智能管理和高效利用中发挥越来越重要的作用。
⛳️ 运行结果

🔗 参考文献
[1] 陈珂.开放式环境下敏感数据安全的关键技术研究[D].浙江大学,2007.DOI:CNKI:CDMD:1.2007.187930.
[2] 杨瑾.基于深度学习的雨雾图像复原方法研究[D].燕山大学,2022.
[3] 余林芳.基于机器学习的眼底影像分析[D].电子科技大学,2022.
📣 部分代码
🎈 部分理论引用网络文献,若有侵权联系博主删除
👇 关注我领取海量matlab电子书和数学建模资料
🏆团队擅长辅导定制多种科研领域MATLAB仿真,助力科研梦:
🌈 各类智能优化算法改进及应用
生产调度、经济调度、装配线调度、充电优化、车间调度、发车优化、水库调度、三维装箱、物流选址、货位优化、公交排班优化、充电桩布局优化、车间布局优化、集装箱船配载优化、水泵组合优化、解医疗资源分配优化、设施布局优化、可视域基站和无人机选址优化、背包问题、 风电场布局、时隙分配优化、 最佳分布式发电单元分配、多阶段管道维修、 工厂-中心-需求点三级选址问题、 应急生活物质配送中心选址、 基站选址、 道路灯柱布置、 枢纽节点部署、 输电线路台风监测装置、 集装箱调度、 机组优化、 投资优化组合、云服务器组合优化、 天线线性阵列分布优化、CVRP问题、VRPPD问题、多中心VRP问题、多层网络的VRP问题、多中心多车型的VRP问题、 动态VRP问题、双层车辆路径规划(2E-VRP)、充电车辆路径规划(EVRP)、油电混合车辆路径规划、混合流水车间问题、 订单拆分调度问题、 公交车的调度排班优化问题、航班摆渡车辆调度问题、选址路径规划问题、港口调度、港口岸桥调度、停机位分配、机场航班调度、泄漏源定位
🌈 机器学习和深度学习时序、回归、分类、聚类和降维
2.1 bp时序、回归预测和分类
2.2 ENS声神经网络时序、回归预测和分类
2.3 SVM/CNN-SVM/LSSVM/RVM支持向量机系列时序、回归预测和分类
2.4 CNN|TCN|GCN卷积神经网络系列时序、回归预测和分类
2.5 ELM/KELM/RELM/DELM极限学习机系列时序、回归预测和分类
2.6 GRU/Bi-GRU/CNN-GRU/CNN-BiGRU门控神经网络时序、回归预测和分类
2.7 ELMAN递归神经网络时序、回归\预测和分类
2.8 LSTM/BiLSTM/CNN-LSTM/CNN-BiLSTM/长短记忆神经网络系列时序、回归预测和分类
2.9 RBF径向基神经网络时序、回归预测和分类
2.10 DBN深度置信网络时序、回归预测和分类
2.11 FNN模糊神经网络时序、回归预测
2.12 RF随机森林时序、回归预测和分类
2.13 BLS宽度学习时序、回归预测和分类
2.14 PNN脉冲神经网络分类
2.15 模糊小波神经网络预测和分类
2.16 时序、回归预测和分类
2.17 时序、回归预测预测和分类
2.18 XGBOOST集成学习时序、回归预测预测和分类
2.19 Transform各类组合时序、回归预测预测和分类
方向涵盖风电预测、光伏预测、电池寿命预测、辐射源识别、交通流预测、负荷预测、股价预测、PM2.5浓度预测、电池健康状态预测、用电量预测、水体光学参数反演、NLOS信号识别、地铁停车精准预测、变压器故障诊断
🌈图像处理方面
图像识别、图像分割、图像检测、图像隐藏、图像配准、图像拼接、图像融合、图像增强、图像压缩感知
🌈 路径规划方面
旅行商问题(TSP)、车辆路径问题(VRP、MVRP、CVRP、VRPTW等)、无人机三维路径规划、无人机协同、无人机编队、机器人路径规划、栅格地图路径规划、多式联运运输问题、 充电车辆路径规划(EVRP)、 双层车辆路径规划(2E-VRP)、 油电混合车辆路径规划、 船舶航迹规划、 全路径规划规划、 仓储巡逻
🌈 无人机应用方面
无人机路径规划、无人机控制、无人机编队、无人机协同、无人机任务分配、无人机安全通信轨迹在线优化、车辆协同无人机路径规划
🌈 通信方面
传感器部署优化、通信协议优化、路由优化、目标定位优化、Dv-Hop定位优化、Leach协议优化、WSN覆盖优化、组播优化、RSSI定位优化、水声通信、通信上传下载分配
🌈 信号处理方面
信号识别、信号加密、信号去噪、信号增强、雷达信号处理、信号水印嵌入提取、肌电信号、脑电信号、信号配时优化、心电信号、DOA估计、编码译码、变分模态分解、管道泄漏、滤波器、数字信号处理+传输+分析+去噪、数字信号调制、误码率、信号估计、DTMF、信号检测
🌈电力系统方面
微电网优化、无功优化、配电网重构、储能配置、有序充电、MPPT优化、家庭用电
🌈 元胞自动机方面
交通流 人群疏散 病毒扩散 晶体生长 金属腐蚀
🌈 雷达方面
卡尔曼滤波跟踪、航迹关联、航迹融合、SOC估计、阵列优化、NLOS识别
🌈 车间调度
零等待流水车间调度问题NWFSP 、 置换流水车间调度问题PFSP、 混合流水车间调度问题HFSP 、零空闲流水车间调度问题NIFSP、分布式置换流水车间调度问题 DPFSP、阻塞流水车间调度问题BFSP
👇
638

被折叠的 条评论
为什么被折叠?



