✅作者简介:热爱科研的Matlab仿真开发者,擅长数据处理、建模仿真、程序设计、完整代码获取、论文复现及科研仿真。
🍎 往期回顾关注个人主页:Matlab科研工作室
🍊个人信条:格物致知,完整Matlab代码及仿真咨询内容私信。
🔥 内容介绍
一、引言
在智能交通、智慧城市等城市场景中,对雷达探测与无线通信的协同需求日益增长。雷达通信一体化系统(Integrated Radar and Communication, IRC)可有效复用频谱资源,提升系统效率。然而,复杂城市环境中的多径衰落、遮挡等问题严重影响 IRC 系统性能。可重构智能表面(Reconfigurable Intelligent Surface, RIS)作为新兴技术,通过对反射信号相位、幅度的精确调控,能显著改善信号传播环境,增强系统鲁棒性。但在 RIS 辅助的 IRC 系统中,双功能波束成形设计需同时兼顾雷达探测精度与通信数据传输质量,是极具挑战的多目标优化问题。本文引入离散浣熊优化算法(Discrete Coati Optimization Algorithm, DCOA),对 RIS 辅助的双功能波束成形进行联合优化,旨在提升城市场景下 IRC 系统的整体性能。
二、RIS 辅助的双功能雷达和通信系统模型





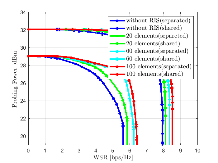
⛳️ 运行结果




📣 部分代码
figure;
load('./simulation_separated/baseline.mat');
pattern_baseline_sep = pattern_baseline;
wsr_baseline = [0; wsr_baseline;wsr_baseline(end)];
prob_power_baseline = [prob_power_baseline(1); prob_power_baseline;0];
plot(wsr_baseline, prob_power_baseline,'-^b','LineWidth',3,'MarkerSize',3);
hold on;
load('./simulation_shared/baseline.mat');
pattern_baseline_sh = pattern_baseline;
wsr_baseline = [0; wsr_baseline;wsr_baseline(end)];
prob_power_baseline = [prob_power_baseline(1); prob_power_baseline;0];
plot(wsr_baseline, prob_power_baseline,'-+b','LineWidth',3);
%% 20 elements
load('./simulation_separated/ris_aided_data/rician_1000/ris_aided_single.mat');
pattern_ris_20_sep = pattern_ris;
wsr_ris = [0; wsr_ris; wsr_ris(end)];
prob_power_ris = [prob_power_ris(1); prob_power_ris;0];
plot(wsr_ris, prob_power_ris,'-^g','LineWidth',3,'MarkerSize',3);
load('./simulation_shared/ris_aided_data/rician_1000/ris_aided_single.mat');
pattern_ris_20_sh = pattern_ris;
wsr_ris = [0; wsr_ris;wsr_ris(end)];
prob_power_ris = [prob_power_ris(1); prob_power_ris;0];
plot(wsr_ris, prob_power_ris,'-+g','LineWidth',3);
🔗 参考文献
Y. Liu, X. Liu, X. Mu, T. Hou, J. Xu, M. Di Renzo, and N. Al-Dhahir, “Re-configurable intelligent surfaces: Principles and opportunities,” IEEE Commu-nications Surveys Tutorials,pp. 1–1, 2021.
[2] S. Shen, B. Clerckx, and R. Murch, “Modeling and architecture design of intelligent reflecting surfaces using scattering parameter network analysis,” arXivpreprint arXiv:2011.11362,2020.
[3] F. Liu, C. Masouros, A. P. Petropulu, H. Griffiths, and L. Hanzo, “Joint radar and communication design: Applications, state-of-the-art, and the road ahead,”IEEE Transactions on Communications,vol. 68, no. 6, pp. 3834–3862, 2020.[4] F. Liu and C. Masouros, “A tutorial on joint radar and communication transmission for vehicular networks-part i: Background and fundamentals,” IEEE Communications Letters,2020.
🎈 部分理论引用网络文献,若有侵权联系博主删除
👇 关注我领取海量matlab电子书和数学建模资料
🏆团队擅长辅导定制多种科研领域MATLAB仿真,助力科研梦:
🌟 各类智能优化算法改进及应用
生产调度、经济调度、装配线调度、充电优化、车间调度、发车优化、水库调度、三维装箱、物流选址、货位优化、公交排班优化、充电桩布局优化、车间布局优化、集装箱船配载优化、水泵组合优化、解医疗资源分配优化、设施布局优化、可视域基站和无人机选址优化、背包问题、 风电场布局、时隙分配优化、 最佳分布式发电单元分配、多阶段管道维修、 工厂-中心-需求点三级选址问题、 应急生活物质配送中心选址、 基站选址、 道路灯柱布置、 枢纽节点部署、 输电线路台风监测装置、 集装箱调度、 机组优化、 投资优化组合、云服务器组合优化、 天线线性阵列分布优化、CVRP问题、VRPPD问题、多中心VRP问题、多层网络的VRP问题、多中心多车型的VRP问题、 动态VRP问题、双层车辆路径规划(2E-VRP)、充电车辆路径规划(EVRP)、油电混合车辆路径规划、混合流水车间问题、 订单拆分调度问题、 公交车的调度排班优化问题、航班摆渡车辆调度问题、选址路径规划问题、港口调度、港口岸桥调度、停机位分配、机场航班调度、泄漏源定位
🌟 机器学习和深度学习时序、回归、分类、聚类和降维
2.1 bp时序、回归预测和分类
2.2 ENS声神经网络时序、回归预测和分类
2.3 SVM/CNN-SVM/LSSVM/RVM支持向量机系列时序、回归预测和分类
2.4 CNN|TCN|GCN卷积神经网络系列时序、回归预测和分类
2.5 ELM/KELM/RELM/DELM极限学习机系列时序、回归预测和分类
2.6 GRU/Bi-GRU/CNN-GRU/CNN-BiGRU门控神经网络时序、回归预测和分类
2.7 ELMAN递归神经网络时序、回归\预测和分类
2.8 LSTM/BiLSTM/CNN-LSTM/CNN-BiLSTM/长短记忆神经网络系列时序、回归预测和分类
2.9 RBF径向基神经网络时序、回归预测和分类
2.10 DBN深度置信网络时序、回归预测和分类
2.11 FNN模糊神经网络时序、回归预测
2.12 RF随机森林时序、回归预测和分类
2.13 BLS宽度学习时序、回归预测和分类
2.14 PNN脉冲神经网络分类
2.15 模糊小波神经网络预测和分类
2.16 时序、回归预测和分类
2.17 时序、回归预测预测和分类
2.18 XGBOOST集成学习时序、回归预测预测和分类
2.19 Transform各类组合时序、回归预测预测和分类
方向涵盖风电预测、光伏预测、电池寿命预测、辐射源识别、交通流预测、负荷预测、股价预测、PM2.5浓度预测、电池健康状态预测、用电量预测、水体光学参数反演、NLOS信号识别、地铁停车精准预测、变压器故障诊断
🌟图像处理方面
图像识别、图像分割、图像检测、图像隐藏、图像配准、图像拼接、图像融合、图像增强、图像压缩感知
🌟 路径规划方面
旅行商问题(TSP)、车辆路径问题(VRP、MVRP、CVRP、VRPTW等)、无人机三维路径规划、无人机协同、无人机编队、机器人路径规划、栅格地图路径规划、多式联运运输问题、 充电车辆路径规划(EVRP)、 双层车辆路径规划(2E-VRP)、 油电混合车辆路径规划、 船舶航迹规划、 全路径规划规划、 仓储巡逻
🌟 无人机应用方面
无人机路径规划、无人机控制、无人机编队、无人机协同、无人机任务分配、无人机安全通信轨迹在线优化、车辆协同无人机路径规划
🌟 通信方面
传感器部署优化、通信协议优化、路由优化、目标定位优化、Dv-Hop定位优化、Leach协议优化、WSN覆盖优化、组播优化、RSSI定位优化、水声通信、通信上传下载分配
🌟 信号处理方面
信号识别、信号加密、信号去噪、信号增强、雷达信号处理、信号水印嵌入提取、肌电信号、脑电信号、信号配时优化、心电信号、DOA估计、编码译码、变分模态分解、管道泄漏、滤波器、数字信号处理+传输+分析+去噪、数字信号调制、误码率、信号估计、DTMF、信号检测
🌟电力系统方面
微电网优化、无功优化、配电网重构、储能配置、有序充电、MPPT优化、家庭用电、电/冷/热负荷预测、电力设备故障诊断、电池管理系统(BMS)SOC/SOH估算(粒子滤波/卡尔曼滤波)、 多目标优化在电力系统调度中的应用、光伏MPPT控制算法改进(扰动观察法/电导增量法)
🌟 元胞自动机方面
交通流 人群疏散 病毒扩散 晶体生长 金属腐蚀
🌟 雷达方面
卡尔曼滤波跟踪、航迹关联、航迹融合、SOC估计、阵列优化、NLOS识别
🌟 车间调度
零等待流水车间调度问题NWFSP 、 置换流水车间调度问题PFSP、 混合流水车间调度问题HFSP 、零空闲流水车间调度问题NIFSP、分布式置换流水车间调度问题 DPFSP、阻塞流水车间调度问题BFSP
👇
756

被折叠的 条评论
为什么被折叠?



