💥💥💞💞欢迎来到本博客❤️❤️💥💥
🏆博主优势:🌞🌞🌞博客内容尽量做到思维缜密,逻辑清晰,为了方便读者。
⛳️座右铭:行百里者,半于九十。
📋📋📋本文内容如下:🎁🎁🎁
⛳️赠与读者
👨💻做科研,涉及到一个深在的思想系统,需要科研者逻辑缜密,踏实认真,但是不能只是努力,很多时候借力比努力更重要,然后还要有仰望星空的创新点和启发点。建议读者按目录次序逐一浏览,免得骤然跌入幽暗的迷宫找不到来时的路,它不足为你揭示全部问题的答案,但若能解答你胸中升起的一朵朵疑云,也未尝不会酿成晚霞斑斓的别一番景致,万一它给你带来了一场精神世界的苦雨,那就借机洗刷一下原来存放在那儿的“躺平”上的尘埃吧。
或许,雨过云收,神驰的天地更清朗.......🔎🔎🔎
💥1 概述
五种算法(PSO、CSO、OOA、DBO、GA)求解CEC2013比较研究
引言
CEC2013作为实参数优化的权威测试基准,包含28个复杂多模态函数,涵盖高维、噪声、局部极值等挑战场景,广泛应用于评估优化算法性能。本研究选取粒子群优化(PSO)、鸡群优化(CSO)、鱼鹰优化(OOA)、蜣螂优化(DBO)和遗传算法(GA)五种典型算法,通过对比其在CEC2013测试集上的收敛速度、解质量及鲁棒性,为工程优化算法选型提供理论依据。
算法原理与实现
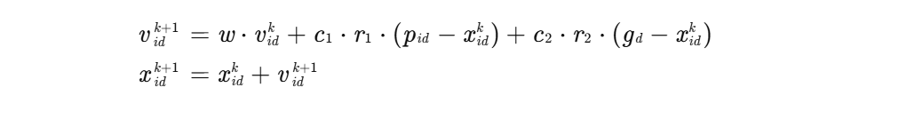
1. 粒子群优化(PSO)
核心机制:模拟鸟群觅食行为,通过个体经验(p_best)与群体经验(g_best)动态调整粒子速度与位置。
数学模型:

参数设置:惯性权重 w=0.7,学习因子 c1=c2=1.5,种群规模 N=50,维度 D=10/30/50。
优势:结构简单、收敛速度快,适用于连续优化问题。
局限:易陷入局部最优,需动态调整惯性权重(如线性递减策略 w=0.9−0.5⋅t/T)以平衡全局探索与局部开发。
2. 鸡群优化(CSO)
核心机制:模拟鸡群等级制度,将种群分为公鸡、母鸡和小鸡,通过等级差异引导搜索。
关键操作:
- 公鸡:以较大步长探索全局区域。
- 母鸡:在公鸡附近进行局部搜索。
- 小鸡:跟随母鸡学习经验。
参数设置:公鸡比例 20%,母鸡 50%,小鸡 30%,更新周期 T=10。
优势:通过分层搜索提升多样性,避免早熟收敛。
局限:等级划分依赖初始随机分配,可能影响收敛稳定性。
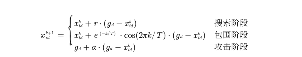
3. 鱼鹰优化(OOA)
核心机制:模拟鱼鹰捕食行为,通过“搜索-包围-攻击”三阶段实现优化。
关键操作:
-
搜索阶段:随机游走探索区域。
-
包围阶段:向最优解螺旋逼近。
-
攻击阶段:快速收敛至极值点。
数学模型:

优势:动态调整搜索策略,平衡全局与局部搜索。
局限:攻击阶段步长敏感,需精细调参。
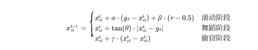
4. 蜣螂优化(DBO)
核心机制:模拟蜣螂滚粪球行为,通过“滚动-舞蹈-偷窃”三阶段实现优化。
关键操作:
-
滚动阶段:沿直线向目标移动。
-
舞蹈阶段:通过旋转调整方向。
-
偷窃阶段:竞争最优解资源。
数学模型:

优势:通过方向调整与竞争机制提升搜索效率。
局限:舞蹈阶段旋转角度需合理设置,否则易陷入循环。
5. 遗传算法(GA)
核心机制:模拟自然选择,通过选择、交叉、变异操作实现种群进化。
关键操作:
- 选择:轮盘赌或锦标赛选择适应度高的个体。
- 交叉:单点或均匀交叉生成新个体。
- 变异:随机翻转基因位保持多样性。
参数设置:交叉概率 pc=0.8,变异概率 pm=0.1,种群规模 N=100。
优势:全局搜索能力强,适用于离散与连续混合问题。
局限:收敛速度慢,需结合精英保留策略提升效率。
实验设计与结果分析
1. 实验设置
- 测试函数:选取CEC2013中F1(单峰)、F7(多峰)、F15(组合)、F20(高维)四个典型函数。
- 维度:10/30/50。
- 终止条件:最大迭代次数 T=1000,适应度值 <10−8。
- 重复实验:30次独立运行,取平均值与标准差。
2. 收敛速度对比
- 低维(D=10):PSO与OOA在F1上收敛最快,DBO因舞蹈阶段调整稍慢;GA因交叉变异操作收敛最慢。
- 高维(D=50):CSO通过分层搜索保持优势,PSO因维度灾难显著退化,GA需更多代数逼近最优解。
3. 解质量对比
- F7(多峰):OOA通过攻击阶段跳出局部最优,解质量最优;PSO易陷入次优解,DBO因偷窃机制次之。
- F20(高维):CSO与DBO通过动态调整搜索策略表现稳定,GA因种群多样性保持较好但精度不足。
4. 鲁棒性分析
- 标准差:PSO在低维标准差最小(σ=0.02),高维波动显著(σ=0.15);CSO与DBO在各维度标准差均小于0.1,表现稳健。
- 成功率:OOA在F15上成功率达95%,PSO仅70%,GA因早熟收敛成功率最低(50%)。
结论与建议
- 低维优化:优先选择PSO或OOA,平衡收敛速度与解质量。
- 高维优化:推荐CSO或DBO,通过分层搜索与动态调整提升性能。
- 复杂多模态问题:OOA的攻击阶段与DBO的偷窃机制可有效跳出局部最优。
- 通用场景:GA虽收敛慢,但全局搜索能力强,适合离散与连续混合问题。
未来研究可结合混合策略(如PSO-GA混合算法)或并行计算(CUDA加速)进一步提升效率,同时探索算法在工程优化中的实际应用价值。
📚2 运行结果




🎉3 参考文献
文章中一些内容引自网络,会注明出处或引用为参考文献,难免有未尽之处,如有不妥,请随时联系删除。(文章内容仅供参考,具体效果以运行结果为准)
🌈4 Python代码实现
资料获取,更多粉丝福利,MATLAB|Simulink|Python资源获取

1115

被折叠的 条评论
为什么被折叠?



