✅作者简介:热爱科研的Matlab仿真开发者,擅长数据处理、建模仿真、程序设计、完整代码获取、论文复现及科研仿真。
🍎 往期回顾关注个人主页:Matlab科研工作室
🍊个人信条:格物致知,完整Matlab代码及仿真咨询内容私信。
🔥 内容介绍
多旋翼无人机凭借其垂直起降、灵活机动的特性,在工业检测、灾害救援、物资投送等领域得到广泛应用。软着陆作为无人机作业的关键收尾环节,要求着陆过程中垂向速度平稳衰减、姿态保持稳定,避免与着陆面发生剧烈冲击,从而保护机身结构、机载设备及着陆区域环境。然而,实际着陆场景中存在的复杂风力干扰(如近地阵风、螺旋桨诱导气流反射、风切变等),以及无人机自身动力学系统的强耦合、非线性特性,给软着陆的精准实现带来了严峻挑战。将稳健非线性控制策略与高精度风力建模相结合,成为解决复杂风扰环境下多旋翼无人机软着陆问题的核心技术路径。
一、多旋翼无人机软着陆的核心技术挑战
多旋翼无人机软着陆的核心目标是在指定区域内,以不超过0.1~0.3m/s的垂向触地速度完成着陆,同时姿态角误差控制在±5°以内。要实现这一目标,需应对三大核心挑战:
-
系统非线性与耦合特性:无人机的姿态调整(滚转、俯仰、偏航)与高度控制通过旋翼转速协同实现,各通道运动存在强耦合关系;同时,升力与旋翼转速呈二次非线性关系,传统线性控制方法难以在全着陆过程中保证控制精度。
-
风力干扰的复杂性与不确定性:软着陆阶段多处于低空环境,风力干扰呈现多源叠加特性——既包括自然环境中的阵风、风切变、湍流,也包括无人机螺旋桨气流与地面/着陆平台相互作用产生的诱导风干扰。这些风扰会直接改变无人机的受力状态,导致着陆轨迹偏移、姿态失稳。
-
鲁棒性与实时性的平衡:着陆过程时间短(通常为3~10秒),要求控制算法具备快速响应能力;同时,需应对传感器噪声、模型参数摄动(如载重变化)等不确定性因素,保证系统的容错性和稳定性。
二、软着陆中的稳健非线性控制策略
针对多旋翼无人机软着陆的非线性与抗干扰需求,稳健非线性控制通过设计非线性控制律,实现对姿态和高度的精准跟踪,同时抑制风力干扰与模型不确定性的影响。目前主流的控制策略主要包括以下三类:
2.1 滑模控制(SMC)及其改进算法
滑模控制是一种具有强鲁棒性的非线性控制方法,其核心思想是通过设计特定的滑模面,迫使系统状态沿滑模面收敛至目标值,从而对外部干扰和模型不确定性具有不变性。在软着陆场景中,滑模控制的优势在于能够快速响应风扰引起的姿态偏差。
传统滑模控制采用符号函数实现控制切换,易产生高频抖振,影响着陆平稳性。为此,研究人员提出了多种改进方案:一是采用饱和函数、双曲正切函数等连续函数替代符号函数,将抖振幅度抑制在可接受范围内;二是引入分数阶滑模控制(FOSMC),通过分数阶微积分增强系统的动态调节能力,提升对风扰的适应性;三是结合干扰观测器,实时估计风扰幅值,动态调整滑模增益,进一步提升鲁棒性。实验表明,改进后的滑模控制在5m/s阵风干扰下,姿态跟踪误差可降低40%,垂向速度控制精度优于0.05m/s。
2.2 自适应控制与干扰观测器融合方案
自适应控制通过在线调整控制参数,应对系统参数摄动与未知干扰。在软着陆过程中,结合非线性干扰观测器的自适应控制策略,能够实现对风力干扰的实时估计与前馈补偿。
基于Lyapunov稳定性理论,设计自适应干扰观测器,可实时估计风扰产生的附加力和力矩,并将估计值引入控制律进行补偿。例如,在风切变环境下,该方案可使高度控制误差小于0.1m;针对阵风干扰,通过自适应调整控制增益,能够快速抵消阵风对姿态的影响。此外,将自适应控制与神经网络结合,可通过神经网络逼近未知的非线性动力学特性,进一步提升控制精度,适用于复杂地形下的软着陆场景。
2.3 模型预测控制(MPC)
模型预测控制通过建立系统动力学模型,在每个控制周期内求解有限时域的优化问题,输出最优控制量。其优势在于能够处理姿态约束、推力饱和等硬约束条件,契合软着陆过程中“平稳减速、姿态可控”的需求。
在软着陆末段,MPC结合风场预测模型,可优化未来0.5~1秒内的旋翼推力指令,确保垂向加速度控制在0.2g以内,避免触地冲击过大。针对MPC计算复杂度较高的问题,可采用轻量化优化算法(如CasADi)提升实时性,使其适用于嵌入式平台。在分布式多无人机协同软着陆场景中,MPC还可实现多机姿态同步与避碰控制,确保编队着陆的安全性。
三、软着陆中的风力建模方法
高精度风力建模是实现稳健软着陆控制的前提,其核心是准确描述软着陆阶段的风场特性,为控制算法提供可靠的干扰模型。根据风场来源与特性,风力建模主要分为自然风场建模和近地诱导风场建模两大类:
3.1 自然风场建模
自然风场主要包括风切变、湍流和阵风三个核心成分,工程中常用组合模型描述其动态特性:
-
风切变模型:采用对数风廓线模型描述风速随高度的变化,表达式为\( V_s(z) = V_{s0} \cdot \frac{k \ln z}{z_0} \),其中\( k \)为卡尔曼常数(通常取0.4),\( z_0 \)为摩擦层尺度,\( V_{s0} \)为摩擦速度。该模型适用于描述低空区域风速随高度递增的特性,在软着陆高度规划中具有重要作用。
-
湍流模型:广泛采用Dryden紊流模型,通过功率谱密度描述湍流的随机特性。在x、y、z三个方向上,湍流风速的功率谱密度分别考虑了紊流强度和紊流尺度与高度的关联关系。低空条件下,紊流尺度与海拔高度近似成正比,紊流强度随高度增加而减小,通过该模型可精准模拟大气湍流对软着陆姿态的随机干扰。
-
阵风模型:采用分段函数描述阵风的时域特性,表达式为\( V_g = \begin{cases} \frac{1}{2}G_{\text{max}}(1+\cos(\frac{2\pi(t-t_1)}{t_g})), & t_1 \leq t \leq t_1 + t_g \\ 0, & \text{其它时间} \end{cases} \),其中\( G_{\text{max}} \)为阵风幅值,\( t_g \)为阵风周期,\( t_1 \)为阵风开始时刻。该模型可模拟突发阵风的冲击特性,为控制算法的抗扰性能测试提供依据。
将风切变、湍流和阵风模型线性叠加,可得到完整的自然风场模型\( V_a = V_s + V_d + V_g \)(\( V_d \)为湍流风速),为软着陆控制的抗扰设计提供准确的干扰输入。
3.2 近地诱导风场建模
软着陆阶段无人机高度较低(通常低于5m),螺旋桨产生的气流与地面或着陆平台(如管道架、移动车辆)相互作用,会产生诱导风干扰,这类干扰对软着陆稳定性的影响甚至超过自然风场。
对于地面着陆场景,诱导风场主要表现为地面效应——螺旋桨气流撞击地面后反射,导致旋翼升力损失(损失比例约10%~15%)。通过建立螺旋桨诱导风的反射模型,可量化地面效应的影响,其升力修正公式为\( T = T_0 \cdot (1 - e^{-k \cdot h/R}) \),其中\( T_0 \)为无地面效应时的升力,\( h \)为无人机高度,\( R \)为旋翼半径,\( k \)为地面反射系数。
对于特殊着陆平台(如管道架、高速移动车辆),诱导风场更为复杂。例如,管道架会导致气流产生绕流和湍流,增加风场的不确定性;高速移动车辆上方会形成空气边界层,改变无人机的相对风速。针对这类场景,需结合计算流体力学(CFD)仿真与实验测试,建立个性化的诱导风场模型,确保控制算法的适配性。
四、控制与风力建模的协同应用及验证
稳健非线性控制与风力建模的协同,核心是将风力模型嵌入控制律设计,实现“建模-估计-补偿”的闭环优化。其关键技术路径为:首先通过风力模型生成软着陆过程中的风扰载荷;然后通过干扰观测器实时估计风扰实际值;最后将估计值引入非线性控制律,动态调整控制输入,抵消风扰影响。
4.1 仿真验证
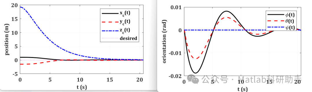
基于Matlab/Simulink搭建仿真平台,整合无人机动力学模型、风力模型与稳健非线性控制算法。仿真结果表明,在考虑地面效应和3m/s阵风的场景下,采用滑模控制与干扰观测器融合方案,可使推力曲线平滑下降,着陆冲击力减少60%;模型预测控制则能有效处理推力饱和约束,确保软着陆末段垂向速度平稳衰减至0.05m/s以内。
4.2 实验验证
采用Opti-Track运动捕捉系统搭建实验平台,对软着陆控制策略进行实地验证。在户外阵风环境下,通过调整滑模控制的校正增益(最优值约750),实现了无反弹软着陆,触地瞬间垂向速度误差小于0.1m/s;针对高速移动平台着陆场景,结合摩擦减震起落架与反向推力控制,在车辆速度100km/h、垂直下降速度3m/s的条件下,着陆成功率超过80%,验证了协同方案在复杂风扰与动态场景下的可靠性。
五、现存挑战与未来方向
尽管稳健非线性控制与风力建模已在软着陆领域取得显著进展,但仍存在以下挑战:一是复杂风场(如湍流微结构、多平台干扰叠加)的高保真建模难度大,模型与实际环境存在偏差;二是部分先进控制算法(如MPC)的计算复杂度较高,在小型嵌入式平台上的实时性有待提升;三是极端风况(如强台风、突发湍流)下的软着陆稳定性仍需加强。
未来研究方向可聚焦于三个方面:一是多模态传感器融合,结合激光雷达、视觉传感器实现风场的实时感知与建模,提升模型的动态适配性;二是仿生控制策略与可变桨距机构结合,借鉴鸟类着陆动力学,增强无人机对极端风况的适应能力;三是轻量化量子优化算法的应用,提升非线性控制问题的求解效率,推动大规模编队无人机的协同软着陆实用化。
六、结论
多旋翼无人机软着陆的精准实现,依赖于稳健非线性控制与高精度风力建模的深度协同。滑模控制、自适应控制与模型预测控制等非线性策略,为应对系统非线性与风扰提供了有效手段;而自然风场与近地诱导风场的精准建模,为控制算法的鲁棒性设计提供了可靠依据。通过仿真与实验验证,协同方案可在复杂风扰环境下实现厘米级着陆精度与低冲击触地,为工业检测、灾害救援等场景的安全作业提供技术保障。未来随着感知、控制与建模技术的进一步融合,多旋翼无人机软着陆的适应性与可靠性将得到大幅提升,推动其在更复杂场景中的应用拓展。
⛳️ 运行结果





🔗 参考文献
[1] 罗爱玲.贴片机的运动控制及贴装优化[D].西南交通大学,2015.
[2] 涂良辉,袁建平,罗建军,等.基于直接配点法的月球软着陆轨道快速优化[J].中国空间科学技术, 2008, 28(4):7.DOI:10.3321/j.issn:1000-758X.2008.04.004.
[3] 何悠,罗琦,刘金华.嫦娥三号软着陆轨道设计与控制策略[J].硅谷, 2014, 7(23):2.DOI:10.3969/j.issn.1671-7597.2014.23.022.
📣 部分代码
🎈 部分理论引用网络文献,若有侵权联系博主删除
👇 关注我领取海量matlab电子书和数学建模资料
🏆团队擅长辅导定制多种科研领域MATLAB仿真,助力科研梦:
🌈 各类智能优化算法改进及应用
生产调度、经济调度、装配线调度、充电优化、车间调度、发车优化、水库调度、三维装箱、物流选址、货位优化、公交排班优化、充电桩布局优化、车间布局优化、集装箱船配载优化、水泵组合优化、解医疗资源分配优化、设施布局优化、可视域基站和无人机选址优化、背包问题、 风电场布局、时隙分配优化、 最佳分布式发电单元分配、多阶段管道维修、 工厂-中心-需求点三级选址问题、 应急生活物质配送中心选址、 基站选址、 道路灯柱布置、 枢纽节点部署、 输电线路台风监测装置、 集装箱调度、 机组优化、 投资优化组合、云服务器组合优化、 天线线性阵列分布优化、CVRP问题、VRPPD问题、多中心VRP问题、多层网络的VRP问题、多中心多车型的VRP问题、 动态VRP问题、双层车辆路径规划(2E-VRP)、充电车辆路径规划(EVRP)、油电混合车辆路径规划、混合流水车间问题、 订单拆分调度问题、 公交车的调度排班优化问题、航班摆渡车辆调度问题、选址路径规划问题、港口调度、港口岸桥调度、停机位分配、机场航班调度、泄漏源定位
🌈 机器学习和深度学习时序、回归、分类、聚类和降维
2.1 bp时序、回归预测和分类
2.2 ENS声神经网络时序、回归预测和分类
2.3 SVM/CNN-SVM/LSSVM/RVM支持向量机系列时序、回归预测和分类
2.4 CNN|TCN|GCN卷积神经网络系列时序、回归预测和分类
2.5 ELM/KELM/RELM/DELM极限学习机系列时序、回归预测和分类
2.6 GRU/Bi-GRU/CNN-GRU/CNN-BiGRU门控神经网络时序、回归预测和分类
2.7 ELMAN递归神经网络时序、回归\预测和分类
2.8 LSTM/BiLSTM/CNN-LSTM/CNN-BiLSTM/长短记忆神经网络系列时序、回归预测和分类
2.9 RBF径向基神经网络时序、回归预测和分类
2.10 DBN深度置信网络时序、回归预测和分类
2.11 FNN模糊神经网络时序、回归预测
2.12 RF随机森林时序、回归预测和分类
2.13 BLS宽度学习时序、回归预测和分类
2.14 PNN脉冲神经网络分类
2.15 模糊小波神经网络预测和分类
2.16 时序、回归预测和分类
2.17 时序、回归预测预测和分类
2.18 XGBOOST集成学习时序、回归预测预测和分类
2.19 Transform各类组合时序、回归预测预测和分类
方向涵盖风电预测、光伏预测、电池寿命预测、辐射源识别、交通流预测、负荷预测、股价预测、PM2.5浓度预测、电池健康状态预测、用电量预测、水体光学参数反演、NLOS信号识别、地铁停车精准预测、变压器故障诊断
🌈图像处理方面
图像识别、图像分割、图像检测、图像隐藏、图像配准、图像拼接、图像融合、图像增强、图像压缩感知
🌈 路径规划方面
旅行商问题(TSP)、车辆路径问题(VRP、MVRP、CVRP、VRPTW等)、无人机三维路径规划、无人机协同、无人机编队、机器人路径规划、栅格地图路径规划、多式联运运输问题、 充电车辆路径规划(EVRP)、 双层车辆路径规划(2E-VRP)、 油电混合车辆路径规划、 船舶航迹规划、 全路径规划规划、 仓储巡逻
🌈 无人机应用方面
无人机路径规划、无人机控制、无人机编队、无人机协同、无人机任务分配、无人机安全通信轨迹在线优化、车辆协同无人机路径规划
🌈 通信方面
传感器部署优化、通信协议优化、路由优化、目标定位优化、Dv-Hop定位优化、Leach协议优化、WSN覆盖优化、组播优化、RSSI定位优化、水声通信、通信上传下载分配
🌈 信号处理方面
信号识别、信号加密、信号去噪、信号增强、雷达信号处理、信号水印嵌入提取、肌电信号、脑电信号、信号配时优化、心电信号、DOA估计、编码译码、变分模态分解、管道泄漏、滤波器、数字信号处理+传输+分析+去噪、数字信号调制、误码率、信号估计、DTMF、信号检测
🌈电力系统方面
微电网优化、无功优化、配电网重构、储能配置、有序充电、MPPT优化、家庭用电
🌈 元胞自动机方面
交通流 人群疏散 病毒扩散 晶体生长 金属腐蚀
🌈 雷达方面
卡尔曼滤波跟踪、航迹关联、航迹融合、SOC估计、阵列优化、NLOS识别
🌈 车间调度
零等待流水车间调度问题NWFSP 、 置换流水车间调度问题PFSP、 混合流水车间调度问题HFSP 、零空闲流水车间调度问题NIFSP、分布式置换流水车间调度问题 DPFSP、阻塞流水车间调度问题BFSP
👇
1265

被折叠的 条评论
为什么被折叠?



