✅作者简介:热爱科研的Matlab仿真开发者,擅长数据处理、建模仿真、程序设计、完整代码获取、论文复现及科研仿真。
🍎 往期回顾关注个人主页:Matlab科研工作室
🍊个人信条:格物致知,完整Matlab代码及仿真咨询内容私信。
🔥 内容介绍
一、研究背景与意义
在全球能源转型加速推进的背景下,微电网凭借其对分布式能源的高效整合能力,成为实现能源清洁化与本地化供应的核心载体。微电网优化调度需在满足负荷需求的前提下,同时实现经济性、环保性、可靠性等多目标的协同优化,而传统单目标优化方法无法应对多目标间的冲突性,多目标优化算法成为解决该问题的关键技术手段。
当前,多目标麻雀搜索算法(MSSA)、多目标人工蜂群算法(MOAHA)、多目标粒子群优化算法(MOPSO)、非支配排序遗传算法 Ⅲ(NSGA3)、非支配排序遗传算法 Ⅱ(NSGA2)已在能源优化领域展现出应用潜力。然而,现有研究多聚焦于单一算法的改进与验证,缺乏在统一微电网场景下对这五种算法的性能差异、参数敏感性及适用场景的系统性对比分析。本研究通过构建标准化的微电网优化调度模型,从多维度评价五种算法的求解效果,可为不同微电网运行场景下的算法选型提供科学依据,对提升微电网调度的经济性与环保性具有重要的工程价值与学术意义。
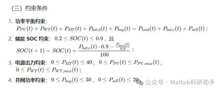
二、五种多目标优化算法原理概述





四、研究结论与展望
(一)研究结论
- 在微电网多目标优化调度中,MSSA 在收敛性上表现最优,NSGA3 在多样性与均匀性上优势显著,NSGA2 综合性能均衡,三者均优于 MOAHA 与 MOPSO;
- 算法性能受目标维度影响显著:低维目标(2-3 维)下,MSSA 与 NSGA2 更具优势;高维目标(≥3 维)下,NSGA3 的参考点机制更能维持解集质量;
- 约束复杂度对算法影响较大:MOAHA 与 MSSA 在复杂约束场景下鲁棒性更强,MOPSO 对约束条件敏感性较高。
(二)未来展望
- 引入不确定性场景(如光伏出力波动、负荷突变),研究五种算法的鲁棒优化能力,提升模型的工程适用性;
- 探索算法混合策略(如 MSSA 的搜索机制与 NSGA3 的参考点结合),进一步优化收敛性与多样性的平衡;
- 结合数字孪生技术,构建微电网实时调度平台,将算法求解结果应用于实际系统的动态调控。
⛳️ 运行结果




🔗 参考文献
[1] 王金华,尹泽勇.基于NSGA-Ⅱ和MOPSO融合的一种多目标优化算法[J].计算机应用, 2007, 27(11):2817-2820.
[2] 杨宁,霍炬,杨明.基于多层次信息交互的多目标粒子群优化算法[J].控制与决策, 2016, 31(5):6.DOI:10.13195/j.kzyjc.2015.0109.
[3] 范培蕾,杨涛,张晓今.基于角度坐标的多目标粒子群优化算法[J].系统工程与电子技术, 2010(8):5.DOI:10.3969/j.issn.1001-506X.2010.08.42.
📣 部分代码
🎈 部分理论引用网络文献,若有侵权联系博主删除
👇 关注我领取海量matlab电子书和数学建模资料
🏆团队擅长辅导定制多种科研领域MATLAB仿真,助力科研梦:
🌈 各类智能优化算法改进及应用
生产调度、经济调度、装配线调度、充电优化、车间调度、发车优化、水库调度、三维装箱、物流选址、货位优化、公交排班优化、充电桩布局优化、车间布局优化、集装箱船配载优化、水泵组合优化、解医疗资源分配优化、设施布局优化、可视域基站和无人机选址优化、背包问题、 风电场布局、时隙分配优化、 最佳分布式发电单元分配、多阶段管道维修、 工厂-中心-需求点三级选址问题、 应急生活物质配送中心选址、 基站选址、 道路灯柱布置、 枢纽节点部署、 输电线路台风监测装置、 集装箱调度、 机组优化、 投资优化组合、云服务器组合优化、 天线线性阵列分布优化、CVRP问题、VRPPD问题、多中心VRP问题、多层网络的VRP问题、多中心多车型的VRP问题、 动态VRP问题、双层车辆路径规划(2E-VRP)、充电车辆路径规划(EVRP)、油电混合车辆路径规划、混合流水车间问题、 订单拆分调度问题、 公交车的调度排班优化问题、航班摆渡车辆调度问题、选址路径规划问题、港口调度、港口岸桥调度、停机位分配、机场航班调度、泄漏源定位
🌈 机器学习和深度学习时序、回归、分类、聚类和降维
2.1 bp时序、回归预测和分类
2.2 ENS声神经网络时序、回归预测和分类
2.3 SVM/CNN-SVM/LSSVM/RVM支持向量机系列时序、回归预测和分类
2.4 CNN|TCN|GCN卷积神经网络系列时序、回归预测和分类
2.5 ELM/KELM/RELM/DELM极限学习机系列时序、回归预测和分类
2.6 GRU/Bi-GRU/CNN-GRU/CNN-BiGRU门控神经网络时序、回归预测和分类
2.7 ELMAN递归神经网络时序、回归\预测和分类
2.8 LSTM/BiLSTM/CNN-LSTM/CNN-BiLSTM/长短记忆神经网络系列时序、回归预测和分类
2.9 RBF径向基神经网络时序、回归预测和分类
2.10 DBN深度置信网络时序、回归预测和分类
2.11 FNN模糊神经网络时序、回归预测
2.12 RF随机森林时序、回归预测和分类
2.13 BLS宽度学习时序、回归预测和分类
2.14 PNN脉冲神经网络分类
2.15 模糊小波神经网络预测和分类
2.16 时序、回归预测和分类
2.17 时序、回归预测预测和分类
2.18 XGBOOST集成学习时序、回归预测预测和分类
2.19 Transform各类组合时序、回归预测预测和分类
方向涵盖风电预测、光伏预测、电池寿命预测、辐射源识别、交通流预测、负荷预测、股价预测、PM2.5浓度预测、电池健康状态预测、用电量预测、水体光学参数反演、NLOS信号识别、地铁停车精准预测、变压器故障诊断
🌈图像处理方面
图像识别、图像分割、图像检测、图像隐藏、图像配准、图像拼接、图像融合、图像增强、图像压缩感知
🌈 路径规划方面
旅行商问题(TSP)、车辆路径问题(VRP、MVRP、CVRP、VRPTW等)、无人机三维路径规划、无人机协同、无人机编队、机器人路径规划、栅格地图路径规划、多式联运运输问题、 充电车辆路径规划(EVRP)、 双层车辆路径规划(2E-VRP)、 油电混合车辆路径规划、 船舶航迹规划、 全路径规划规划、 仓储巡逻
🌈 无人机应用方面
无人机路径规划、无人机控制、无人机编队、无人机协同、无人机任务分配、无人机安全通信轨迹在线优化、车辆协同无人机路径规划
🌈 通信方面
传感器部署优化、通信协议优化、路由优化、目标定位优化、Dv-Hop定位优化、Leach协议优化、WSN覆盖优化、组播优化、RSSI定位优化、水声通信、通信上传下载分配
🌈 信号处理方面
信号识别、信号加密、信号去噪、信号增强、雷达信号处理、信号水印嵌入提取、肌电信号、脑电信号、信号配时优化、心电信号、DOA估计、编码译码、变分模态分解、管道泄漏、滤波器、数字信号处理+传输+分析+去噪、数字信号调制、误码率、信号估计、DTMF、信号检测
🌈电力系统方面
微电网优化、无功优化、配电网重构、储能配置、有序充电、MPPT优化、家庭用电
🌈 元胞自动机方面
交通流 人群疏散 病毒扩散 晶体生长 金属腐蚀
🌈 雷达方面
卡尔曼滤波跟踪、航迹关联、航迹融合、SOC估计、阵列优化、NLOS识别
🌈 车间调度
零等待流水车间调度问题NWFSP 、 置换流水车间调度问题PFSP、 混合流水车间调度问题HFSP 、零空闲流水车间调度问题NIFSP、分布式置换流水车间调度问题 DPFSP、阻塞流水车间调度问题BFSP
👇
五种多目标算法对比微电网调度
125

被折叠的 条评论
为什么被折叠?



