✅作者简介:热爱科研的Matlab仿真开发者,擅长数据处理、建模仿真、程序设计、完整代码获取、论文复现及科研仿真。
🍎个人主页:Matlab科研工作室
🍊个人信条:格物致知,求助可私信。
🔥 内容介绍
直流微电网因其高效、灵活和易于集成的特性,在分布式能源利用和智能电网建设中扮演着日益重要的角色。然而,直流微电网中分布式电源和负载的复杂性和不确定性给其优化调度带来了严峻挑战。本文深入探讨了基于双层共识控制的直流微电网优化调度策略。首先,阐述了直流微电网的特点和调度挑战;其次,详细介绍了双层共识控制框架,该框架由上层优化层和下层共识控制层构成,上层优化层负责全局优化目标,下层共识控制层负责实现分布式电源的自主协调和功率分配;最后,讨论了该框架在不同场景下的应用和仿真结果,并展望了未来的研究方向。研究表明,基于双层共识控制的优化调度策略能够有效地提高直流微电网的运行效率、稳定性和可靠性。
1. 引言
随着全球能源危机和环境问题的日益突出,可再生能源的开发利用已成为全球共识。作为一种高效的能源系统,直流微电网凭借其独特的优势,如更高的传输效率、更低的损耗、更易于接入直流电源和负载等,在分布式能源接入、电动汽车充电、数据中心供电等领域得到了广泛应用。然而,直流微电网通常由多个分布式电源(Distributed Generation, DG)、储能系统(Energy Storage System, ESS)和负载组成,其运行特性复杂,且易受环境因素和设备故障的影响。如何有效地调度这些分布式资源,实现直流微电网的安全、稳定和经济运行,成为当前研究的热点和难点。
传统的集中式控制方法虽然具有良好的全局优化性能,但在处理大规模、分布式的直流微电网时,往往面临通信负担过重、单点故障风险高、扩展性差等问题。相比之下,分布式控制策略因其具有鲁棒性强、可扩展性好和灵活性高等优点,受到了越来越多的关注。其中,共识控制作为一种典型的分布式控制方法,可以实现分布式节点之间的信息交互和协同,使得系统中的所有节点能够就某个共同的目标达成一致。
本文旨在探讨基于双层共识控制的直流微电网优化调度策略。该策略将全局优化目标分解为局部子问题,并通过双层框架实现全局优化和分布式控制的有机结合。上层优化层负责制定全局的调度策略,下层共识控制层负责实现分布式电源的自主协调和功率分配。这种双层结构既能保证系统的全局优化性能,又能提高系统的鲁棒性和可扩展性。
2. 直流微电网及其调度挑战
2.1 直流微电网的特点
直流微电网与传统的交流电网相比,具有以下显著特点:
-
高效率: 直流传输避免了交流传输中的频率转换损耗和无功功率问题,因此具有更高的传输效率和更低的能量损耗。
-
易于接入直流电源和负载: 大多数可再生能源,如太阳能和燃料电池,以及许多现代负载,如LED照明和电子设备,都是以直流形式运行的,这使得直流微电网更易于接入这些设备。
-
灵活的控制和管理: 直流微电网可以通过直流变换器实现灵活的电压控制和功率管理,从而提高系统的运行效率和可靠性。
-
兼容性: 直流微电网可以与交流电网灵活地互联,从而实现更大的能源互联和共享。
2.2 直流微电网的调度挑战
尽管直流微电网具有诸多优势,其优化调度仍然面临以下挑战:
-
分布式电源的不确定性: 光伏、风力等可再生能源的出力具有间歇性和不确定性,这给直流微电网的稳定运行带来了挑战。
-
负载的随机性和波动性: 负载的变化具有随机性和波动性,这需要调度策略能够快速适应并做出相应调整。
-
多目标优化问题: 直流微电网的优化调度通常需要考虑多个目标,如运行成本最小化、能量损耗最小化、系统稳定性最大化等,这些目标之间往往存在冲突,需要进行折衷处理。
-
通信约束: 在大规模直流微电网中,通信网络可能存在延迟、丢包和带宽限制等问题,这给分布式控制策略带来了挑战。
3. 基于双层共识控制的优化调度框架
3.1 双层共识控制框架概述
本文提出的基于双层共识控制的优化调度框架,由上层优化层和下层共识控制层组成,其架构如图1所示。
[此处应插入图1:双层共识控制框架示意图,包含上层优化层和下层共识控制层,以及两者之间的信息交互]
-
上层优化层: 上层优化层的主要任务是基于直流微电网的全局信息,例如预测的分布式电源出力、负载需求和电网电价等,制定全局最优的调度策略。常用的优化算法包括线性规划、非线性规划、动态规划等。上层优化层的输出通常为各分布式电源的参考功率值。
-
下层共识控制层: 下层共识控制层的主要任务是在上层优化层给定的参考功率值的基础上,通过分布式共识控制算法,实现各分布式电源的自主协调和功率分配。共识控制算法能够使得各分布式电源的输出功率逐步趋近于各自的参考功率值,从而实现全局调度目标。常用的共识控制算法包括平均一致性算法、加权一致性算法等。
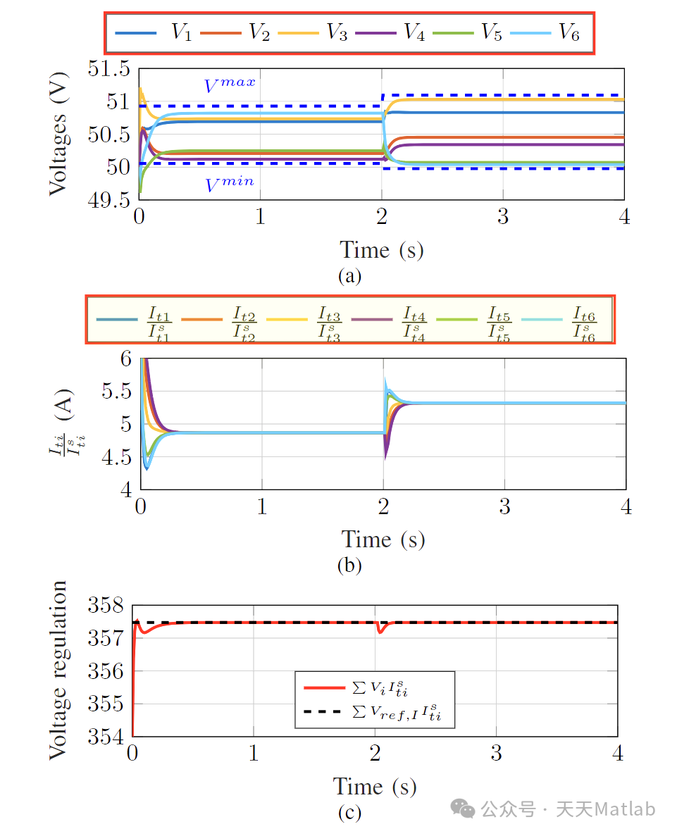
⛳️ 运行结果



🔗 参考文献
🎈 部分理论引用网络文献,若有侵权联系博主删除
👇 关注我领取海量matlab电子书和数学建模资料
🎁 私信完整代码和数据获取及论文数模仿真定制
🌿 往期回顾可以关注主页,点击搜索
🏆团队擅长辅导定制多种科研领域MATLAB仿真,助力科研梦:
🌈 各类智能优化算法改进及应用
生产调度、经济调度、装配线调度、充电优化、车间调度、发车优化、水库调度、三维装箱、物流选址、货位优化、公交排班优化、充电桩布局优化、车间布局优化、集装箱船配载优化、水泵组合优化、解医疗资源分配优化、设施布局优化、可视域基站和无人机选址优化、背包问题、 风电场布局、时隙分配优化、 最佳分布式发电单元分配、多阶段管道维修、 工厂-中心-需求点三级选址问题、 应急生活物质配送中心选址、 基站选址、 道路灯柱布置、 枢纽节点部署、 输电线路台风监测装置、 集装箱调度、 机组优化、 投资优化组合、云服务器组合优化、 天线线性阵列分布优化、CVRP问题、VRPPD问题、多中心VRP问题、多层网络的VRP问题、多中心多车型的VRP问题、 动态VRP问题、双层车辆路径规划(2E-VRP)、充电车辆路径规划(EVRP)、油电混合车辆路径规划、混合流水车间问题、 订单拆分调度问题、 公交车的调度排班优化问题、航班摆渡车辆调度问题、选址路径规划问题、港口调度、港口岸桥调度、停机位分配、机场航班调度、泄漏源定位
🌈 机器学习和深度学习时序、回归、分类、聚类和降维
2.1 bp时序、回归预测和分类
2.2 ENS声神经网络时序、回归预测和分类
2.3 SVM/CNN-SVM/LSSVM/RVM支持向量机系列时序、回归预测和分类
2.4 CNN|TCN|GCN卷积神经网络系列时序、回归预测和分类
2.5 ELM/KELM/RELM/DELM极限学习机系列时序、回归预测和分类
2.6 GRU/Bi-GRU/CNN-GRU/CNN-BiGRU门控神经网络时序、回归预测和分类
2.7 ELMAN递归神经网络时序、回归\预测和分类
2.8 LSTM/BiLSTM/CNN-LSTM/CNN-BiLSTM/长短记忆神经网络系列时序、回归预测和分类
2.9 RBF径向基神经网络时序、回归预测和分类
2.10 DBN深度置信网络时序、回归预测和分类
2.11 FNN模糊神经网络时序、回归预测
2.12 RF随机森林时序、回归预测和分类
2.13 BLS宽度学习时序、回归预测和分类
2.14 PNN脉冲神经网络分类
2.15 模糊小波神经网络预测和分类
2.16 时序、回归预测和分类
2.17 时序、回归预测预测和分类
2.18 XGBOOST集成学习时序、回归预测预测和分类
2.19 Transform各类组合时序、回归预测预测和分类
方向涵盖风电预测、光伏预测、电池寿命预测、辐射源识别、交通流预测、负荷预测、股价预测、PM2.5浓度预测、电池健康状态预测、用电量预测、水体光学参数反演、NLOS信号识别、地铁停车精准预测、变压器故障诊断
🌈图像处理方面
图像识别、图像分割、图像检测、图像隐藏、图像配准、图像拼接、图像融合、图像增强、图像压缩感知
🌈 路径规划方面
旅行商问题(TSP)、车辆路径问题(VRP、MVRP、CVRP、VRPTW等)、无人机三维路径规划、无人机协同、无人机编队、机器人路径规划、栅格地图路径规划、多式联运运输问题、 充电车辆路径规划(EVRP)、 双层车辆路径规划(2E-VRP)、 油电混合车辆路径规划、 船舶航迹规划、 全路径规划规划、 仓储巡逻
🌈 无人机应用方面
无人机路径规划、无人机控制、无人机编队、无人机协同、无人机任务分配、无人机安全通信轨迹在线优化、车辆协同无人机路径规划
🌈 通信方面
传感器部署优化、通信协议优化、路由优化、目标定位优化、Dv-Hop定位优化、Leach协议优化、WSN覆盖优化、组播优化、RSSI定位优化、水声通信、通信上传下载分配
🌈 信号处理方面
信号识别、信号加密、信号去噪、信号增强、雷达信号处理、信号水印嵌入提取、肌电信号、脑电信号、信号配时优化、心电信号、DOA估计、编码译码、变分模态分解、管道泄漏、滤波器、数字信号处理+传输+分析+去噪、数字信号调制、误码率、信号估计、DTMF、信号检测
🌈电力系统方面
微电网优化、无功优化、配电网重构、储能配置、有序充电、MPPT优化、家庭用电
🌈 元胞自动机方面
交通流 人群疏散 病毒扩散 晶体生长 金属腐蚀
🌈 雷达方面
卡尔曼滤波跟踪、航迹关联、航迹融合、SOC估计、阵列优化、NLOS识别
🌈 车间调度
零等待流水车间调度问题NWFSP 、 置换流水车间调度问题PFSP、 混合流水车间调度问题HFSP 、零空闲流水车间调度问题NIFSP、分布式置换流水车间调度问题 DPFSP、阻塞流水车间调度问题BFSP
👇
基于双层共识控制的直流微电网调度策略
696

被折叠的 条评论
为什么被折叠?



