图
什么是图
图在现实生活中非常重要,遍布于诸多学科诸多领域,从285年前的哥尼斯堡的七桥,到现代手机上的智能导航,图论一直在推进着人类的进步,便利人们的生活。可以说是与我们密切相关了。最常见的应用,例如当前城市规模越来越大,交通路线越来越复杂,寻找最短路径或者最优路线等问题都与图论密不可分。而到底什么是一个图,用最简单的话来描述,就是若干节点相连,形成的闭合回路,就是一个图, 图分为有向图和无向图,有向图就是节点与节点之间有着单向路径,例如A能到B但B不一定能到A。而无向图则两点之间有路,两点都到达对方。
图的存储
对一个图进行处理,那么第一步我们就先来存一个图。有很多方法可以存图,不同的方法有不同的特点。比如这种方式存图方法简洁易表示,但浪费内存;那种存图方式繁琐,但节省空间。这里我讲解如何存图的几种常用方法。先从最简单的方法讲解,用一个二维数组存一个图。
1.邻接矩阵存储(二维数组存图)
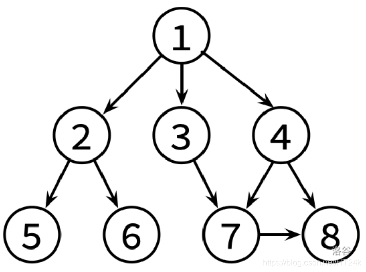
例如下面是洛谷中的一道题查找文献中的一个有向图:


因为是入门讲解,先从最简单的看,先不看题,先看怎么把这个图存下来。
从这个图中可以看到有一条路线,i能直接到j的两点分别是:
点1能到点2
点1能到点3
点1能到点4
点2能到点5
点2能到点6
点3能到点7
点4能到点7
点4能到点8
点7能到点8
找出这些关系后,就可以打一个二维表a,像这样:
| 1 | 2 | 3 | 4 | 5 | 6 | 7 | 8 | |
|---|---|---|---|---|---|---|---|---|
| 1 | ||||||||
| 2 | ||||||||
| 3 | ||||||||
| 4 | ||||||||
| 5 | ||||||||
| 6 | ||||||||
| 7 | ||||||||
| 8 |
然后填入什么呢?因为这个图没有具体的路径长度,我们可以直接走到的标记1,走不到的标记0。 也可以定义一个const int inf=9999999,走不到就意味着两点无限远,用inf来代表一下,不过这个图没有权值,用01标记不影响。
之后标记完后,可以看到任何两个点之间都会有一个值a[i,j],我们可以ei通过a[i,j]来判断点i到点j有没有一步路径能到达。
- 具体填值实现,二重循环给二维表a初始化赋初值0(或者用memset对其初始化赋值0)
代码:
for(i=1;i<=n;i++)
for(j=1;j<=n;j++)
a[i][j]=1;
或者
memset(a,0,sizeof(a));
| 1 | 2 | 3 | 4 | 5 | 6 | 7 | 8 | |
|---|---|---|---|---|---|---|---|---|
| 1 | 0 | 0 | 0 | 0 | 0 | 0 | 0 | 0 |
| 2 | 0 | 0 | 0 | 0 | 0 | 0 | 0 | 0 |
| 3 | 0 | 0 | 0 | 0 | 0 | 0 | 0 | 0 |
| 4 | 0 | 0 | 0 | 0 | 0 | 0 | 0 | 0 |
| 5 | 0 | 0 | 0 | 0 | 0 | 0 | 0 | 0 |
| 6 | 0 | 0 | 0 | 0 | 0 | 0 | 0 | 0 |
| 7 | 0 | 0 | 0 | 0 | 0 | 0 | 0 | 0 |
| 8 | 0 | 0 | 0 | 0 | 0 | 0 | 0 | 0 |
- 之后按照这个样例往表中填值:
8 9
1 2
1 3
1 4
2 5
2 6
3 7
4 7
4 8
7 8
例如:a[1][2]=1,a[1][3]=1,a[1][4]=1。(如果是无向图,需要多一个步骤,就是比如a[1][2]=1后,多写一个反向的a[2][1]=1)
代码:
for(i=1;i<=m;i++)
{
cin>>x>>y;
a[x][y]=1;
}
之后的二维表就存储了一个图,你能从这张二维表中看出原图的信息:
| i\j | 1 | 2 | 3 | 4 | 5 | 6 | 7 | 8 |
|---|---|---|---|---|---|---|---|---|
| 1 | 0 | 1 | 1 | 1 | 0 | 0 | 0 | 0 |
| 2 | 0 | 0 | 0 | 0 | 1 | 1 | 0 | 0 |
| 3 | 0 | 0 | 0 | 0 | 0 | 0 | 1 | 0 |
| 4 | 0 | 0 | 0 | 0 | 0 | 0 | 1 | 1 |
| 5 | 0 | 0 | 0 | 0 | 0 | 0 | 0 | 0 |
| 6 | 0 | 0 | 0 | 0 | 0 | 0 | 0 | 0 |
| 7 | 0 | 0 | 0 | 0 | 0 | 0 | 0 | 1 |
| 8 | 0 | 0 | 0 | 0 | 0 | 0 | 0 | 0 |
但是从表中可以看出有很多无效点对,还浪费了不小的内存(如果题目给的值很大,二维数组可能会MTL的),下面就讲一个简单的如何能减少内存的存图方式。
2.STL中的vector存图
其实思路是和上面的二维存图是一样的思路,借用STL中的动态数组,减少对空间的浪费。如果你了解STL,很快就想到如何实现了,不了解也没关系,下面我就详细讲一下如何实现。
定义一个vector数组:
#include <algorithm>
using namespace std;
vector <int> v[100005];
之后填值:
for(i=1;i<=m;i++)
{
cin>>x>>y;
a[x].push_back(y);
}
之后形成的就是这个样子:
可以看出点1能到2,3,,点2能到5,6,以此类推。
深度优先遍历搜索/广度优先遍历搜索(DFS/BFS)
已经知道如何存储一张图了,下面还是回到这道题,需要用DFS/BFS遍历一遍图。搜索是图论中最基础的算法,简单实用,对很多问题可以暴力跑一遍的。
DFS就是一个递归,出栈入栈对所有可能枚举,BFS是对建立一个队列,不断对队头判断能去的位置,出队,之后把能走入的位置入队,直到所有能走的位置都走了,也就是队列为空的时候。
DFS相当于一个队列,地毯式搜索。每个点能走的点都添加到队列中。不断添加删除,标记走过的地方。
48万+





