目录
介绍这些概念之前,首先需要了解 条件概率 及 全概率公式 。
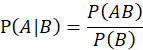
1、条件概率
在事件 B 发生的条件下事件 A 发生的概率。

P(AB) 为 A、B 同时发生的概率,在独立同分布的情况下 P(AB)=P(A)P(B)。
2、全概率公式
假如事情 A 的发生可能有 B1、B2… 多种原因导致,则

为试验 E 样本空间的一个划分,A 为试验 E 的事件。
3、先验概率
根据以往经验或数据分析得到的已知(原因、类别、途径等的)概率。
4、后验概率
若先验概率为 P(A) ,则称 P(A|b) 为后验概率,即得到 b 的信息之后计算得出的概率,判断结果(b)的发生是由哪个原因(A)引起的概率。后验概率有点事后诸葛亮的意思,就是事情发生后我再去找导致这个事件的原因。
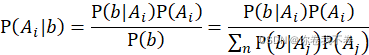
5、贝叶斯(bayes)公式
贝叶斯公式就是用来计算后验概率的一种方式,公式如下

贝叶斯公式主要用于当观察到一个事件(b)已经发生时,去求导致该事件发生的各种原因、情况、途径或事件的种类的可能性大小。公式中使用的 P(b|A) 称作类条件概率,即由原因得到某件事情可能发生的概率。
例如,在机器学习领域中,若 b 是一张图片,把 b 作为网络的输入,则后验概率 P(A|b) 可以作为 b 属于类别 A 的概率。
本文介绍了条件概率、全概率公式、先验概率、后验概率和贝叶斯公式等概率统计基础概念,并阐述了它们在信息技术,尤其是机器学习领域的应用。通过贝叶斯公式,可以计算在给定观测数据后的后验概率,从而判断事件发生的可能性。在实际问题中,如图像分类,后验概率用于确定图片属于某一类别的概率。
1万+

被折叠的 条评论
为什么被折叠?



