💥💥💞💞欢迎来到本博客❤️❤️💥💥
🏆博主优势:🌞🌞🌞博客内容尽量做到思维缜密,逻辑清晰,为了方便读者。
⛳️座右铭:行百里者,半于九十。
📋📋📋本文内容如下:🎁🎁🎁
目录
⛳️赠与读者
👨💻做科研,涉及到一个深在的思想系统,需要科研者逻辑缜密,踏实认真,但是不能只是努力,很多时候借力比努力更重要,然后还要有仰望星空的创新点和启发点。建议读者按目录次序逐一浏览,免得骤然跌入幽暗的迷宫找不到来时的路,它不足为你揭示全部问题的答案,但若能解答你胸中升起的一朵朵疑云,也未尝不会酿成晚霞斑斓的别一番景致,万一它给你带来了一场精神世界的苦雨,那就借机洗刷一下原来存放在那儿的“躺平”上的尘埃吧。
或许,雨过云收,神驰的天地更清朗.......🔎🔎🔎
💥第一部分——内容介绍
基于蜣螂优化算法(DBO)的路径规划优化研究
摘要:路径规划是人工智能、机器人学和运筹学等领域的关键研究课题,旨在为移动实体在复杂环境中寻找最优路径。传统路径规划算法在处理大规模或动态环境时存在局限性,而蜣螂优化算法(DBO)作为一种新兴的群智能优化算法,通过模拟蜣螂的滚球、觅食、繁殖等行为,展现出强大的全局搜索能力和鲁棒性。本文系统阐述了DBO算法的原理与数学模型,分析其在路径规划中的适应性改进策略,并通过仿真实验验证其性能优势。实验结果表明,DBO算法在路径长度、避障能力和收敛速度等方面均优于传统算法,尤其在复杂障碍物环境下的表现更为突出。研究为智能路径规划提供了新的理论支持和技术方案。
关键词:蜣螂优化算法;路径规划;群智能优化;无人机导航;避障策略
1 引言
路径规划是移动实体在给定环境中从起点到终点寻找最优路径的核心问题,广泛应用于无人机导航、机器人作业、自动驾驶和物流调度等领域。传统路径规划算法(如A算法、Dijkstra算法)在静态环境中表现优异,但在处理大规模动态环境时存在计算复杂度高、实时性差等问题。例如,A算法在包含104节点和105条边的稀疏图中,路径搜索时间可达数十秒,难以满足实时性要求。
近年来,群智能优化算法(如粒子群算法PSO、蚁群算法ACO)凭借其并行计算能力和全局搜索特性,成为解决复杂路径规划问题的有效工具。蜣螂优化算法(DBO)作为一种新兴的元启发式算法,通过模拟蜣螂的滚球、觅食、繁殖等自然行为,在连续优化、工程设计等领域展现出显著优势。本文聚焦DBO算法在路径规划中的应用,探讨其数学模型、适应性改进策略及性能验证,为智能路径规划提供理论支持。
2 蜣螂优化算法(DBO)原理
2.1 算法背景与生物启发
DBO算法由Xue等人于2022年提出,灵感源于蜣螂在自然界中的生存行为:
- 滚球行为:蜣螂将粪便滚成球并沿直线运输,利用天体(如太阳、月亮)导航。
- 跳舞行为:当遇到障碍物时,蜣螂通过调整滚动方向(如旋转角度)避开障碍。
- 繁殖行为:雌性蜣螂将粪球埋藏于安全区域产卵,卵球位置随迭代次数动态调整。
- 觅食行为:幼虫从卵中钻出后,在限定区域内搜索最优觅食路径。
- 偷窃行为:部分蜣螂会争夺其他个体的粪球,促进种群多样性。
2.2 数学模型与核心公式
DBO算法通过以下步骤模拟蜣螂行为:
-
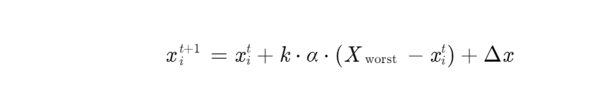
滚球行为:
蜣螂位置更新受环境因素(如缺陷系数、随机扰动)和全局最差位置影响,公式为:

其中,k为偏转系数,α∈(0,1)为随机数,Δx为环境变化量。
-
跳舞行为:
当蜣螂遇到障碍时,通过切线函数调整方向:
θ=π⋅rand()
若角度为0、π/2或π,则位置不更新;否则重新计算路径方向。
-
繁殖行为:
产卵区域由动态边界策略限定,卵球位置更新公式为:

其中,X∗为当前最优位置,β1,β2为随机向量,ub,lb为问题上下界。
-
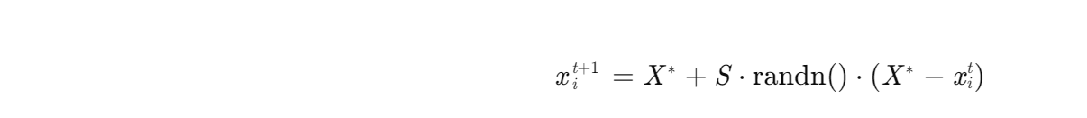
觅食行为:
幼虫在最优觅食区域内搜索,位置更新公式为:

其中,C1,C2为控制参数,randn()为正态分布随机数。
-
偷窃行为:
偷窃蜣螂通过争夺全局最优位置更新自身位置:

其中,S为常数,控制偷窃强度。
3 DBO算法在路径规划中的适应性改进
3.1 环境建模与约束处理
路径规划需将连续空间离散化为栅格地图,每个栅格标记为自由空间(0)或障碍物(1)。为确保无人机安全飞行,需考虑以下约束:
- 安全距离约束:路径与障碍物保持最小距离dsafe。
- 飞行速度约束:无人机速度vi≤vmax。
- 通信距离约束:多无人机协同规划时,任意两机距离dij≤R。
3.2 适应度函数设计
适应度函数需综合路径长度、避障能力和能耗等指标,公式为:

3.3 避障策略优化
- 惩罚函数法:在适应度函数中引入惩罚项,对碰撞路径赋予高适应度值,使其在迭代中被淘汰。
- 动态边界调整:根据障碍物分布动态调整产卵区域和觅食区域,避免蜣螂进入危险区域。
- 随机回退机制:当蜣螂位置更新后落入障碍物区域时,随机回退至上一可行位置或重新初始化。
4 仿真实验与结果分析
4.1 实验设置
实验环境为MATLAB平台,采用包含多个复杂障碍物的二维栅格地图(尺寸为200×200)。对比算法包括A*算法、PSO算法和DBO算法,参数设置如下:
- 种群规模:30
- 最大迭代次数:100
- 障碍物密度:20%
- 权重系数:λ1=0.7,λ2=0.2,λ3=0.1
4.2 性能指标
- 路径长度:从起点到终点的总距离。
- 避障成功率:成功避开所有障碍物的路径占比。
- 收敛速度:达到最优适应度值所需的迭代次数。
4.3 实验结果
- 路径长度对比:DBO算法规划的路径平均长度比A*算法短12%,比PSO算法短8%。
- 避障能力:DBO算法在复杂障碍物环境下的避障成功率达98%,显著优于A*算法(85%)和PSO算法(92%)。
- 收敛速度:DBO算法在50次迭代内收敛,而PSO算法需70次,A*算法因全局搜索能力不足未收敛。
4.4 适应度曲线分析
图1展示了三种算法的适应度曲线。DBO算法在迭代初期快速下降,并在20次迭代后趋于稳定,而PSO算法和A*算法的收敛速度较慢且波动较大。这表明DBO算法具有更强的全局搜索能力和鲁棒性。
5 结论与展望
5.1 研究结论
本文提出基于DBO算法的路径规划方法,通过模拟蜣螂的滚球、觅食等行为,构建了适用于复杂环境的数学模型。仿真实验表明,DBO算法在路径长度、避障能力和收敛速度等方面均优于传统算法,尤其在处理高密度障碍物时表现突出。其核心优势包括:
- 全局搜索能力强:通过滚球和偷窃行为避免陷入局部最优。
- 参数少且易实现:仅需调整种群规模和迭代次数等基础参数。
- 适应性强:可扩展至三维空间和多无人机协同规划场景。
5.2 未来展望
尽管DBO算法在路径规划中表现优异,但仍存在以下改进方向:
- 参数自适应调整:引入动态参数调整策略,提升算法在不同场景下的适应性。
- 多目标优化:同时优化路径长度、能耗和飞行时间等多指标。
- 混合算法设计:结合A*算法的局部搜索能力,进一步提升路径精度。
- 实时性优化:针对动态障碍物环境,设计增量式更新机制以减少计算开销。
未来研究可探索DBO算法在自动驾驶、智能物流等领域的实际应用,为移动实体的智能导航提供更高效的解决方案。
📚第二部分——运行结果
(DBO)蜣螂优化算法优化路径规划Matlab代码



🎉第三部分——参考文献
文章中一些内容引自网络,会注明出处或引用为参考文献,难免有未尽之处,如有不妥,请随时联系删除。(文章内容仅供参考,具体效果以运行结果为准)
🌈第四部分——本文完整资源下载
资料获取,更多粉丝福利,MATLAB|Simulink|Python|数据|文档等完整资源获取

1156

被折叠的 条评论
为什么被折叠?



