💥💥💞💞欢迎来到本博客❤️❤️💥💥
🏆博主优势:🌞🌞🌞博客内容尽量做到思维缜密,逻辑清晰,为了方便读者。
⛳️座右铭:行百里者,半于九十。
📋📋📋本文内容如下:🎁🎁🎁
⛳️赠与读者
👨💻做科研,涉及到一个深在的思想系统,需要科研者逻辑缜密,踏实认真,但是不能只是努力,很多时候借力比努力更重要,然后还要有仰望星空的创新点和启发点。建议读者按目录次序逐一浏览,免得骤然跌入幽暗的迷宫找不到来时的路,它不足为你揭示全部问题的答案,但若能解答你胸中升起的一朵朵疑云,也未尝不会酿成晚霞斑斓的别一番景致,万一它给你带来了一场精神世界的苦雨,那就借机洗刷一下原来存放在那儿的“躺平”上的尘埃吧。
或许,雨过云收,神驰的天地更清朗.......🔎🔎🔎
💥第一部分——内容介绍
分布式电源的虚拟同步控制与双环控制研究
摘要:随着分布式电源在电力系统中的渗透率不断提高,其缺乏惯性和阻尼的问题日益凸显,对电网稳定性构成挑战。虚拟同步控制技术通过模拟同步发电机的特性,为分布式电源赋予虚拟惯量和阻尼,增强电网稳定性。双环控制则通过电压电流双闭环结构,提高系统的动态响应和稳态精度。本文深入研究了分布式电源的虚拟同步控制与双环控制策略,建立了精确的数学模型,分析了控制参数对系统性能的影响,并通过仿真和实验验证了所提控制策略的有效性。
关键词:分布式电源;虚拟同步控制;双环控制;数学模型;稳定性
一、引言
1.1 研究背景与意义
随着全球能源需求的持续增长和能源结构的转型,分布式电源(Distributed Generation, DG)因其清洁、高效、灵活等优点,在电力系统中得到了广泛应用。分布式电源主要包括太阳能光伏发电、风力发电、生物质能发电等,其接入改变了传统电力系统的结构和运行特性。然而,分布式电源通过电力电子逆变器接入电网,与传统同步发电机相比,缺乏机械惯性和阻尼特性,无法为系统提供惯性和阻尼支撑,导致电力系统在面对功率波动、负荷变化等扰动时,频率和电压稳定性受到严重威胁。
虚拟同步控制技术(Virtual Synchronous Generator, VSG)作为一种新型的控制技术,通过模拟同步发电机的转子运动方程、调频和调压特性,使分布式电源具备类似同步发电机的惯性和阻尼特性,能够有效提高电力系统的稳定性和可靠性。双环控制则通过电压电流双闭环结构,实现对输出电压和电流的精确控制,提高系统的动态响应速度和稳态精度。因此,研究分布式电源的虚拟同步控制与双环控制具有重要的理论意义和实际应用价值。
1.2 国内外研究现状
国内外学者在分布式电源的虚拟同步控制与双环控制方面开展了大量研究。在虚拟同步控制方面,国外学者如德国亚琛工业大学的研究团队深入剖析了VSG的小信号稳定性,揭示了虚拟惯量和阻尼系数对系统稳定性的影响规律;美国德州大学的学者针对VSG在不平衡电网电压工况下的控制难题,提出了正负序电网电压、电流分离和电压电流双环控制策略。国内学者在控制策略研究方面也成果颇丰,如提出了自适应虚拟同步发电机控制策略、基于智能算法的虚拟同步发电机控制策略等。
在双环控制方面,学者们研究了基于不同控制算法的双环控制策略,如基于比例积分(PI)控制、比例谐振(PR)控制、重复控制等的双环控制策略,以提高系统的动态响应和稳态精度。然而,现有研究在建模时对实际运行中的复杂因素考虑不够全面,如环境因素对励磁特性的影响、电力电子器件的非线性特性等;在控制策略方面,现有方法在应对极端工况时仍存在响应速度不够快、控制精度不够高的问题。
二、分布式电源虚拟同步控制与双环控制原理
2.1 虚拟同步控制原理
虚拟同步控制技术通过模拟同步发电机的转子运动方程、调频和调压特性,使分布式电源具备类似同步发电机的惯性和阻尼特性。其基本原理如下:
- 转子运动方程模拟:同步发电机的转子运动方程描述了转子角速度与电磁转矩、机械转矩之间的关系。在VSG中,通过引入虚拟惯量系数和虚拟阻尼系数,构建类似的转子运动方程,使分布式电源在功率变化时能够模拟同步发电机的惯性响应和阻尼响应。
- 调频特性模拟:同步发电机通过调速器实现频率的一次调节和二次调节。在VSG中,通过有功功率控制环模拟调速器的功能,根据系统频率偏差调整分布式电源的有功功率输出,实现频率的稳定控制。
- 调压特性模拟:同步发电机的励磁系统负责调节发电机的端电压和无功功率。在VSG中,通过无功功率控制环模拟励磁系统的功能,根据系统电压偏差调整分布式电源的无功功率输出,实现电压的稳定控制。
2.2 双环控制原理
双环控制通常由电压外环和电流内环组成,其基本原理如下:
- 电压外环控制:电压外环的主要作用是稳定输出电压,通过检测输出电压并与参考电压进行比较,产生电流内环的参考电流。电压外环通常采用PI控制或PR控制,以实现对输出电压的无差调节。
- 电流内环控制:电流内环的主要作用是快速跟踪电压外环产生的参考电流,提高系统的动态响应速度。电流内环通常采用PI控制,通过检测电感电流并与参考电流进行比较,产生PWM信号控制逆变器的开关管,实现对输出电流的精确控制。
三、分布式电源虚拟同步控制与双环控制建模
3.1 虚拟同步控制建模
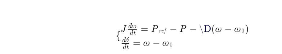
以光伏发电系统为例,建立基于VSG的虚拟同步控制模型。假设光伏阵列输出直流电压为 Udc,经过逆变器转换为交流电压 uabc 接入电网。VSG的有功功率控制环和无功功率控制环的数学模型如下:
-
有功功率控制环:

其中,J 为虚拟惯量系数,ω 为虚拟角频率,ω0 为参考角频率,Pref 为有功功率参考值,P 为实际输出有功功率,D 为虚拟阻尼系数,δ 为功角。
-
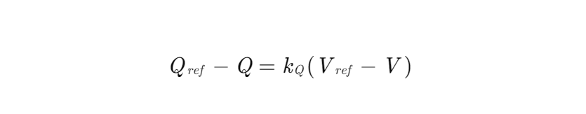
无功功率控制环:

其中,Qref 为无功功率参考值,Q 为实际输出无功功率,kQ 为无功下垂系数,Vref 为参考电压,V 为实际输出电压。
3.2 双环控制建模
在VSG的基础上,建立电压电流双环控制模型。电压外环采用PI控制,电流内环采用PI控制,其数学模型如下:
-
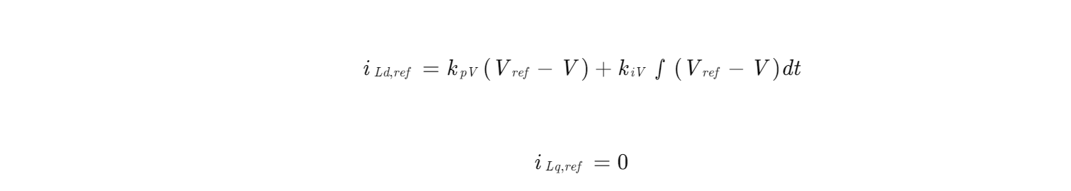
电压外环:

其中,iLd,ref 和 iLq,ref 分别为电流内环的 d 轴和 q 轴参考电流,kpV 和 kiV 分别为电压外环的比例系数和积分系数。
-
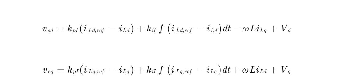
电流内环:

其中,vcd 和 vcq 分别为逆变器输出电压的 d 轴和 q 轴分量,iLd 和 iLq 分别为电感电流的 d 轴和 q 轴分量,kpI 和 kiI 分别为电流内环的比例系数和积分系数,L 为滤波电感,Vd 和 Vq 分别为电网电压的 d 轴和 q 轴分量。
四、控制参数对系统性能的影响分析
4.1 虚拟惯量系数和虚拟阻尼系数的影响
虚拟惯量系数 J 和虚拟阻尼系数 D 对系统的频率稳定性和动态响应有重要影响。较大的 J 可以增强系统的惯性,减小频率变化率,但会降低系统的动态响应速度;较大的 D 可以增加系统的阻尼,抑制频率振荡,但过大的 D 会导致系统响应变慢。因此,需要合理选择 J 和 D 的值,以平衡系统的稳定性和动态响应。
4.2 电压外环和电流内环参数的影响
电压外环的比例系数 kpV 和积分系数 kiV 影响输出电压的稳态精度和动态响应速度。较大的 kpV 可以加快系统的动态响应,但可能导致系统超调;较大的 kiV 可以减小系统的稳态误差,但会降低系统的动态响应速度。电流内环的比例系数 kpI 和积分系数 kiI 影响输出电流的跟踪精度和动态响应速度。合理选择这些参数可以提高系统的整体性能。
五、仿真与实验验证
5.1 仿真验证
在MATLAB/Simulink环境中搭建基于VSG的分布式电源虚拟同步控制与双环控制仿真模型,对所提控制策略进行仿真验证。仿真结果表明,所提控制策略能够有效模拟同步发电机的惯性和阻尼特性,提高系统的频率和电压稳定性;双环控制能够快速准确地跟踪参考电压和电流,提高系统的动态响应和稳态精度。
5.2 实验验证
搭建基于DSP控制的实验平台,对所提控制策略进行实验验证。实验结果表明,实际系统与仿真结果基本一致,所提控制策略在实际应用中具有良好的性能,能够有效提高分布式电源的并网稳定性和电能质量。
六、结论
本文深入研究了分布式电源的虚拟同步控制与双环控制策略,建立了精确的数学模型,分析了控制参数对系统性能的影响,并通过仿真和实验验证了所提控制策略的有效性。研究结果表明,虚拟同步控制技术能够使分布式电源具备类似同步发电机的惯性和阻尼特性,提高电力系统的稳定性和可靠性;双环控制能够提高系统的动态响应和稳态精度。合理选择控制参数可以进一步优化系统性能。未来的研究可以进一步考虑实际运行中的复杂因素,如环境变化、负载扰动等,进一步完善控制策略,提高分布式电源的并网运行水平。
📚第二部分——运行结果







🎉第三部分——参考文献
文章中一些内容引自网络,会注明出处或引用为参考文献,难免有未尽之处,如有不妥,请随时联系删除。(文章内容仅供参考,具体效果以运行结果为准)
🌈第四部分——本文完整资源下载
资料获取,更多粉丝福利,MATLAB|Simulink|Python|数据|文档等完整资源获取

508

被折叠的 条评论
为什么被折叠?



