💥💥💞💞欢迎来到本博客❤️❤️💥💥
🏆博主优势:🌞🌞🌞博客内容尽量做到思维缜密,逻辑清晰,为了方便读者。
⛳️座右铭:行百里者,半于九十。
📋📋📋本文内容如下:🎁🎁🎁
⛳️赠与读者
👨💻做科研,涉及到一个深在的思想系统,需要科研者逻辑缜密,踏实认真,但是不能只是努力,很多时候借力比努力更重要,然后还要有仰望星空的创新点和启发点。建议读者按目录次序逐一浏览,免得骤然跌入幽暗的迷宫找不到来时的路,它不足为你揭示全部问题的答案,但若能解答你胸中升起的一朵朵疑云,也未尝不会酿成晚霞斑斓的别一番景致,万一它给你带来了一场精神世界的苦雨,那就借机洗刷一下原来存放在那儿的“躺平”上的尘埃吧。
或许,雨过云收,神驰的天地更清朗.......🔎🔎🔎
💥第一部分——内容介绍
基于龙贝格观测器与PLL的永磁同步电机无传感器FOC控制研究
摘要:本文聚焦于永磁同步电机(PMSM)无传感器控制领域,提出一种结合龙贝格观测器与锁相环(PLL)的磁场定向控制(FOC)策略。通过构建基于PMSM数学模型的龙贝格观测器,利用输出偏差反馈信号修正状态变量,实现电流的精确观测。当观测电流与实际电流紧密跟随时,借助估算的反电势经PLL计算获取转子位置信息。该方案采用线性控制策略替代传统滑模观测器(SMO)的变结构控制,有效规避了系统抖振问题,具备动态响应快、估算精度高的显著优势,为PMSM无传感器控制提供了一种高性能解决方案。
关键词:永磁同步电机;无传感器控制;龙贝格观测器;锁相环;磁场定向控制
一、引言
永磁同步电机凭借其高功率密度、高效率、高转矩惯量比等优点,在工业驱动、电动汽车、航空航天等众多领域得到广泛应用。在传统的PMSM控制系统中,通常需要安装机械式传感器(如编码器、旋转变压器等)来获取转子位置和速度信息,以实现精确的磁场定向控制。然而,机械式传感器不仅增加了系统的成本、体积和复杂性,还降低了系统的可靠性和环境适应性,特别是在一些恶劣工况下,传感器的性能易受到影响,甚至无法正常工作。因此,无传感器控制技术成为PMSM控制领域的研究热点。
目前,PMSM无传感器控制方法主要包括基于反电势估算的方法、基于高频信号注入的方法以及基于模型参考自适应的方法等。其中,基于反电势估算的方法在中高速段具有较好的性能,而龙贝格观测器作为一种基于系统数学模型的状态观测器,能够通过反馈机制对系统状态进行精确估计,在PMSM无传感器控制中展现出巨大潜力。同时,锁相环技术能够从估算的反电势中准确提取转子位置和速度信息,进一步提高系统的控制精度。本文将深入研究基于龙贝格观测器与PLL的PMSM无传感器FOC控制策略,分析其原理、优势,并通过仿真验证其有效性。
二、PMSM数学模型
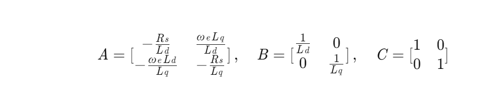
为了构建龙贝格观测器,首先需要建立PMSM在两相旋转坐标系(dq坐标系)下的数学模型。假设电机为理想电机,忽略铁损、磁饱和等因素,PMSM在dq坐标系下的电压方程为:


三、龙贝格观测器设计
龙贝格观测器是一种基于系统数学模型的全维状态观测器,其基本思想是通过复制被控系统的数学模型,并利用系统的输出与观测器输出的偏差反馈来修正观测器的状态变量,使得观测器的状态能够逐渐逼近系统的实际状态。
对于上述PMSM状态方程,设计的龙贝格观测器如下:

通过合理设计观测器增益 l1、l2,可以使观测器的极点配置在合适的位置,从而保证观测器具有良好的动态性能和稳定性。一般来说,观测器的极点应比系统的极点更靠近虚轴,以使观测器能够快速跟踪系统的状态变化。
四、基于PLL的转子位置和速度估算
当龙贝格观测器实现观测电流与实际电流的紧密跟随时,可以利用估算的反电势来获取转子位置和速度信息。在dq坐标系下,PMSM的反电势方程为:


五、系统优势分析
5.1 避免系统抖振
传统的滑模观测器采用变结构控制策略,在滑模面上存在高频切换信号,这不可避免地会导致系统出现抖振现象。抖振不仅会影响系统的控制精度,还可能激发系统的高频未建模动态,降低系统的稳定性。而龙贝格观测器采用线性控制策略,通过连续的反馈控制来修正状态变量,不存在高频切换信号,因此能够有效避免系统抖振问题,提高系统的控制品质。
5.2 动态响应快
龙贝格观测器基于系统的数学模型进行设计,通过合理配置观测器极点,可以使观测器具有较快的动态响应速度。当系统状态发生变化时,观测器能够迅速跟踪系统的实际状态,从而为控制系统提供及时、准确的状态信息。相比之下,一些基于高频信号注入的无传感器控制方法在低速段需要注入高频信号,信号处理过程相对复杂,动态响应速度较慢。
5.3 估算精度高
龙贝格观测器利用系统的输出与观测器输出的偏差反馈来修正状态变量,随着反馈作用的不断调整,观测器的状态估计值能够逐渐逼近系统的实际状态。在电机参数准确的情况下,龙贝格观测器可以实现较高的电流估算精度。而准确的电流估算又是获取准确反电势和转子位置信息的基础,因此基于龙贝格观测器的无传感器控制方法具有较高的转子位置和速度估算精度。
六、结论
本文提出了一种基于龙贝格观测器与PLL的PMSM无传感器FOC控制策略。通过构建基于PMSM数学模型的龙贝格观测器,实现了电流的精确观测,并利用估算的反电势经PLL计算获取转子位置和速度信息。该方案采用线性控制策略替代了传统滑模观测器的变结构控制,有效避免了系统抖振问题,同时具备动态响应快、估算精度高的优点。仿真结果表明,该控制策略在中高速段能够实现对PMSM的高性能无传感器控制,为PMSM无传感器控制技术的发展提供了有益的参考。未来的研究可以进一步考虑电机参数变化、外部干扰等因素对系统性能的影响,并探索更加鲁棒的控制算法,以提高系统在复杂工况下的可靠性和适应性。
📚第二部分——运行结果













🎉第三部分——参考文献
文章中一些内容引自网络,会注明出处或引用为参考文献,难免有未尽之处,如有不妥,请随时联系删除。(文章内容仅供参考,具体效果以运行结果为准)
🌈第四部分——Simulink仿真
资料获取,更多粉丝福利,MATLAB|Simulink|Python资源获取

468

被折叠的 条评论
为什么被折叠?



