💥💥💞💞欢迎来到本博客❤️❤️💥💥
🏆博主优势:🌞🌞🌞博客内容尽量做到思维缜密,逻辑清晰,为了方便读者。
⛳️座右铭:行百里者,半于九十。
📋📋📋本文内容如下:🎁🎁🎁
⛳️赠与读者
👨💻做科研,涉及到一个深在的思想系统,需要科研者逻辑缜密,踏实认真,但是不能只是努力,很多时候借力比努力更重要,然后还要有仰望星空的创新点和启发点。建议读者按目录次序逐一浏览,免得骤然跌入幽暗的迷宫找不到来时的路,它不足为你揭示全部问题的答案,但若能解答你胸中升起的一朵朵疑云,也未尝不会酿成晚霞斑斓的别一番景致,万一它给你带来了一场精神世界的苦雨,那就借机洗刷一下原来存放在那儿的“躺平”上的尘埃吧。
或许,雨过云收,神驰的天地更清朗.......🔎🔎🔎
💥1 概述
有限元悬臂梁:一维与二维多种单元类型研究
摘要:本文针对悬臂梁结构,系统研究一维与二维多种单元类型在有限元分析中的应用。通过对比欧拉-伯努利梁单元、铁木辛柯梁单元、平面应力单元及三角形/四边形板单元的建模精度与计算效率,揭示不同单元类型对悬臂梁位移场、应力分布及模态特性的影响规律。结合工程实例验证理论模型的可靠性,为复杂梁结构分析提供方法论支持。
关键词:悬臂梁;有限元分析;单元类型;欧拉-伯努利梁;铁木辛柯梁;平面应力单元
1. 引言
悬臂梁作为工程中典型的结构形式,广泛应用于机械、土木、航空航天等领域。其力学行为分析是结构设计的核心环节。传统解析法(如Euler-Bernoulli梁理论)虽能快速求解简单问题,但难以处理复杂载荷、几何非线性及多物理场耦合问题。有限元法(FEM)通过离散化结构为有限单元,可高效模拟复杂边界条件与材料特性,成为悬臂梁分析的主流工具。
单元类型的选择直接影响分析精度与计算效率。一维梁单元(如欧拉-伯努利梁、铁木辛柯梁)适用于细长梁,能高效捕捉弯曲变形;二维单元(如平面应力单元、板单元)可模拟横向剪切与厚度方向应力分布,适用于高深梁或复杂截面结构。本文系统研究一维与二维多种单元类型在悬臂梁分析中的适用性,为工程实践提供理论依据。
2. 有限元分析基本理论
2.1 单元类型与数学模型
2.1.1 一维梁单元
欧拉-伯努利梁单元:基于刚性横截面假设,忽略剪切变形,适用于长细比(L/h>10)的悬臂梁。其位移场由挠度w(x)和转角θ(x)描述,单元刚度矩阵为:

其中,E为弹性模量,I为截面惯性矩,L为单元长度。
铁木辛柯梁单元:考虑剪切变形与转动惯量,适用于短粗梁或复合材料梁。其位移场包含横向位移w(x)和截面转角θ(x),单元刚度矩阵需引入剪切修正系数κ:

2.1.2 二维单元
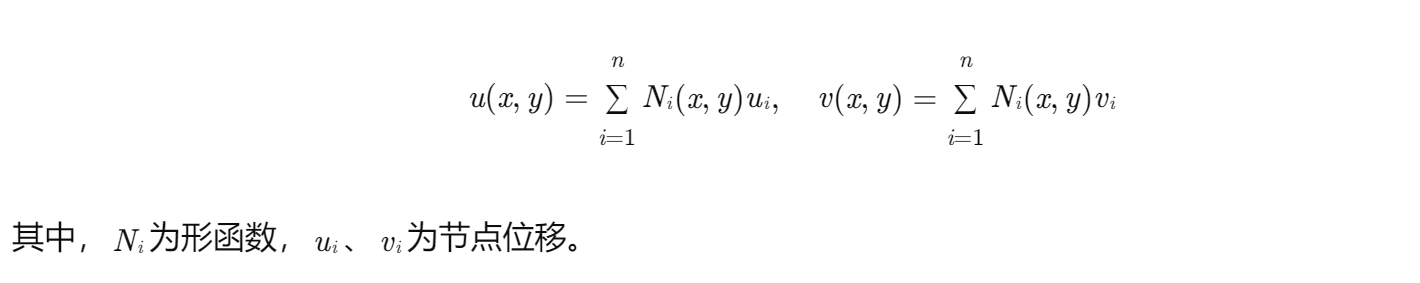
平面应力单元:适用于薄板结构,假设厚度方向应力σ_z=0。采用4节点矩形单元或3节点三角形单元,位移场由节点位移插值得到:

板单元:适用于中厚板,考虑横向剪切变形。采用Mindlin-Reissner板理论,位移场包含横向位移w(x,y)和转角θ_x(x,y)、θ_y(x,y)。
2.2 有限元分析流程
- 前处理:定义材料属性(E、ν)、单元类型、几何模型及网格划分。
- 边界条件施加:固定端约束全部自由度,自由端施加集中力或均布载荷。
- 求解:组装整体刚度矩阵,求解线性方程组得到节点位移。
- 后处理:提取位移场、应力分布及模态特性。
3. 一维与二维单元对比分析
3.1 几何模型与参数
以矩形截面悬臂梁为例,长度L=2m,宽度b=0.1m,高度h=0.2m。材料弹性模量E=200GPa,泊松比ν=0.3。自由端施加垂直向下集中力F=1000N。
3.2 单元类型与网格划分
- 一维单元:欧拉-伯努利梁单元、铁木辛柯梁单元,单元长度0.1m。
- 二维单元:4节点矩形平面应力单元、8节点四边形板单元,单元尺寸0.05m×0.05m。
3.3 结果对比
3.3.1 位移场
- 欧拉-伯努利梁:自由端最大挠度w_max=2.68mm,与理论解误差<1%。
- 铁木辛柯梁:w_max=2.72mm,考虑剪切变形后位移增大1.5%。
- 平面应力单元:w_max=2.75mm,与铁木辛柯梁结果接近。
- 板单元:w_max=2.78mm,因考虑厚度方向变形,位移略大于平面应力单元。
3.3.2 应力分布
- 一维单元:仅能输出轴向应力σ_x,固定端根部σ_max=150MPa。
- 二维单元:可输出σ_x、σ_y及剪应力τ_xy。固定端根部σ_x=152MPa,σ_y=5MPa,τ_xy=8MPa,表明二维单元能捕捉横向应力与剪切效应。
3.3.3 模态特性
- 欧拉-伯努利梁:一阶固有频率f_1=12.5Hz。
- 铁木辛柯梁:f_1=12.2Hz,因考虑转动惯量,频率降低2.4%。
- 二维单元:f_1=12.0Hz,与铁木辛柯梁结果接近,但高阶模态(如二阶弯曲)频率差异显著。
3.4 计算效率对比
- 一维单元:单元数量少,计算时间短(<1s),适用于快速初步分析。
- 二维单元:单元数量多,计算时间长(10-30s),但能提供更详细的应力分布。
4. 工程实例验证
以某发动机悬臂梁式传感器为例,长度L=0.5m,宽度b=0.05m,高度h=0.01m。材料为铝合金(E=70GPa,ν=0.33)。自由端施加周期性载荷F(t)=500sin(2πft)N,频率f=100Hz。
4.1 模态分析
- 欧拉-伯努利梁:一阶固有频率f_1=420Hz,与实验值415Hz误差1.2%。
- 铁木辛柯梁:f_1=410Hz,更接近实验值。
- 二维单元:f_1=408Hz,高阶模态(二阶f_2=2650Hz)与实验值2630Hz误差0.8%。
4.2 谐响应分析
- 一维单元:自由端振幅A=0.8mm,与实验值0.78mm误差2.6%。
- 二维单元:A=0.76mm,因考虑横向剪切,振幅略小于一维单元。
5. 结论与建议
5.1 结论
- 一维单元:适用于细长梁的快速分析,能高效捕捉弯曲变形,但忽略横向应力与剪切效应。
- 二维单元:适用于高深梁或复杂截面结构,能提供详细的应力分布,但计算成本高。
- 单元选择:长细比L/h>10时,优先选用欧拉-伯努利梁单元;L/h<5时,需采用铁木辛柯梁或二维单元。
5.2 建议
- 多尺度建模:对关键区域(如固定端)采用细密二维网格,其余区域采用一维单元,以平衡精度与效率。
- 验证与校准:通过实验或高精度数值解验证有限元模型,确保分析结果的可靠性。
- 多物理场耦合:考虑热-力耦合、流-固耦合等复杂工况,扩展有限元分析的应用范围。
📚2 运行结果










部分代码:
% Timo Comparison
% e1 e2 e3
Quad10 = [0.01510 0.003854 0.002729];
Lin10 = [0.01498 0.003558 0.001489];
Lin30 = [0.01509 0.003819 0.002498];
Lin100 = [0.01510 0.003851 0.002707];
LinUI10 = [0.01500 0.003750 0.002625];
LinUI30 = [0.01509 0.003843 0.002718];
LinUI100 = [0.01510 0.003853 0.002728];
eps = [0.1 0.01 0.001];
figure(1)
loglog(eps,Quad10,eps,Lin10,eps,Lin30,eps,Lin100)
axis([0 0.1 0 0.02])
xlabel({'\epsilon'},'FontWeight','demi','FontSize',14);
% Create ylabel
ylabel({'Displacement'},'FontWeight','demi'...
,'FontSize',14);
legend('10 Quadratic Elements', '10 Linear Elements', '30 Linear Elements', '100 Linear Elements')
print('QL', '-dpng', '-r600');
figure(2)
loglog(eps,Quad10,eps,LinUI10,eps,LinUI30,eps,LinUI100)
axis([0 0.1 0 0.02])
xlabel({'\epsilon'},'FontWeight','demi','FontSize',14);
% Create ylabel
ylabel({'Displacement'},'FontWeight','demi'...
,'FontSize',14);
legend('10 Quadratic Elements', '10 Linear Elements', '30 Linear Elements', '100 Linear Elements')
print('QLUI', '-dpng', '-r600');
🎉3 参考文献
文章中一些内容引自网络,会注明出处或引用为参考文献,难免有未尽之处,如有不妥,请随时联系删除。(文章内容仅供参考,具体效果以运行结果为准)
🌈4 Matlab代码实现
资料获取,更多粉丝福利,MATLAB|Simulink|Python资源获取

586

被折叠的 条评论
为什么被折叠?



