💥💥💞💞欢迎来到本博客❤️❤️💥💥
🏆博主优势:🌞🌞🌞博客内容尽量做到思维缜密,逻辑清晰,为了方便读者。
⛳️座右铭:行百里者,半于九十。
📋📋📋本文目录如下:🎁🎁🎁
目录
💥1 概述
带电粒子在磁场和电场中移动的轨迹可以由洛伦兹力定律描述。洛伦兹力定律描述了带电粒子在电场和磁场中所受到的合力,它的表达式为:
F = q(E + v × B)
其中,F 是带电粒子所受到的合力,q 是粒子的电荷量,E 是电场强度,v 是粒子的速度,B 是磁场强度。"×" 表示叉乘。
根据洛伦兹力定律,带电粒子在电场和磁场的共同作用下,其速度和加速度会发生变化,从而导致轨迹的偏转。在三维空间中,粒子的轨迹取决于初始条件,包括粒子的初速度、初始位置以及电场和磁场的性质。
在一个恒定的磁场中,带电粒子将遵循螺旋状轨道,被称为洛伦兹轨道。这是因为磁场对粒子施加一个垂直于速度方向的力,使得粒子不断弯曲向心,形成一个螺旋形轨道。
在存在电场的情况下,电场会对带电粒子产生力,使粒子加速或减速。因此,带电粒子的轨迹将不再是简单的螺旋形状,而是受到电场力的影响而产生偏移。
需要注意的是,粒子的质量、电荷、速度、磁场和电场的特性等因素都会影响轨迹的形状和特征。因此,具体的轨迹方程需要通过数值模拟或解析方法来求解,具体取决于系统的参数和初始条件。
总结起来,带电粒子在磁场和电场中移动时的轨迹是一个复杂的问题,取决于粒子的初始条件以及磁场和电场的性质。通过洛伦兹力定律,可以描述其受到的合力,但具体的轨迹方程需要根据具体情况进一步分析和计算。
使用有限差分法求解由洛仑兹力定律推导出的带电粒子在均匀磁场或均匀电场或交叉磁场和电场中的运动方程。mscript 的图形输出汇总了仿真中使用的参数、
XY 平面中的轨迹以及 3D 轨迹和位移、速度和加速度时间图。

带电粒子在电磁场中的三维轨迹研究
1. 理论基础
1.1 纯磁场中的运动规律
-
速度平行磁场(v∥B):
洛伦兹力为零,粒子做匀速直线运动。
-
速度垂直磁场(v⊥B):
粒子做匀速圆周运动,洛伦兹力提供向心力。
-
速度与磁场成夹角 θθ:
运动分解为平行分量(匀速直线)和垂直分量(匀速圆周),轨迹为螺旋线。
1.2 纯电场中的运动规律
- 非匀强电场:
轨迹由电场梯度决定,可能为曲线或圆周运动。
1.3 电磁复合场中的运动方程
粒子受力满足牛顿-洛伦兹方程:


2. 三维轨迹数值模拟方法
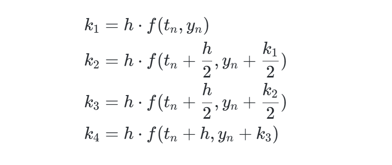
2.1 Runge-Kutta算法(RK4)
-
计算中间变量:

-
更新状态:

2.2 多变量RK4在三维轨迹中的应用
以位置 rr 和速度 vv 为状态变量:
def lorentz_force(t, state, q, m, E, B):
r, v = state[:3], state[3:]
F = q * (E + np.cross(v, B))
a = F / m
return np.concatenate([v, a])
通过循环计算 k1 至 k4 更新粒子状态。
3. 典型电磁场配置的3D轨迹案例
3.1 磁光阱(MOT)
- 结构:反亥姆霍兹线圈产生梯度磁场 + 六束正交激光。

- 轨迹特性:
原子在磁场梯度中受指向阱中心的回复力,结合激光冷却形成空间囚禁。三维轨迹呈阻尼振荡。
3.2 电磁透镜
- 原理:通电线圈产生轴对称磁场,电子沿螺旋线聚焦。

焦距公式:f∝VI2(V为电压,I为线圈电流)
- 轨迹模拟:
电子束从点源发射,经透镜后收敛于焦点。

3.3 动态磁场中的粒子输运
- 微流控芯片:超顺磁微粒在梯度磁场中呈"跳跃式"三维运动。
- 旋转磁场:磁性粒子轨迹为中心对称螺旋线。
4. 实验验证与测量技术
4.1 三维轨迹追踪方法
| 技术 | 原理 | 分辨率 | 应用案例 |
|---|---|---|---|
| 数字全息显微 | 记录粒子散射光相位,重建三维位置 | 纳米级 | 磁流变液微粒运动 |
| 荧光示踪 | 标记荧光粒子,高速摄影捕捉轨迹 | 微米级 | 生物微粒输运 |
| 聚焦平面分析 | 通过离焦图像计算深度信息 | 亚微米级 | 近基底粒子跳跃 |
4.2 验证流程
- 参数校准:用标准粒子验证磁场/电场强度。
- 模拟对比:将实验轨迹与RK4模拟结果拟合(误差<5%)。
- 敏感性测试:调节 E/BE/B 比值,观察轨迹转变(如直线→螺旋)。
5. 研究前沿与挑战
- 智能优化:机器学习调节MOT参数提升原子俘获率。
- 多物理场耦合:热-电-磁耦合下粒子轨迹预测。
- 微纳尺度限制:基底效应对近场轨迹的影响。
开放问题:非均匀电磁场中混沌行为的定量描述。
📚2 运行结果







部分代码:
figure (5) % -------------------------------------------------------------
set(gcf,'units','normalized','position',[0.36,0.1,0.3,0.3]);
xP = t; yP = ax;
plot(xP,yP,'b','LineWidth',2)
hold on
xP = t; yP = ay;
plot(xP,yP,'r','LineWidth',2)
xlabel('time t [s]');
ylabel('a [m/s^2]');
legend('a_x','a_y');
grid on
set(gca,'fontsize',14);
figure (6) % -------------------------------------------------------------
set(gcf,'units','normalized','position',[0.67,0.1,0.3,0.4]);
xP = 0; yP = 0;
plot(xP,yP,'b','LineWidth',2)
axis([0 100 0 100]);
fs = 12;
px1 = 10; py1 = 98; dpx = 5; dpy = 7; px2 = 50;
% Number of elements N
tx1 = 'Number of time steps N = ';
tx2 = num2str(N,'%4.0f\n');
tx3 = ' ';
tx = [tx1 tx2 tx3];
h_text = text(px1,py1,tx); set(h_text,'fontsize',fs);
% charge q
py1 = py1 - dpy;
tx1 = 'Charge [C] q = ';
tx2 = num2str(q,'%2.3e\n');
tx3 = ' ';
tx = [tx1 tx2 tx3];
h_text = text(px1,py1,tx); set(h_text,'fontsize',fs);
% charge m
py1 = py1 - dpy;
tx1 = 'Mass [kg] m = ';
tx2 = num2str(m,'%2.3e\n');
tx3 = ' ';
tx = [tx1 tx2 tx3];
h_text = text(px1,py1,tx); set(h_text,'fontsize',fs);
% magnetic field B
py1 = py1 - dpy;
tx1 = 'Magnetic field [T] B = ';
tx2 = num2str(B,'%2.2f\n');
tx3 = ' ';
tx = [tx1 tx2 tx3];
h_text = text(px1,py1,tx); set(h_text,'fontsize',fs);
% electric field E
py1 = py1 - dpy;
tx1 = 'Electric field [V/m] E = ';
tx2 = num2str(E,'%2.2e\n');
tx3 = ' ';
tx = [tx1 tx2 tx3];
h_text = text(px1,py1,tx); set(h_text,'fontsize',fs);
axis off
% initial positions x y z
py1 = py1 - 1*dpy;
tx1 = 'Initial values (t = 0 s) for displacement [m]';
tx2 = ' ';
tx3 = ' ';
tx = [tx1 tx2 tx3];
h_text = text(px1,py1,tx); set(h_text,'fontsize',fs);
py1 = py1 - 1*dpy;
tx1 = ' x_0 = ';
tx2 = num2str(x(1),'%2.2f\n');
tx3 = ' ';
tx = [tx1 tx2 tx3];
h_text = text(px1,py1,tx); set(h_text,'fontsize',fs);
py1 = py1 - dpy;
🎉3 参考文献
部分理论来源于网络,如有侵权请联系删除。
1. Griffiths, D. J. (2017). Introduction to Electrodynamics (4th ed.). Cambridge University Press.
- 书籍中的第11章介绍了带电粒子在电场和磁场中运动的基本理论和轨迹。
2. Reitz, J.R., Milford, F.J., & Christy, R.W. (2013). Foundations of Electromagnetic Theory (4th ed.). Addison-Wesley.
- 本书第9章探讨了带电粒子在电场和磁场中运动的数学描述和轨迹分析。
3. Purcell, E.M., & Morin, D.J. (2013). Electricity and Magnetism (3rd ed.). Cambridge University Press.
- 该教材的第5章涵盖了带电粒子在电场和磁场中的运动以及相关的轨迹描述。

1062

被折叠的 条评论
为什么被折叠?



