Datawhale干货
作者:Talk_Is_Cheap,Datawhale成员
大语言模型在强化学习对齐中,长期面临一个根本挑战:奖励过于粗糙。
现有方法(如GRPO、DAPO)往往只给出“答案对/错”的整体奖励,无法分辨推理链条中哪些步骤做对了、哪些地方出错。结果就是:模型既可能因为一个小失误被全盘否定,也可能因为蒙对结果而“错误地被奖励”。这让长链推理任务的优化始终存在瓶颈。

论文地址: https://arxiv.org/abs/2508.04349
字节、港科、北邮联合提出了以动态熵加权为核心的新颖框架(其中引入了两种新算法:用于实现精确 token 级监督GTPO算法,以及类似的序列级算法 GRPO-S),就是要解决这个问题 —— 通过在 更细粒度(token/序列级别) 上分配奖励,把奖励信号集中到推理中的关键节点,从而让模型真正学会“过程导向的推理改进”。
该团队通过大量实验表明,GTPO和GRPO-S在多个推理基准测试中,持续优于DAPO 和 GRPO 基准方法,证实了所提出的熵加权机制的有效性。

这项研究结果也表明:利用并引导模型不确定性是开发 “下一代强大且可靠的人工智能系统” 的一个有前景的前沿方向。
下面将从 GTPO 到 GRPO-S 逐步介绍,看看这个新的框架究竟是如何炼成的。
作者带你读懂新方法:用于策略优化的动态熵加权
论文提出了动态熵加权(Dynamic Entropy Weighting)框架,该框架通过将策略熵重新用于细粒度奖励塑造,很大程度上解决了粗粒度信用分配问题,其设计灵感源于组相对策略优化(GRPO)在统计层面的局限性(论文2.1节)。该项工作给出了两种相似的算法:Token-Level的组策略优化(GTPO)(论文2.2节)以及Sequence-Level的GRPO变体(GRPO-S)(论文2.3节)。这两种算法在数学上的构造是对称的,只不过GTPO关注点在token处,GRPO-S聚焦在sequence整体上。文章中还分析了算法的实现细节与收敛性(论文2.4节)。

从粗粒度信用分配到动态熵加权
背景:GRPO及其局限性
该项研究基于组相对策略优化(GRPO)框架展开,该框架是一种无价值函数的算法,可简化LLM的策略优化过程。给定提示词,GRPO从某一策略中采样得到一组序列
。每个序列
会获得一个结果奖励
(例如,推理正确时为1,错误时为0)。序列
中所有token的优势函数定义为该序列奖励相对于组平均奖励的标准化结果,公式如下:

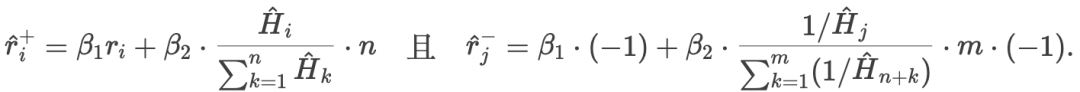
GRPO的目标函数会在PPO风格的裁剪损失函数中,将这种统一的优势估计回传应用于序列中的每个token。尽管这种方法简洁有效,但对优势的统一应用既是GRPO的核心机制,也是引发本研究的核心局限性,即“粗粒度credit分配”。这种方法不仅在概念上不够精准,在数学层面也并非最优。
动机:更细粒度优势估计的数学依据
转向token-level目标函数GTPO的关键动机,源于对优势函数中各个构成项的方差降低修正。以奖励值(Reward)为例,当序列长度
不相等时,对奖励值的估计主要有两种方式:

尽管token级奖励估计已被证明能降低方差,从而实现更稳定的梯度(
,详见附录B.1的正式证明,还有关于其他构成项的分析证明),但仅具备这种统计合理性还不够。 要充分利用这种粒度优势,必须对奖励信号本身进行系统性的重塑。这一目标可通过动态熵加权实现,如下图所示,该方法能将策略梯度聚焦于关键决策点,从而生成比传统方法更具指导意义的细粒度学习信号。

解决方案:动态熵加权框架
该框架基于以下假设:推理序列中的高熵时刻并非噪声,而是关键节点的标志。策略熵(传统上用于衡量不确定性)被重新用作“认知努力”的启发式指标,将稀疏的二进制奖励转化为密集的细粒度学习信号。该框架根据终端奖励将序列划分为成功序列集(
)与失败序列集(
),从而实现双重信用分配策略:成功序列(
)中的高熵token会获得奖励加成,以强化有价值的探索行为;反之,失败序列(
)中的低熵token会被施加更重的惩罚,以抑制自信但错误的推理。这种精准的调节能让策略梯度聚焦于推理过程中信息最丰富的步骤。
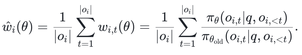
Token-Level组策略优化:GTPO
组token策略优化(GTPO)是该框架最直接、粒度最细的实现方式。它引入了一种细粒度的、基于熵加权的信用分配机制,可在单个token层面运行。
Token级奖励塑造
对于
个成功序列
中的任意token
,以及
个失败序列
中的任意token
,定义如下两组Reward。
For 成功序列
定义如下基于熵加权的奖励:


该奖励由原始二进制成功信号
(其中
)和动态熵加成构成,二者通过超参数
实现平衡。熵加成与token生成熵
成正比,其中
。关键在于,该熵会在时间步
对所有
个成功序列进行对比,从而生成一种相对信号,以奖励有价值的探索行为,即与其他成功路径相比,生成时不确定性更高的token会被奖励(若序列
的长度小于
,则其
视为0)。随后,这种相对加成会乘以
(长度≥
的成功序列数量),动态调整奖励幅度,以应对推理过程中有效路径数量逐渐减少的情况。
For 失败序列
目标是对“自信型错误”施加相对更重的惩罚。因此,其奖励
依赖于熵的倒数,对低熵(即高自信)token施加更大惩罚:


其中,
是长度≥的失败序列数量。该公式鼓励模型在推理错误时保持不确定性,推动模型探索远离失败模式的路径。基于这两组重塑后的奖励,分别为成功序列集和失败序列集计算优势函数,并在整个批次的所有token上进行归一化,以确保尺度一致性:


其中,
和
分别表示批次中所有成功序列和失败序列的重塑后token奖励集合。
GTPO目标函数
GTPO的最终目标函数将上述组件整合为统一的token级的损失函数:

其中,
是标准的重要性采样权重。
Sequence-Level组策略优化:GRPO-S(GRPO的序列级变体)
尽管GTPO具备最高的粒度,但计算量稍大。此外,部分任务更注重结果导向,因此有必要遵循GTPO的设计思路,开发对应的序列级算法并进一步优化。基于此,论文提出GRPO-S作为同类方法,将熵加权原理应用于序列层面。其核心思想是:根据整个序列的探索价值(以平均熵衡量),调节该序列的整体奖励。
序列级奖励塑造
对于任意序列
,奖励塑造基于序列的平均token熵
。对于成功序列(
),奖励会基于熵的加成增加,以强化有价值的探索行为;反之,对于失败序列(
),会施加与平均逆熵成正比的额外惩罚,从而对“自信型错误”施加更严厉的处罚。其形式化定义如下:


其中,
为超参数。该公式对平均探索性更强的成功序列给予奖励,同时对自信但错误的序列施加惩罚。
GRPO-S目标函数
优势函数
和
的计算方式与GRPO中的优势函数类似,但使用的是序列级重塑奖励,并在组内
个序列上进行归一化。GRPO-S的最终目标函数与原始GRPO损失函数结构相似,但采用了重塑后的优势函数:

其中,序列级重要性权重
是token级权重的平均值:

实现细节与理论保障
实现细节
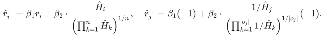
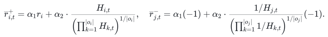
基于几何均值的稳健概念定义
在聚合序列级重要性采样权重时,算术均值可能导致训练不稳定。这是因为基于比值的权重分布存在偏态,使得算术均值对异常值较为敏感,文中选择算术均值是因为计算成本较低。为缓解这一问题,作者说明可以利用几何均值来定义熵和重要性权重的平均值:

除此之外,GRPO-S中关于Reward的定义也可以利用几何均值:

完全相同地,GTPO中关于Reward的定义同样可以利用几何均值:

算法流程

理论保障
作者通过理论分析证明,论文中提出的奖励塑造机制能保留基线算法的期望策略梯度方向,这是确保收敛性的关键条件。GTPO通过重新分配奖励,生成更细粒度的、token感知的学习信号。由于在梯度计算中已剥离熵项,分析表明:尽管这些修改会改变训练动态,但能保持期望梯度方向不变,从而引导优化过程趋向有效的策略最优解。
Token级目标函数(GTPO)分析
论文中提出的token级目标函数修改了GRPO基线的奖励结构。由于奖励塑造对于成功序列(原始奖励
)和失败序列的塑造方式是对称的,因此关于数学部分的分析重点围绕成功序列展开。通过构造可知,这种塑造具有“保守性”:对成功序列token级奖励
的加权重新分配,能保留总奖励“不变”:

该等式成立的原因是已设置总奖励的守恒性直接推导得出:期望平均奖励保持不变:

其中,
。这种等价性进一步表明:本文提出的奖励塑造方法下,优势函数的期望
近似等于基线优势函数的期望
,其中
。该近似关系的来源及均值的详细定义详见论文附录B.4。
由于对于熵项采取梯度分离,期望策略梯度
近似等于GRPO基线的期望策略梯度(即
)。这一特性确保了期望梯度方向的一致性,使优化过程趋向相同的理论最优解。这种修改主要通过改变梯度估计量的方差来影响训练动态:奖励的重新分配提供了细粒度的token级信号,可能生成方差更低的估计量,从而稳定并加速收敛(详见论文附录B.2)。
对于GRPO-S的平行分析,详见论文附录B.3。
实验部分
该项研究的实验围绕动态熵加权框架下的GTPO与GRPO-S展开,通过多维度实验验证两款算法在长链推理任务中的有效性,重点对比其与GRPO、DAPO等主流基线算法的性能差异,同时分析训练动态、超参数敏感性等关键特性,全面论证熵加权奖励塑造机制的价值。
实验设置
实验从任务数据集、评价指标、模型与基线、实现细节四个维度搭建严谨验证体系,确保结果的可靠性与可比性。
任务与数据集
实验选择**AIME 2024**与**AIME 2025**作为核心测试基准。这两个数据集均为高难度数学推理任务集,要求模型完成长时程、多步骤的链式推理(如复杂方程求解、逻辑推导等),能有效检验算法在细粒度信用分配与推理稳定性上的表现,是评估先进对齐技术的严苛测试床。
评价指标
为全面衡量模型推理能力,实验采用两类核心指标:
Mean@32:计算32个生成结果的平均正确率,作为整体性能的衡量标准;
Pass@k(k∈{2,4,8,16,32}):相比更保守的Pass@1,该指标更注重“推理多样性”——统计模型生成的top-k个结果中至少有一个正确的概率,能反映算法对多路径推理的鼓励效果。
此外,实验通过**绝对性能增益(APG)** 与**相对性能增益(RPG)** 量化算法相较于DAPO基线的提升幅度,确保性能差异的直观性。
模型与基线
实验基于两款主流大模型展开,覆盖不同参数规模以验证算法通用性:
小规模模型:Qwen2.5-7B
大规模模型:Qwen2.5-32B
基线算法选择当前无价值函数RL领域的代表性方法,确保对比的“强基准”属性:
GRPO(组相对策略优化):无价值函数算法的经典方案,以组平均奖励为优势基线,计算效率高;
DAPO(解耦裁剪与动态采样策略优化):开源社区中GRPO风格训练的当前最优方法,通过裁剪范围调整、动态采样等技术提升性能与稳定性,是实验的核心对比基线。
实现细节
实验在硬件、超参数、生成配置上保持一致性,避免无关变量干扰:
硬件与批次设置:使用64块GPU进行训练,全局批次大小(global batch size)为128,组大小(group size)为16;
学习率与生成参数:学习率设为1×10⁻⁶;生成阶段采用温度系数1.0、top-p=1.0的采样策略,提示词最大长度2048token,响应最大长度4096token;
奖励塑造超参数:关键超参数统一设置为α₁=β₁=1(原始奖励权重)、α₂=β₂=0.1(熵加成权重),熵值裁剪范围为ε_low=0.2至ε_high=0.28,确保熵信号的有效性与稳定性。
性能对比分析
实验结果(如下表所示)表明,GTPO与GRPO-S在所有配置下均显著超越GRPO与DAPO基线,建立了新的性能基准,且成功解决了传统方法的“效率-探索”权衡问题。

核心性能优势
- 全指标碾压基线:无论是小规模的Qwen2.5-7B还是大规模的Qwen2.5-32B,GTPO与GRPO-S在Mean@32及所有Pass@k指标上均表现更优。以AIME 2025数据集的Qwen2.5-7B模型为例:
GTPO的Pass@32达0.2667,较DAPO(0.1667)绝对提升0.1,相对提升60.0%;
GRPO-S的Pass@32达0.2333,较DAPO相对提升40.0%;
在AIME 2024数据集的Qwen2.5-32B模型上,GTPO的Pass@32达0.6891,较DAPO(0.5902)绝对提升0.0989,相对提升16.8%,GRPO-S也实现13.8%的相对提升。
兼顾性能与探索:传统基线存在明显短板——DAPO虽稳定性强,但损失函数过度聚焦稳定,限制了模型探索能力,导致部分场景(如AIME 2025)的Pass@k指标偏低;而GTPO与GRPO-S通过熵加权奖励,既提升了Mean@32等整体性能指标,又强化了探索敏感性(Pass@k),实现“性能与探索”的双重提升。
小模型增益更显著:算法在小规模模型上的性能提升幅度远超大规模模型。例如,AIME 2025数据集上,GTPO在Qwen2.5-7B上的RPG(60.0%)是Qwen2.5-32B(37.5%)的1.6倍。这一现象表明,熵加权机制为小模型提供了关键的“引导信号”——小模型更易陷入过早收敛,而熵加权能鼓励其探索复杂推理路径,弥补参数规模带来的能力差距。
奖励轨迹与样本效率
实验通过分析测试集的平均奖励轨迹,进一步验证算法的样本效率与性能天花板优势,核心结论如下:
更高的奖励天花板:在所有数据集与模型配置下,GTPO或GRPO-S始终能达到最高的最终奖励水平,二者均显著高于DAPO基线。以AIME 2025的Qwen2.5-32B模型为例,GTPO的测试集Mean@32最终稳定在0.2689,而DAPO仅为0.2167,差距持续保持至收敛阶段。
优异的样本效率:所有模型(包括基线与本文算法)均在约210个训练步骤内实现大致收敛,且GTPO与GRPO-S的收敛速度未因“高探索性”而放缓。训练集奖励曲线(详见论文附录D.4)进一步证明,本文算法的性能提升并非源于更长的训练时间,而是得益于熵加权带来的“更高效学习信号”——模型能在更少的样本交互中捕捉关键推理节点,加速收敛并提升最终性能。
避免策略崩溃:对比奖励轨迹可见,DAPO的奖励曲线后期存在“平台期提前到来”的问题,反映其策略逐渐收敛到狭窄的局部最优(即“策略崩溃”);而GTPO与GRPO-S的奖励曲线能持续上升至更高水平,且后期无明显下降,证明熵加权机制有效维持了模型的探索能力,避免陷入僵化的推理模式。
超参数敏感性分析
为验证算法的鲁棒性,实验针对GTPO与GRPO-S的核心奖励塑造超参数(尤其是熵加成权重β₂)展开敏感性分析,结果如图3所示,关键发现如下:

整体鲁棒性强:在所有测试的超参数配置下,GTPO与GRPO-S均能显著超越DAPO基线,未出现“超参数微调失效”的情况,证明动态熵加权框架的稳定性——即使超参数存在小幅波动,算法仍能发挥优势。
GRPO-S稳定性更优:相较于GTPO,GRPO-S在不同超参数设置下的性能波动更小。例如,当熵加成权重β₂从0.1增至0.2时,GRPO-S的Mean@32虽有下降,但仍远高于DAPO,而GTPO的波动幅度略大,这也符合二者的设计定位——GRPO-S作为序列级算法,计算粒度更粗,对超参数的敏感性更低,适合对稳定性要求高的场景。
熵加成需适度:实验发现,当熵加成权重(β₂)超过0.1后,GRPO-S的性能出现明显下滑。这一结果验证了“探索与任务目标平衡”的重要性——适度的熵加成能鼓励有效探索,但过度强调熵会让模型偏离“正确推理”的核心目标,导致性能下降,为超参数调优提供了关键指导(建议β₂设为0.1左右)。


一起“点赞”三连↓
395

被折叠的 条评论
为什么被折叠?



