3.1 背景
本章主要讲解空间域的图像处理方法,直接对图像中的像素进行操作,主要包括:灰度变换和空间滤波。
灰度变换是对图像的各个像素进行操作,空间滤波是对每个像素的邻域进行操作。
3.1.1 灰度变换和空间滤波基础
- 空间域处理可以表达为


- 邻域原点从一个像素移动到另一个像素应用算子T,产生输出。对于任意指定的位置(x,y),输出图像g(x,y)的值等于对f中以(x,y)为原点的邻域应用算子T的结果。以上的操作称为空间滤波。
- 最小邻域的大小为1,此时g只依赖于点(x,y)处的f值,此时T称为灰度变换函数,用s和r分别表示g和f在任一点的灰度值,则s=T(r)。
- 举例:以下灰度变换函数,将小于k值的r值,减小s的值,倾向于黑色;将大于k值的r值,增大s的值,倾向于白色,用于对比度拉伸。

3.2 基本的灰度变换函数

3.2.1 反转变换
- 用于增强图像暗色区域的白色会灰色细节 : s=L-1-r
3.2.2 对数变换
- 将输入中范围较窄的低灰度值 映射为输出中范围较宽的灰度值,如将输入到[0,L/4]映射到[0,3L/4]。这个操作用于扩展图像中的暗像素值,同时压缩高灰度值。
- 对数变换可以压缩像素变化较大的图像的动态范围,如傅里叶频谱,如果直接线性缩放频谱图,那么只显示图像中心最亮的像素,用对数变换可以显示更大范围的灰度,将灰度值低的部分,用更大的动态范围显示
3.2.3 幂律变换
- 显示器的显示存在gamma效应,gamma>1,将较窄范围的暗输入映射为较宽范围的输出值,这样会产生比预期更暗的图像。因此,需要使用一个gamma的倒数进行校正,校正后的图像更接近于原图像。

3.2.4 分段线性变化函数
- 对比度拉伸
令(r1,s1)=(rmin ,0)和(r2,s2)=(rmax ,L-1),表示将整幅图像的灰度范围(rmin,rmax)拉伸到(0,L-1)。

- 比特平面分层
在一幅256级灰度图像中,图像值是由8比特组成的,图像可视为8个1比特的平面组成。每个比特平面可视为一幅二值图像,最高有效的4个平面中包含大量的具有视觉意义的信息。

将图像分解成各个比特平面对图像压缩是有用的,重建所用的比特平面少于原有的比特平面。重建是通过将第n个平面的像素乘以常数2^n-1来实现的,每个平面乘以对应常数后,将所有平面相加,则可以得到灰度级图像,例如:

3.3 直方图处理
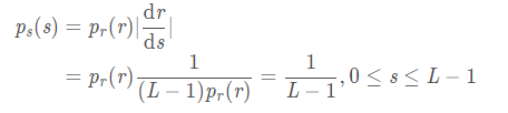
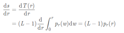
令rkr_krk表示一幅L级图像f(x,y)的灰度,nkn_knk是灰度为rkr_krk的像素的数量。
非归一化的直方图表示为:h(rk)=nkh(r_k)=n_kh(rk)=nk。
归一化的直方图为:p(rk)=nk/MNp(r_k)=n_k/MNp

本文介绍了空间域图像处理的基础知识,包括灰度变换和空间滤波技术。详细解释了反转变换、对数变换、幂律变换及分段线性变换等基本灰度变换函数的应用场景。此外还探讨了直方图处理技术,包括直方图均衡化、直方图规定化等方法,以及如何利用这些方法改善图像质量。
最低0.47元/天 解锁文章
1289

被折叠的 条评论
为什么被折叠?



