题目描述
给定两个整数数组 preorder 和 inorder ,其中 preorder 是二叉树的先序遍历, inorder 是同一棵树的中序遍历,请构造二叉树并返回其根节点。
示例 1:

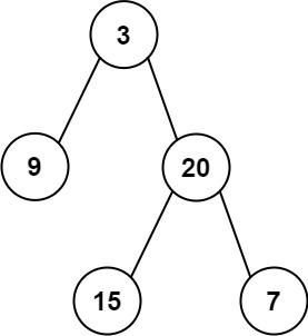
输入: preorder = [3,9,20,15,7], inorder = [9,3,15,20,7]
输出: [3,9,20,null,null,15,7]
示例 2:
输入: preorder = [-1], inorder = [-1]
输出: [-1]
提示:
1 <= preorder.length <= 3000
inorder.length == preorder.length
-3000 <= preorder[i], inorder[i] <= 3000
preorder 和 inorder 均 无重复 元素
inorder 均出现在 preorder
preorder 保证 为二叉树的前序遍历序列
inorder 保证 为二叉树的中序遍历序列
思考一:原始递归(基于数组切片)
核心是利用前序首元素确定根节点,中序拆分左右子树序列,通过数组切片获取子序列,递归构造左右子树。
算法过程
- 终止条件:若前序序列为空(
preorder.length === 0),说明当前子树为空,返回null。 - 确定根节点:
- 前序序列第一个元素
preorder[0]即为当前子树的根节点值; - 创建根节点
root = new TreeNode(rootVal)。
- 前序序列第一个元素
- 拆分中序序列:
- 在中序序列中找到根节点值的索引
rootIndex(inorder.indexOf(rootVal)); - 中序左子树序列:
inorder.slice(0, rootIndex)(根节点左侧元素,均为左子树节点); - 中序右子树序列:
inorder.slice(rootIndex + 1)(根节点右侧元素,均为右子树节点)。
- 在中序序列中找到根节点值的索引
- 拆分前序序列:
- 前序左子树序列:
preorder.slice(1, 1 + rootIndex)(长度与中序左子树一致,从根节点后开始取); - 前序右子树序列:
preorder.slice(rootIndex + 1)(剩余元素,长度与中序右子树一致)。
- 前序左子树序列:
- 递归构造子树:
- 根节点的左子树 = 递归调用
buildTree(传入前序左子树序列、中序左子树序列); - 根节点的右子树 = 递归调用
buildTree(传入前序右子树序列、中序右子树序列)。
- 根节点的左子树 = 递归调用
- 返回结果:返回当前根节点,完成递归回溯,最终构建整棵二叉树。
时间复杂度:O(n²)。其中n为节点总数,原因是:
- 每层递归中,
indexOf操作需遍历中序序列,耗时O(n); slice操作会创建新数组,耗时O(k)(k为子序列长度),总耗时O(n²);- 递归深度为O(n)(最坏情况,链状树),总时间为O(n²)。
空间复杂度:O(n²)。原因是:
- 递归调用栈深度为O(n);
- 每层递归的
slice操作会产生新数组,总空间为O(n²)(所有子序列的长度和)。
代码
/**
* Definition for a binary tree node.
* function TreeNode(val, left, right) {
* this.val = (val===undefined ? 0 : val)
* this.left = (left===undefined ? null : left)
* this.right = (right===undefined ? null : right)
* }
*/
/**
* @param {number[]} preorder
* @param {number[]} inorder
* @return {TreeNode}
*/
var buildTree = function(preorder, inorder) {
if (!preorder.length) return null;
const rootVal = preorder[0];
const root = new TreeNode(rootVal);
const rootIndex = inorder.indexOf(rootVal);
root.left = buildTree(preorder.slice(1, 1 + rootIndex), inorder.slice(0, rootIndex));
root.right = buildTree(preorder.slice(rootIndex+1), inorder.slice(rootIndex+1));
return root;
};
思考二:优化递归(基于索引边界,避免数组切片)
原始递归的slice操作会产生新数组,增加空间开销。优化思路是用索引边界标记子序列范围(而非切片),通过preStart/preEnd(前序子序列边界)和inStart/inEnd(中序子序列边界)定位子序列,减少空间消耗。
算法过程
- 初始化递归入口:调用辅助函数
buildBTree,传入完整序列的索引边界:- 前序边界:
preStart=0,preEnd=preorder.length(左闭右开区间); - 中序边界:
inStart=0,inEnd=inorder.length(左闭右开区间)。
- 前序边界:
- 辅助函数终止条件:若
preStart >= preEnd(前序子序列为空),返回null。 - 确定根节点与中序 pivot:
- 前序子序列首元素
preorder[preStart]为当前根节点值,创建根节点root; - 遍历中序子序列
[inStart, inEnd),找到根节点值的索引pivot(中序根节点位置)。
- 前序子序列首元素
- 计算左子树长度与子序列边界:
- 左子树长度
leftSize = pivot - inStart(中序左子树元素个数); - 左子树边界:
- 前序左子树:
preStart+1(根节点后开始)到preStart+1+leftSize(左子树长度结束); - 中序左子树:
inStart到pivot(根节点左侧);
- 前序左子树:
- 右子树边界:
- 前序右子树:
preStart+1+leftSize(左子树结束后开始)到preEnd; - 中序右子树:
pivot+1(根节点右侧)到inEnd。
- 前序右子树:
- 左子树长度
- 递归构造子树:
- 根节点左子树 = 递归
buildBTree(传入左子树边界参数); - 根节点右子树 = 递归
buildBTree(传入右子树边界参数)。
- 根节点左子树 = 递归
- 返回结果:辅助函数返回当前根节点,最终入口函数返回整棵树的根节点。
时间复杂度:O(n²)。其中n为节点总数,原因是:
- 每层递归中,遍历中序子序列找
pivot耗时O(n); - 递归深度为O(n)(最坏情况,链状树),总时间为O(n²)。
- (优化潜力:若用哈希表存储中序值与索引的映射,可将找
pivot的时间降至O(1),总时间优化为O(n))。
空间复杂度:O(n)。原因是:
- 递归调用栈深度为O(n)(最坏情况);
- 无需创建新数组,仅使用原数组和索引变量,额外空间为O(n)。
代码
/**
* Definition for a binary tree node.
* function TreeNode(val, left, right) {
* this.val = (val===undefined ? 0 : val)
* this.left = (left===undefined ? null : left)
* this.right = (right===undefined ? null : right)
* }
*/
/**
* @param {number[]} preorder
* @param {number[]} inorder
* @return {TreeNode}
*/
var buildTree = function(preorder, inorder) {
return buildBTree(preorder, inorder, 0, preorder.length, 0, inorder.length);
};
function buildBTree(preorder, inorder, preStart, preEnd, inStart, inEnd) {
if (preStart >= preEnd) return null;
const rootVal = preorder[preStart];
const root = new TreeNode(rootVal);
let pivot = -1;
for (let i = inStart; i < inEnd; i++) {
if (inorder[i] === rootVal) {
pivot = i;
break;
}
}
const leftSize = pivot - inStart;
root.left = buildBTree(preorder, inorder, preStart+1, preStart+1+leftSize, inStart, pivot);
root.right = buildBTree(preorder, inorder, preStart+1+leftSize, preEnd, pivot+1, inEnd);
return root;
}
665

被折叠的 条评论
为什么被折叠?



