题目描述
给你一个链表,两两交换其中相邻的节点,并返回交换后链表的头节点。你必须在不修改节点内部的值的情况下完成本题(即,只能进行节点交换)。
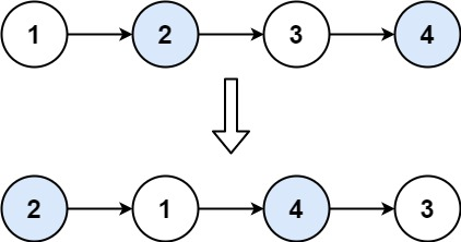
示例 1:

输入:head = [1,2,3,4]
输出:[2,1,4,3]
示例 2:
输入:head = []
输出:[]
示例 3:
输入:head = [1]
输出:[1]
提示:
链表中节点的数目在范围 [0, 100] 内
0 <= Node.val <= 100
思考一:递归
递归解法的核心是将"两两交换链表节点"的问题分解为规模更小的同类子问题:
- 先递归处理剩余节点组成的子链表(从第三个节点开始);
- 再处理当前链表中前两个节点的交换;
- 将交换后的前两个节点与递归处理好的子链表连接起来。
递归终止条件:当链表中剩余节点不足两个(head为空或head.next为空)时,无需交换,直接返回当前头节点。
这种思路通过递归将问题逐步简化,先解决最小规模的子问题(空链表或单个节点),再通过回溯将局部结果组合成完整的解。
算法过程
-
终止条件判断:
- 若当前节点head为空,或head的下一个节点为空(剩余节点不足两个),直接返回head
-
递归处理子链表:
- 递归调用函数处理head.next.next开始的子链表,得到交换后的子链表头节点newHead
-
交换当前两个节点:
- 保存第二个节点(head.next)到临时变量tmp
- 将第一个节点(head)的next指针指向递归处理好的子链表(newHead)
- 将第二个节点(tmp)的next指针指向第一个节点(head)
-
返回结果:
- 返回tmp作为交换后当前段的新头节点,完成局部链表的交换
该算法的时间复杂度为O(n)(n为链表长度),空间复杂度为O(n/2) = O(n)(递归调用栈的深度)。
代码
/**
* Definition for singly-linked list.
* function ListNode(val, next) {
* this.val = (val===undefined ? 0 : val)
* this.next = (next===undefined ? null : next)
* }
*/
/**
* @param {ListNode} head
* @return {ListNode}
*/
var swapPairs = function(head) {
if (!head || !head.next) return head;
const newHead = swapPairs(head.next.next);
let p = head;
let tmp = head.next;
p.next = newHead;
tmp.next = p;
return tmp;
};
思考二:双指针
双指针解法通过引入哨兵节点(guard)简化边界处理,采用迭代方式逐对交换相邻节点:
- 哨兵节点作为虚拟头节点,始终指向真正的头节点,避免处理头节点交换时的特殊情况;
- 使用指针p跟踪待交换节点对的前驱节点,left和right分别指向当前需要交换的两个节点;
- 每轮交换时,调整指针连接关系完成两个节点的互换,然后将指针整体后移两位,处理下一对节点;
- 当剩余节点不足两个时,终止循环。
这种思路通过迭代方式原地修改指针,避免了递归带来的栈空间开销,实现更高效的空间利用。
算法过程
-
初始化:
- 若链表为空或只有一个节点,直接返回原头节点
- 创建哨兵节点guard,其next指向head
- 初始化指针:p(指向待交换节点对的前驱)= guard,left(第一个待交换节点)= head,right(第二个待交换节点)= head.next
-
迭代交换:
- 调整指针完成交换:p.next指向right,right.next指向left,left.next指向原right的next(暂存于tmp)
- 更新指针位置:p移到left(成为下一对节点的前驱),left移到tmp,right移到left.next(若left存在)
-
终止条件:
- 当left或right为空时(剩余节点不足两个),退出循环
-
返回结果:
- 返回guard.next(交换后的新头节点)
该算法的时间复杂度为O(n)(n为链表长度),空间复杂度为O(1)(仅使用常数级额外空间)。
代码
/**
* Definition for singly-linked list.
* function ListNode(val, next) {
* this.val = (val===undefined ? 0 : val)
* this.next = (next===undefined ? null : next)
* }
*/
/**
* @param {ListNode} head
* @return {ListNode}
*/
var swapPairs = function(head) {
if (!head || !head.next) return head;
let left = head, right = head.next;
let guard = new ListNode();
guard.next = head;
let p = guard;
while (left && right) {
// 反转 left 和 right
p.next = right;
let tmp = right.next;
right.next = left;
left.next = tmp;
p = left; // 指向下一个left的前驱
left = tmp; // 更新left指针
if (left) {
right = left.next;
} else {
right = null;
}
}
return guard.next;
};
294

被折叠的 条评论
为什么被折叠?



