题目描述
给你一个链表的头节点 head ,判断链表中是否有环。
如果链表中有某个节点,可以通过连续跟踪 next 指针再次到达,则链表中存在环。 为了表示给定链表中的环,评测系统内部使用整数 pos 来表示链表尾连接到链表中的位置(索引从 0 开始)。注意:pos 不作为参数进行传递 。仅仅是为了标识链表的实际情况。
如果链表中存在环 ,则返回 true 。 否则,返回 false 。
示例 1:

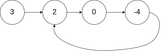
输入:head = [3,2,0,-4], pos = 1
输出:true
解释:链表中有一个环,其尾部连接到第二个节点。
示例 2:

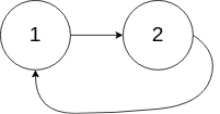
输入:head = [1,2], pos = 0
输出:true
解释:链表中有一个环,其尾部连接到第一个节点。
示例 3:

输入:head = [1], pos = -1
输出:false
解释:链表中没有环。
提示:
- 链表中节点的数目范围是 [0,104][0, 10^4][0,104]
- −105<=Node.val<=105-10^5 <= Node.val <= 10^5−105<=Node.val<=105
- pos 为 -1 或者链表中的一个 有效索引 。
进阶:你能用 O(1)O(1)O(1)(即,常量)内存解决此问题吗?
思考
利用快慢指针的速度差判断链表是否有环:慢指针每次移动1步,快指针每次移动2步。若链表存在环,快指针会先进入环并绕圈,最终必然追上慢指针(两者相遇);若链表无环,快指针会率先到达链表尾部(指向null),不会与慢指针相遇。通过检测两指针是否相遇,即可判断链表是否含环。
代码
/**
* Definition for singly-linked list.
* function ListNode(val) {
* this.val = val;
* this.next = null;
* }
*/
/**
* @param {ListNode} head
* @return {boolean}
*/
var hasCycle = function(head) {
let slow = head, fast = head;
let count = 0;
while (fast && fast.next) {
slow = slow.next;
fast = fast.next.next;
if (slow === fast) return true;
}
return false;
};
397

被折叠的 条评论
为什么被折叠?



