视觉SLAM十四讲 Chapter4 课后练习
最新推荐文章于 2024-07-03 17:16:56 发布
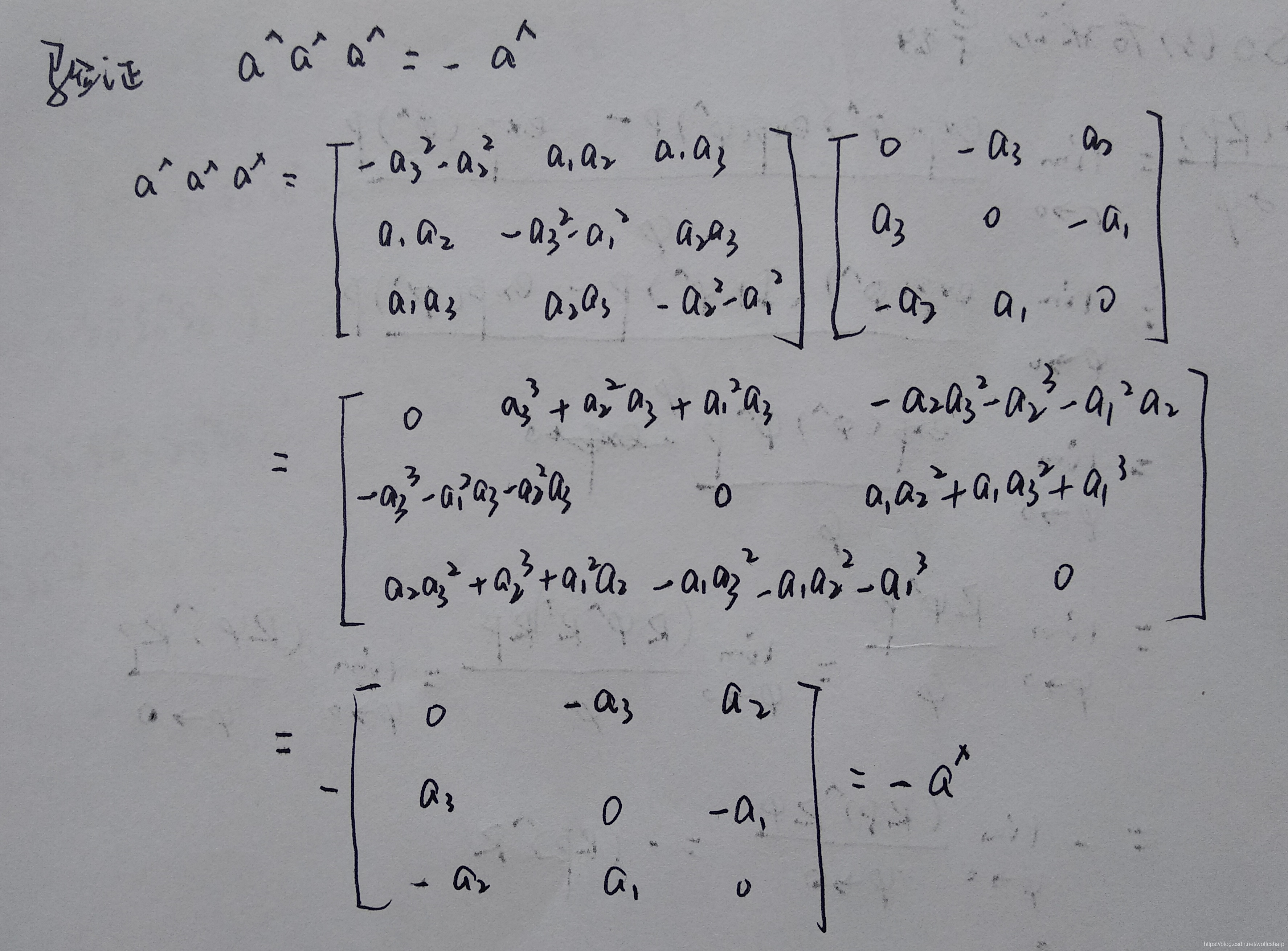
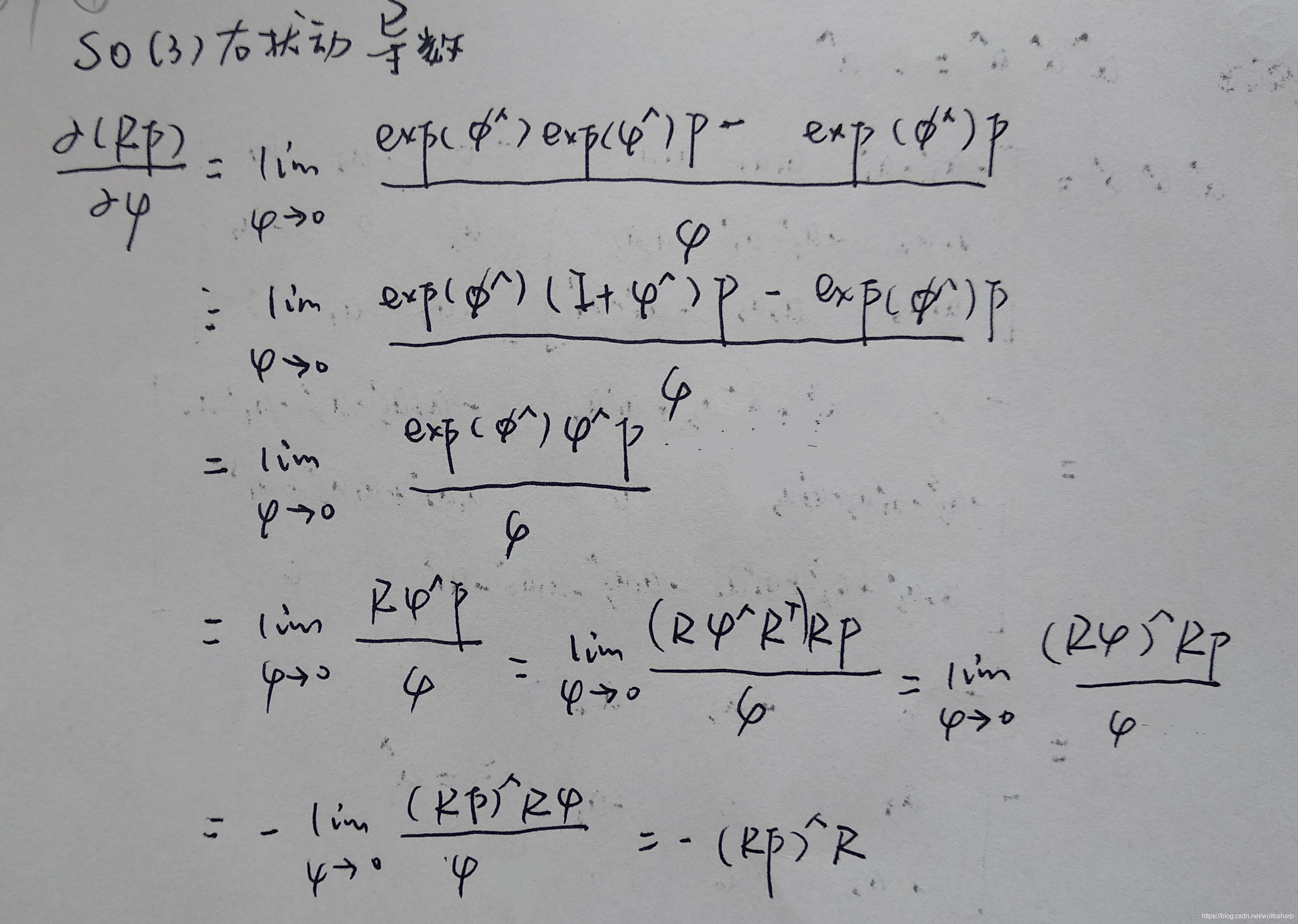
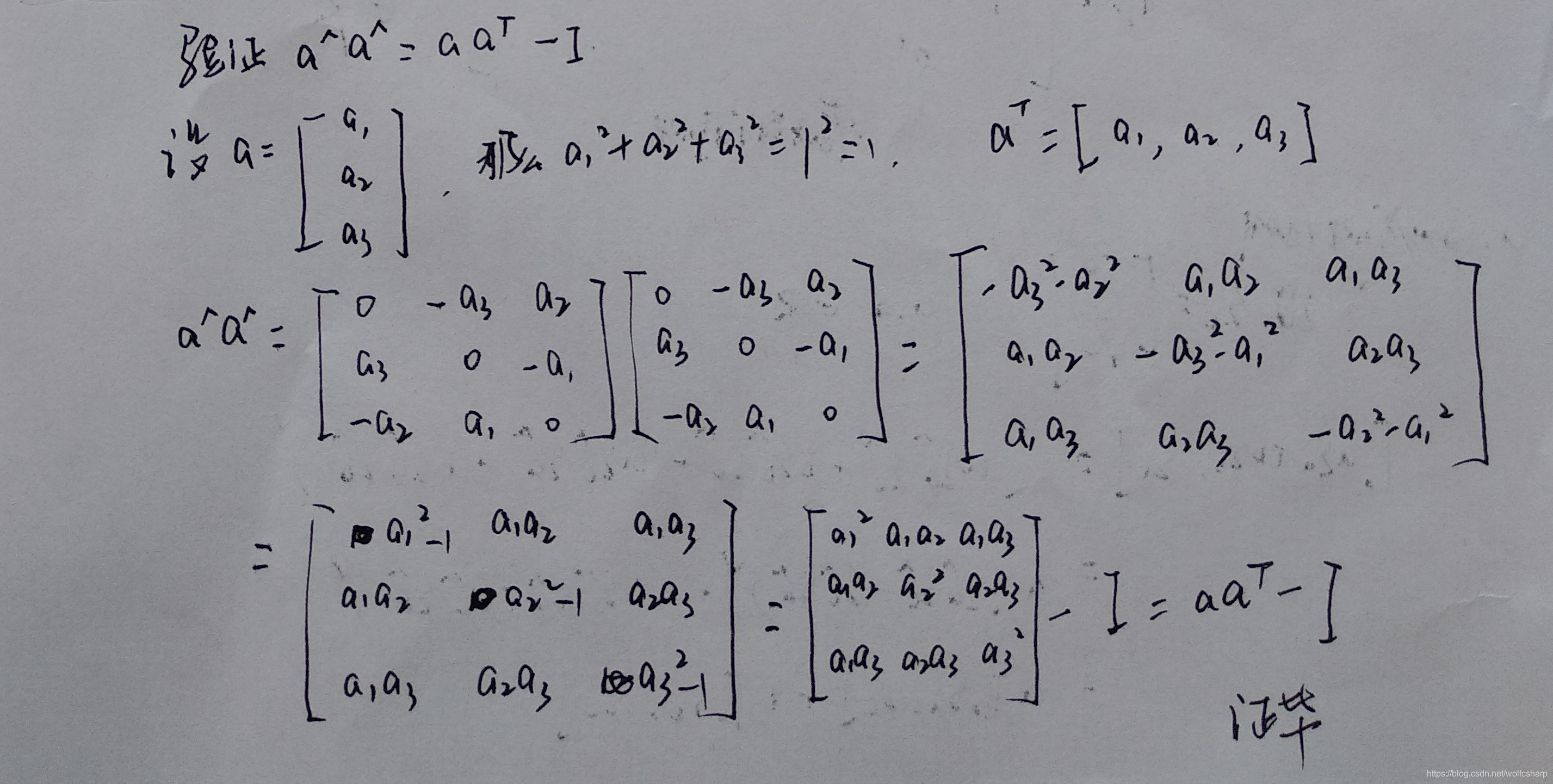
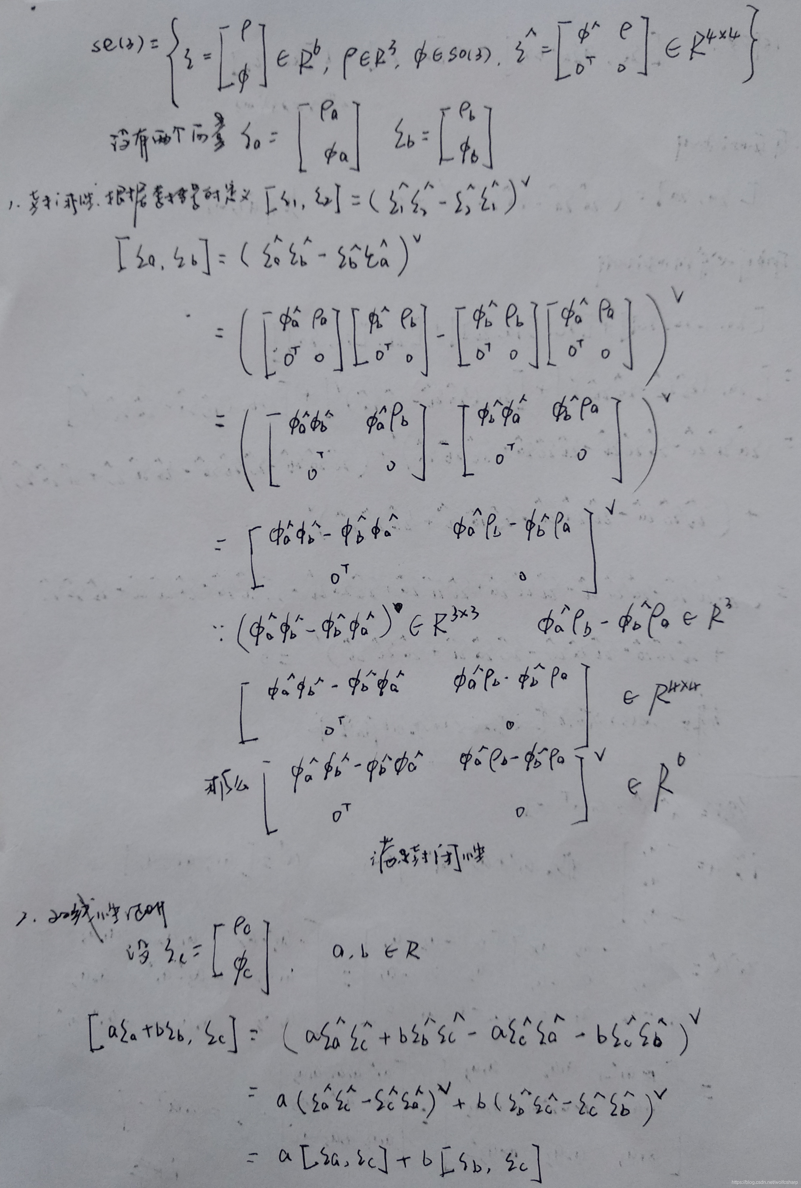
本文深入探讨视觉SLAM十四讲Chapter4课后习题解答,涵盖SO(3)、SE(3)群性质验证,李代数概念解析,及SO(3)和SE(3)右扰动导数推导,是理解视觉SLAM数学基础的绝佳资源。
本文深入探讨视觉SLAM十四讲Chapter4课后习题解答,涵盖SO(3)、SE(3)群性质验证,李代数概念解析,及SO(3)和SE(3)右扰动导数推导,是理解视觉SLAM数学基础的绝佳资源。
666
548
2865

被折叠的 条评论
为什么被折叠?