声明:对于作者的原创代码,禁止转售倒卖,违者必究!
麻雀搜索算法(sparrow search algorithm,SSA)在2020年提出, 目前已经被广泛应用于许多领域。麻雀算法的设计灵感来自鸟类的生物学特征。根据麻雀的觅食行为建立的数理模型可归类为发现者-跟随者模型,并附加预警机制。SSA 算法因易于实现、速度快等特点吸引了不少研究学者, 但SSA 算法仍存在难以找到最优解、搜索依赖精英种群、因自身特性易陷入局部最优等问题。
首先声明:本期算法由作者自行改进,内容与创新点足够支撑写一篇论文!且第一发布渠道就是微信公众号,此前作者并未在其他任何平台进行发布!也就是说这就是第一手资料!需要的速速下载!获取代码的方式放在文末了。

本期推出的新算法为:融合北方苍鹰与自适应t分布的麻雀优化算法(NTSSA),该简写只是作者为了区分原始麻雀算法而自己临时起的,大家可以根据自己的想法修改这个简写。
融合北方苍鹰算法是作者在仔细考虑了原始麻雀算法的基础上,经过多次调试,持续研究了很久才成功的。代码整理不易,且用且珍惜。废话不多说,接下来说一下改进策略。
改进策略详解
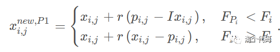
改进点1:融合北方苍鹰勘探阶段位置策略
为了提高发现者模型在解空间搜索的充分度和在优化问题中的求解性能,将发现者位置更新时的R2<ST的位置更新公式替换为北方苍鹰的勘探阶段位置更新公式。
这么做的原因是:在每次迭代的初始阶段通常会看到单个发现者快速地收敛于全局最优解决方案,以此获得强大的开发能力。然而,以该种方式获取全局最优解往往忽略了对附近搜索空间的探索,导致在全局开拓阶段探索空间量严重不足,并倾向于陷入局部最优解。而北方苍鹰的更新策略由于在搜索空间中对猎物的选择是随机的,因此采用该策略可以增加SSA算法的勘探能力。
北方苍鹰勘探阶段的位置更新公式是:


改进点2:自适应t分布变异策略
关于自适应t分布策略,前面的文章也有提到过。该策略可以极大的提升算法的收敛速度。
在麻雀算法的跟随者阶段,以一定概率进行t分布扰动变异,不仅不会改变原先麻雀算法的更新原理公式,使得麻雀算法在迭代前期具有较好的全局开发能力,在迭代后期具有良好的局部探索能力,从而加快麻雀算法的收敛速度。
具体的位置更新方式如下:

其中t(C_iter)进行了变体。
改进点3:加入Bernoulli混沌映射,增加麻雀多样性
加入Bernoulli混沌映射,主要是增加麻雀初始化的多样性。想要替换为其他混沌映射的小伙伴可以参考这篇文章:10种混沌映射优化灰狼算法,可一键切换。
Bernoulli混沌映射,公式如下:

以下两个图运行plotchaos.m可出现。


这三种策略,每一种都有自己的用处!且每种策略都是相辅相成的,缺一不可!
改进亮点
①程序可一键运行,自动生成统计表格。
每个算法各跑30次,在当前目录下可自动生成excel表格,除了对每个算法的平均值,最佳值,标准差,最差值,中位值进行统计外,还有另外一个表格专门统计秩和检验的结果。
②改进算法复杂度不变
本期推出的算法不会在循环中多次调用适应度函数,没有添加所谓的贪婪策略,反向学习等增添复杂度的手段。
③与多种智能算法进行对比试验
本期算法一共与4种效率或热度较高的智能算法进行对比试验。包括:原始麻雀算法(SSA),蜣螂算法(DBO),灰狼优化算法(GWO),北方苍鹰优化算法(NGO)。
结果展示
在CEC2005中测试:每个算法运行500次,种群设置为30个。








这里截了一些图,可以看到在CEC2005函数的测试效果是非常不错的。
将每个算法迭代500次,种群个数设置为30个,每个函数运行30次,求最优值,标准差,平均值,最差值,中位数共五个指标如下,秩和检验结果,箱线图等如下所示。
F1函数计算结果:
NTSSA:最优值:0 标准差:0 平均值:2.4487e-264 中值:6.0217e-297 最差值:7.346e-263
DBO:最优值:4.7633e-166 标准差:3.1542e-97 平均值:5.7588e-98 中值:6.9473e-135 最差值:1.7276e-96
NGO:最优值:5.738e-90 标准差:4.1173e-87 平均值:1.8453e-87 中值:4.3969e-88 最差值:2.1893e-86
SSA:最优值:0 标准差:1.0921e-54 平均值:1.9951e-55 中值:3.371e-81 最差值:5.9819e-54
GWO:最优值:2.9248e-29 标准差:8.1727e-28 平均值:7.8522e-28 中值:5.5404e-28 最差值:3.2544e-27
F2函数计算结果:
NTSSA:最优值:2.218e-172 标准差:1.3489e-135 平均值:2.4887e-136 中值:1.3881e-150 最差值:7.3908e-135
DBO:最优值:1.5703e-81 标准差:1.5102e-53 平均值:2.7573e-54 中值:1.2293e-70 最差值:8.272e-53
NGO:最优值:7.021e-47 标准差:2.0815e-45 平均值:1.4974e-45 中值:6.3103e-46 最差值:8.5487e-45
SSA:最优值:0 标准差:2.1123e-27 平均值:3.9018e-28 中值:6.8423e-37 最差值:1.1573e-26
GWO:最优值:2.1974e-17 标准差:5.8398e-17 平均值:7.7607e-17 中值:5.1817e-17 最差值:2.5636e-16
F3函数计算结果:
NTSSA:最优值:6.6952e-299 标准差:0 平均值:1.2167e-225 中值:8.0736e-262 最差值:3.5719e-224
DBO:最优值:5.1011e-146 标准差:2.4802e-49 平均值:4.5282e-50 中值:3.0561e-112 最差值:1.3585e-48
NGO:最优值:7.3707e-31 标准差:6.6499e-21 平均值:1.3306e-21 中值:8.8755e-24 最差值:3.6519e-20
SSA:最优值:2.3399e-93 标准差:1.4579e-23 平均值:2.6618e-24 中值:4.756e-36 最差值:7.9853e-23
GWO:最优值:4.104e-08 标准差:4.4844e-05 平均值:1.4637e-05 中值:1.012e-06 最差值:0.00024052
F4函数计算结果:
NTSSA:最优值:8.6675e-162 标准差:1.7667e-113 平均值:3.2255e-114 中值:2.8467e-142 最差值:9.6764e-113
DBO:最优值:1.3239e-82 标准差:9.0445e-50 平均值:1.6774e-50 中值:1.4166e-67 最差值:4.9559e-49
NGO:最优值:1.4133e-38 标准差:1.9392e-37 平均值:1.8641e-37 中值:1.3118e-37 最差值:8.6041e-37
SSA:最优值:1.0861e-114 标准差:3.2725e-27 平均值:5.9844e-28 中值:6.3272e-44 最差值:1.7925e-26
GWO:最优值:1.7578e-07 标准差:2.4345e-06 平均值:9.9418e-07 中值:4.1139e-07 最差值:1.3664e-05
F5函数计算结果:
NTSSA:最优值:1.5737e-19 标准差:1.1117e-06 平均值:5.0902e-07 中值:7.9894e-11 最差值:4.317e-06
DBO:最优值:25.1597 标准差:0.24236 平均值:25.769 中值:25.7883 最差值:26.2928
NGO:最优值:25.0399 标准差:0.38697 平均值:25.8058 中值:25.8261 最差值:26.7666
SSA:最优值:2.1946e-09 标准差:0.00011449 平均值:3.6999e-05 中值:9.6678e-07 最差值:0.00059907
GWO:最优值:25.9708 标准差:0.71277 平均值:27.0682 中值:27.0909 最差值:28.5502
F6函数计算结果:
NTSSA:最优值:2.3842e-24 标准差:3.8056e-13 平均值:7.0955e-14 中值:4.4563e-19 最差值:2.0857e-12
DBO:最优值:5.9127e-06 标准差:0.041085 平均值:0.0078301 中值:0.00014741 最差值:0.22535
NGO:最优值:9.2805e-07 标准差:0.00049172 平均值:0.00027211 中值:1.6357e-05 最差值:0.0018643
SSA:最优值:2.2624e-16 标准差:1.9703e-11 平均值:8.3951e-12 中值:1.3183e-12 最差值:1.0598e-10
GWO:最优值:0.24885 标准差:0.29782 平均值:0.78479 中值:0.75158 最差值:1.5066
F7函数计算结果:
NTSSA:最优值:9.1441e-05 标准差:0.00064115 平均值:0.00072213 中值:0.00047314 最差值:0.0024197
DBO:最优值:9.4393e-05 标准差:0.00091153 平均值:0.0011641 中值:0.001081 最差值:0.0045568
NGO:最优值:0.00012218 标准差:0.00035454 平均值:0.00069541 中值:0.00058364 最差值:0.001531
SSA:最优值:3.218e-05 标准差:0.0010267 平均值:0.0017187 中值:0.0016299 最差值:0.0043961
GWO:最优值:0.00058692 标准差:0.00097913 平均值:0.0020562 中值:0.0020771 最差值:0.0047868
F8函数计算结果:
NTSSA:最优值:-12569.4866 标准差:1678.515 平均值:-10451.1684 中值:-9819.5086 最差值:-8208.4829
DBO:最优值:-12222.1301 标准差:1972.8794 平均值:-8315.7348 中值:-7494.4121 最差值:-6071.1764
NGO:最优值:-8194.1607 标准差:474.0859 平均值:-7437.0833 中值:-7534.9128 最差值:-6427.7209
SSA:最优值:-9760.3177 标准差:600.3155 平均值:-8598.3574 中值:-8622.1659 最差值:-7266.9474
GWO:最优值:-7320.4867 标准差:600.1397 平均值:-6087.7259 中值:-6162.8539 最差值:-5100.9283
F9函数计算结果:
NTSSA:最优值:0 标准差:0 平均值:0 中值:0 最差值:0
DBO:最优值:0 标准差:0.72662 平均值:0.13266 中值:0 最差值:3.9798
NGO:最优值:0 标准差:0 平均值:0 中值:0 最差值:0
SSA:最优值:0 标准差:0 平均值:0 中值:0 最差值:0
GWO:最优值:0 标准差:3.2819 平均值:2.0311 中值:2.558e-13 最差值:9.6945
F10函数计算结果:
NTSSA:最优值:4.4409e-16 标准差:0 平均值:4.4409e-16 中值:4.4409e-16 最差值:4.4409e-16
DBO:最优值:4.4409e-16 标准差:0 平均值:4.4409e-16 中值:4.4409e-16 最差值:4.4409e-16
NGO:最优值:3.9968e-15 标准差:1.7702e-15 平均值:5.4179e-15 中值:3.9968e-15 最差值:7.5495e-15
SSA:最优值:4.4409e-16 标准差:0 平均值:4.4409e-16 中值:4.4409e-16 最差值:4.4409e-16
GWO:最优值:7.5051e-14 标准差:1.5404e-14 平均值:1.0134e-13 中值:9.992e-14 最差值:1.3545e-13
F11函数计算结果:
NTSSA:最优值:0 标准差:0 平均值:0 中值:0 最差值:0
DBO:最优值:0 标准差:0.003148 平均值:0.00057475 中值:0 最差值:0.017242
NGO:最优值:0 标准差:0 平均值:0 中值:0 最差值:0
SSA:最优值:0 标准差:0 平均值:0 中值:0 最差值:0
GWO:最优值:0 标准差:0.0034541 平均值:0.00090182 中值:0 最差值:0.015013
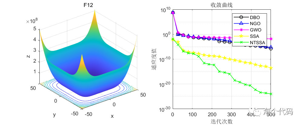
F12函数计算结果:
NTSSA:最优值:1.8932e-32 标准差:1.269e-16 平均值:2.3613e-17 中值:2.1048e-22 最差值:6.9541e-16
DBO:最优值:1.5266e-07 标准差:0.0015418 平均值:0.00034054 中值:2.9786e-06 最差值:0.0084239
NGO:最优值:1.9257e-07 标准差:0.001198 平均值:0.00024015 中值:2.4687e-06 最差值:0.0065767
SSA:最优值:2.3003e-16 标准差:4.2474e-11 平均值:8.6696e-12 中值:3.461e-13 最差值:2.3343e-10
GWO:最优值:0.019073 标准差:0.021546 平均值:0.04447 中值:0.040303 最差值:0.10467
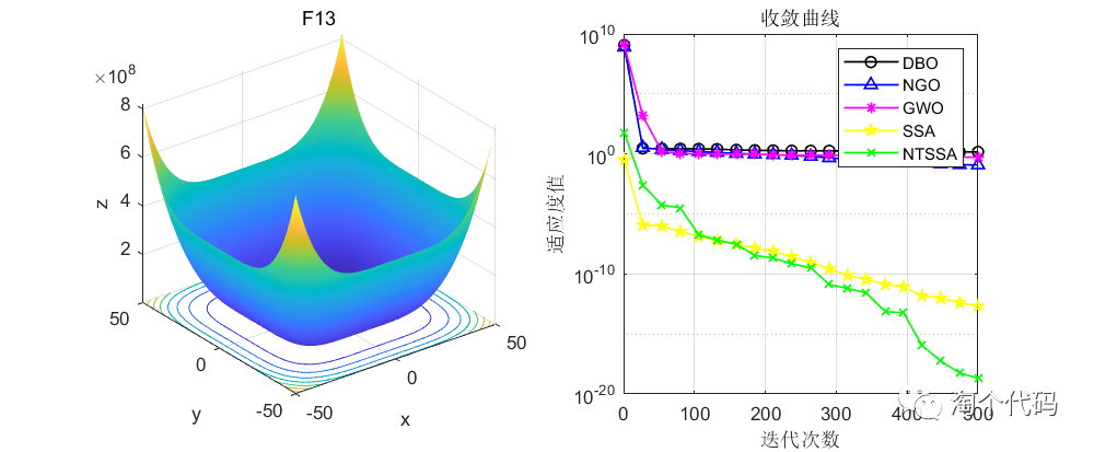
F13函数计算结果:
NTSSA:最优值:1.1546e-29 标准差:1.274e-14 平均值:2.3842e-15 中值:1.1823e-21 最差值:6.9829e-14
DBO:最优值:5.5406e-05 标准差:0.47286 平均值:0.55624 中值:0.37375 最差值:1.5904
NGO:最优值:0.0094832 标准差:0.17502 平均值:0.24457 中值:0.19172 最差值:0.64407
SSA:最优值:3.8888e-15 标准差:1.1059e-10 平均值:3.8039e-11 中值:2.5836e-12 最差值:5.7651e-10
GWO:最优值:0.18385 标准差:0.27035 平均值:0.57197 中值:0.53991 最差值:1.0552
F14函数计算结果:
NTSSA:最优值:0.998 标准差:0.60541 平均值:1.1964 中值:0.998 最差值:2.9821
DBO:最优值:0.998 标准差:1.8098 平均值:1.4559 中值:0.998 最差值:10.7632
NGO:最优值:0.998 标准差:0 平均值:0.998 中值:0.998 最差值:0.998
SSA:最优值:0.998 标准差:4.7056 平均值:3.859 中值:0.998 最差值:12.6705
GWO:最优值:0.998 标准差:3.8605 平均值:4.365 中值:2.9821 最差值:12.6705
F15函数计算结果:
NTSSA:最优值:0.00030749 标准差:0.00019233 平均值:0.00040628 中值:0.00030749 最差值:0.0012232
DBO:最优值:0.00030749 标准差:0.00040232 平均值:0.00077246 中值:0.00073137 最差值:0.0022368
NGO:最优值:0.00030749 标准差:6.0974e-06 平均值:0.00030875 中值:0.00030749 最差值:0.00034097
SSA:最优值:0.00030749 标准差:3.4e-08 平均值:0.00030749 中值:0.00030749 最差值:0.00030767
GWO:最优值:0.00030751 标准差:0.0095675 平均值:0.0070606 中值:0.00044344 最差值:0.020363
F16函数计算结果:
NTSSA:最优值:-1.0316 标准差:5.0499e-16 平均值:-1.0316 中值:-1.0316 最差值:-1.0316
DBO:最优值:-1.0316 标准差:6.2532e-16 平均值:-1.0316 中值:-1.0316 最差值:-1.0316
NGO:最优值:-1.0316 标准差:6.4539e-16 平均值:-1.0316 中值:-1.0316 最差值:-1.0316
SSA:最优值:-1.0316 标准差:5.0499e-16 平均值:-1.0316 中值:-1.0316 最差值:-1.0316
GWO:最优值:-1.0316 标准差:1.889e-08 平均值:-1.0316 中值:-1.0316 最差值:-1.0316
F17函数计算结果:
NTSSA:最优值:0.39789 标准差:0 平均值:0.39789 中值:0.39789 最差值:0.39789
DBO:最优值:0.39789 标准差:0 平均值:0.39789 中值:0.39789 最差值:0.39789
NGO:最优值:0.39789 标准差:0 平均值:0.39789 中值:0.39789 最差值:0.39789
SSA:最优值:0.39789 标准差:0 平均值:0.39789 中值:0.39789 最差值:0.39789
GWO:最优值:0.39789 标准差:5.0589e-06 平均值:0.39789 中值:0.39789 最差值:0.3979
F18函数计算结果:
NTSSA:最优值:3 标准差:8.2385 平均值:5.7 中值:3 最差值:30
DBO:最优值:3 标准差:3.2246e-15 平均值:3 中值:3 最差值:3
NGO:最优值:3 标准差:1.01e-15 平均值:3 中值:3 最差值:3
SSA:最优值:3 标准差:4.9295 平均值:3.9 中值:3 最差值:30
GWO:最优值:3 标准差:14.7885 平均值:5.7 中值:3 最差值:84.0001
F19函数计算结果:
NTSSA:最优值:-3.8628 标准差:2.2554e-15 平均值:-3.8628 中值:-3.8628 最差值:-3.8628
DBO:最优值:-3.8628 标准差:0.0029875 平均值:-3.8615 中值:-3.8628 最差值:-3.8549
NGO:最优值:-3.8628 标准差:2.6823e-15 平均值:-3.8628 中值:-3.8628 最差值:-3.8628
SSA:最优值:-3.8628 标准差:2.2704e-15 平均值:-3.8628 中值:-3.8628 最差值:-3.8628
GWO:最优值:-3.8628 标准差:0.0028267 平均值:-3.8612 中值:-3.8627 最差值:-3.8549
F20函数计算结果:
NTSSA:最优值:-3.322 标准差:0.051146 平均值:-3.2943 中值:-3.322 最差值:-3.2031
DBO:最优值:-3.322 标准差:0.14086 平均值:-3.2255 中值:-3.2625 最差值:-2.6381
NGO:最优值:-3.322 标准差:9.4743e-11 平均值:-3.322 中值:-3.322 最差值:-3.322
SSA:最优值:-3.322 标准差:0.060328 平均值:-3.2665 中值:-3.322 最差值:-3.2031
GWO:最优值:-3.322 标准差:0.076006 平均值:-3.2587 中值:-3.322 最差值:-3.1333
F21函数计算结果:
NTSSA:最优值:-10.1532 标准差:5.4999e-15 平均值:-10.1532 中值:-10.1532 最差值:-10.1532
DBO:最优值:-10.1532 标准差:2.5512 平均值:-7.2766 中值:-5.1008 最差值:-5.0552
NGO:最优值:-10.1532 标准差:6.113e-06 平均值:-10.1532 中值:-10.1532 最差值:-10.1532
SSA:最优值:-10.1532 标准差:2.1907 平均值:-8.9591 中值:-10.1532 最差值:-5.0552
GWO:最优值:-10.1531 标准差:2.179 平均值:-8.9695 中值:-10.1511 最差值:-5.0552
F22函数计算结果:
NTSSA:最优值:-10.4029 标准差:8.0799e-16 平均值:-10.4029 中值:-10.4029 最差值:-10.4029
DBO:最优值:-10.4029 标准差:2.7911 平均值:-8.027 中值:-10.3948 最差值:-2.7659
NGO:最优值:-10.4029 标准差:7.413e-09 平均值:-10.4029 中值:-10.4029 最差值:-10.4029
SSA:最优值:-10.4029 标准差:2.2865 平均值:-9.1627 中值:-10.4029 最差值:-5.0877
GWO:最优值:-10.4027 标准差:1.8889 平均值:-9.793 中值:-10.4008 最差值:-2.7515
F23函数计算结果:
NTSSA:最优值:-10.5364 标准差:1.616e-15 平均值:-10.5364 中值:-10.5364 最差值:-10.5364
DBO:最优值:-10.5364 标准差:2.8156 平均值:-8.7632 中值:-10.5364 最差值:-1.8595
NGO:最优值:-10.5364 标准差:1.6201e-06 平均值:-10.5364 中值:-10.5364 最差值:-10.5364
SSA:最优值:-10.5364 标准差:2.3264 平均值:-9.2746 中值:-10.5364 最差值:-5.1285
GWO:最优值:-10.5362 标准差:1.7469 平均值:-10.0856 中值:-10.5349 最差值:-2.4216
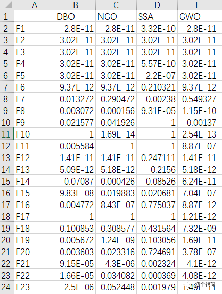
五种指标一键转换为EXCEL表格:

秩和检验结果:

箱线图:

包含一个作图的程序(plotCEC2005_Main.m)和一个统计指标一键生成excel和箱线图的程序(runsCEC2005_Main.m)和一个绘制混沌映射图的程序(plotchaos.m)。
运行后,会直接生成表格,其中result.xls即为最优值,标准差,平均值,最差值,中位数指标统计结果,ranksumresult.xls为秩和检验结果。
部分代码展示:
%%
clear
clc
close all
addpath(genpath(pwd));
number='F12'; %选定优化函数,自行替换:F1~F23
[lower_bound,upper_bound,variables_no,fobj]=CEC2005(number); % [lb,ub,D,y]:下界、上界、维度、目标函数表达式
pop_size=30; % population members
max_iter=1000; % maximum number of iteration
%% NTSSA
[NTSSA_Best_score,Best_pos,NTSSA_curve]=NTSSA(pop_size,max_iter,lower_bound,upper_bound,variables_no,fobj); % Calculating the solution of the given problem using NTSSA
display(['The best optimal value of the objective funciton found by NTSSA for ' [num2str(number)],' is : ', num2str(NTSSA_Best_score)]);
%% DBO
[DBO_Best_score,Best_pos,DBO_curve]=DBO(pop_size,max_iter,lower_bound,upper_bound,variables_no,fobj); % Calculating the solution of the given problem using DBO
display(['The best optimal value of the objective funciton found by DBO for ' [num2str(number)],' is : ', num2str(DBO_Best_score)]);
%% NGO
[NGO_Best_score,~,NGO_curve]=NGO(pop_size,max_iter,lower_bound,upper_bound,variables_no,fobj);
display(['The best optimal value of the objective funciton found by NGO for ' [num2str(number)],' is : ', num2str(NGO_Best_score)]);
%% SSA
[SSA_Best_score,~,SSA_curve]=SSA(pop_size,max_iter,lower_bound,upper_bound,variables_no,fobj);
display(['The best optimal value of the objective funciton found by SSA for ' [num2str(number)],' is : ', num2str(SSA_Best_score)]);
%% GWO
[GWO_Best_score,~,GWO_curve]=GWO(pop_size,max_iter,lower_bound,upper_bound,variables_no,fobj);
display(['The best optimal value of the objective funciton found by GWO for ' [num2str(number)],' is : ', num2str(GWO_Best_score)]);
%% Figure
figure1 = figure('Color',[1 1 1]);
G1=subplot(1,2,1,'Parent',figure1);
func_plot(number)
title(number)
xlabel('x')
ylabel('y')
zlabel('z')
subplot(1,2,2)
G2=subplot(1,2,2,'Parent',figure1);
CNT=20;
k=round(linspace(1,max_iter,CNT)); %随机选CNT个点
% 注意:如果收敛曲线画出来的点很少,随机点很稀疏,说明点取少了,这时应增加取点的数量,100、200、300等,逐渐增加
% 相反,如果收敛曲线上的随机点非常密集,说明点取多了,此时要减少取点数量
iter=1:1:max_iter;
if ~strcmp(number,'F16')&&~strcmp(number,'F9')&&~strcmp(number,'F11') %这里是因为这几个函数收敛太快,不适用于semilogy,直接plot
semilogy(iter(k),DBO_curve(k),'k-o','linewidth',1);
hold on
semilogy(iter(k),NGO_curve(k),'b-^','linewidth',1);
hold on
semilogy(iter(k),GWO_curve(k),'m-*','linewidth',1);
hold on
semilogy(iter(k),SSA_curve(k),'y-p','linewidth',1);
hold on
semilogy(iter(k),NTSSA_curve(k),'g-x','linewidth',1);
else
plot(iter(k),DBO_curve(k),'k-o','linewidth',1);
hold on
plot(iter(k),NGO_curve(k),'b-^','linewidth',1);
hold on
plot(iter(k),GWO_curve(k),'m-*','linewidth',1);
hold on
plot(iter(k),SSA_curve(k),'y-p','linewidth',1);
hold on
plot(iter(k),NTSSA_curve(k),'g-x','linewidth',1);
end
grid on;
title('收敛曲线')
xlabel('迭代次数');
ylabel('适应度值');
box on
legend('DBO','NGO','GWO','SSA','NTSSA')
set (gcf,'position', [300,300,800,330])
rmpath(genpath(pwd))
点击下方卡片获取更多代码!
本文介绍了麻雀搜索算法(SSA),指出其存在难以找到最优解等问题。作者推出融合北方苍鹰与自适应t分布的麻雀优化算法(NTSSA),阐述了融合北方苍鹰勘探阶段位置策略、自适应t分布变异策略、加入Bernoulli混沌映射等改进策略,还展示了改进亮点及测试结果。
258

被折叠的 条评论
为什么被折叠?



