声明:对于作者的原创代码,禁止转售倒卖,违者必究!
北方苍鹰算法(NGO)是2021年由Dehghani M等人提出的,该算法模拟了北方苍鹰识别猎物和追逐猎物的自然行为。该成果于2021年发表在知名SCI期刊IEEE Access上。自算法推出以来,深受欢迎!目前谷歌学术上查询被引119次。

知网上也可以查到很多关于北方苍鹰算法改进的文章。
本次推文融合2023年新算法:减法优化器算法,并配合其他策略对北方苍鹰算法进行改进。减法优化器算法本身具有原理简单,寻优能力强大的特点,且算法足够有新意!
首先声明:本期算法由作者自行改进,内容与创新点足够支撑水一篇论文!且第一发布渠道就是微信公众号,此前作者并未在其他任何平台进行发布!也就是说这就是第一手资料!需要的速速下载!获取代码的方式放在文末了。

本期推出的新算法为:融合减法优化器和柯西变异的北方苍鹰算法(INGO),该简写只是为了区分原始北方苍鹰算法而自己临时起的,大家可以根据自己的想法修改这个简写。
代码功能简介
①与多种智能算法进行对比试验
本期算法一共与其余5种效率或热度较高的智能算法进行对比试验。包括:麻雀算法(SSA),蜣螂优化算法(DBO),原始北方苍鹰优化算法(NGO),减法优化器算法(SABO),金豺优化算法(GJO)。选用的这几个算法,都是近期比较热门,谷歌学术引用次数较多的算法,公信力较足!
经常研究智能算法的小伙伴肯定知道一般人改进算法不敢与麻雀算法,蜣螂算法进行比较。本篇改进算法无论在寻有效率,还是寻优精度上都比原始的麻雀,蜣螂算法要好。
②程序可一键运行,自动生成统计表格。
每个算法各跑30次,在当前目录下可自动生成excel表格,除了对每个算法的平均值,最佳值,标准差,最差值,中位值进行统计外,还有另外一个表格专门统计秩和检验的结果。
③自动生成箱线图
箱线图在众多智能优化算法的文章中会有体现,可以直观的看出算法的整体效果。
④不增加算法复杂度
本期推出的算法不会在循环中多次调用适应度函数,没有添加所谓的贪婪策略,反向学习等增添复杂度的手段。且改进前后的北方苍鹰算法复杂度保持一致!
改进策略
接下来直接上改进策略:
改进点1: 引入最佳值引导策略
在NGO的第1阶段猎物逃跑过程中,当 时,北方苍鹰算法是随机挑选一只苍鹰引导整体种群进行位置更新,这虽然可以使得整个种群进行快速收敛,但同时也导致了算法的盲目性。本次改进采用最佳值引导进行位置更新。
改进点2: 引入减法优化器算法
在NGO的第1阶段猎物逃跑过程中,当 时,引入减法优化器算法。采用减法优化器算法进行位置更新,不仅可以避免北方苍鹰算法的盲目性和随机性,而且可以利用减法优化器对全局粒子的更新能力,降低了原始北方苍鹰算法陷入局部最优解的概率。减法优化器会综合全局的位置不断更新,这在一定程度上,增强了算法跳出局部最优的可能性,加速了全局收敛的速度。
改进点3: 添加概率因子,进行柯西变异
在NGO的第2阶段追击与逃逸中,添加一定的概率因子进行柯西变异。针对北方苍鹰优化算法易陷入局部最优的特点,利用柯西变异来增加种群的多样性,提高算法的全局搜索能力,增加搜索空间。柯西分布函数在原点处的峰值较小但在两端的分布比较长,利用柯西变异能够在当前变异的北方苍鹰个体附近生成更大的扰动从而使得柯西分布函数的范围比较广,采用柯西变异两端分布更容易跳出局部最优值。本文融入柯西算子,充分利用柯西分布函数两端变异的效果来优化算全局最优个体,使得算法能够更好地达到全局最优。
改进点4: 根据上下限进行位置动态更新
在NGO的第2阶段追击与逃逸中,引入上下限值,并进行逐步缩减。这样可以使北方苍鹰算法随着迭代次数的增加,目标范围动态缩小,加速算法的收敛能力。
算法原理会在压缩包中,有专门的word文档讲清楚,有详细的原理公式!
结果展示
在CEC2005中测试:







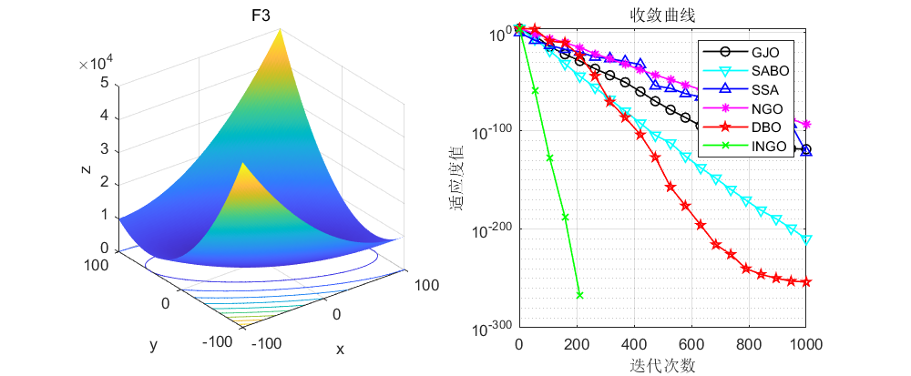
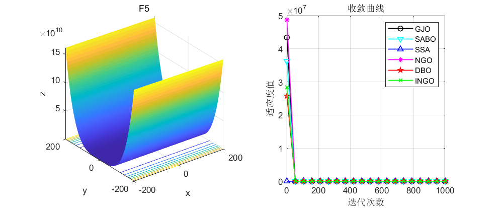
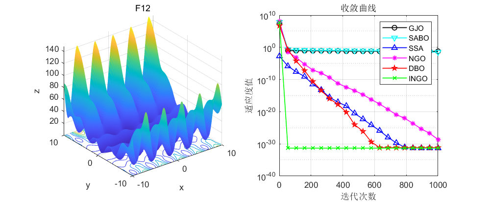
这里截了一些图,可以看到在CEC2005函数的测试效果是非常不错的。了解智能算法的小伙伴一定知道,F6,F7,F12,F13这几个函数最能考验一个算法的优劣,本文推出的新算法在这几个函数的测试均为最佳!将每个算法迭代500次,种群个数设置为30个,每个函数运行30次,求最优值,标准差,平均值,最差值,中位数共五个指标如下,秩和检验结果,箱线图等如下所示。
箱线图:

指标统计结果:
F1函数计算结果:
INGO:最优值:0 标准差:0 平均值:0 中值:0 最差值:0
GJO:最优值:1.1542e-229 标准差:0 平均值:4.0918e-221 中值:5.8034e-225 最差值:8.6139e-220
SSA:最优值:0 标准差:1.7384e-102 平均值:3.174e-103 中值:1.3094e-145 最差值:9.5215e-102
DBO:最优值:4.5454e-322 标准差:0 平均值:9.0221e-236 中值:3.2428e-277 最差值:2.7066e-234
NGO:最优值:5.3298e-206 标准差:0 平均值:5.5801e-201 中值:3.2278e-202 最差值:1.3244e-199
SABO:最优值:0 标准差:0 平均值:0 中值:0 最差值:0
F2函数计算结果:
INGO:最优值:0 标准差:0 平均值:0 中值:0 最差值:0
GJO:最优值:5.0402e-125 标准差:7.7658e-121 平均值:2.8296e-121 中值:3.1058e-123 最差值:3.187e-120
SSA:最优值:4.0403e-94 标准差:1.0509e-53 平均值:2.7387e-54 中值:1.1788e-63 最差值:4.8584e-53
DBO:最优值:2.5844e-160 标准差:4.1728e-117 平均值:7.6184e-118 中值:6.2306e-138 最差值:2.2855e-116
NGO:最优值:8.7857e-106 标准差:7.9889e-103 平均值:3.7122e-103 中值:9.1314e-104 最差值:4.0804e-102
SABO:最优值:5.9138e-223 标准差:0 平均值:2.1932e-219 中值:1.3786e-220 最差值:2.9629e-218
F3函数计算结果:
INGO:最优值:0 标准差:0 平均值:0 中值:0 最差值:0
GJO:最优值:3.676e-132 标准差:1.2356e-113 平均值:2.3343e-114 中值:1.0105e-121 最差值:6.7729e-113
SSA:最优值:3.352e-231 标准差:1.0582e-68 平均值:1.9574e-69 中值:2.0975e-90 最差值:5.7982e-68
DBO:最优值:4.899e-276 标准差:0 平均值:3.4748e-176 中值:2.7893e-237 最差值:1.0424e-174
NGO:最优值:1.0497e-98 标准差:4.5759e-91 平均值:9.4257e-92 中值:1.402e-94 最差值:2.508e-90
SABO:最优值:5.5406e-225 标准差:0 平均值:5.7514e-183 中值:1.0214e-201 最差值:1.7254e-181
F4函数计算结果:
INGO:最优值:0 标准差:0 平均值:0 中值:0 最差值:0
GJO:最优值:1.444e-87 标准差:9.3614e-81 平均值:2.6421e-81 中值:2.5991e-83 最差值:4.3766e-80
SSA:最优值:1.3439e-155 标准差:2.0837e-37 平均值:3.8043e-38 中值:1.6545e-60 最差值:1.1413e-36
DBO:最优值:1.9157e-162 标准差:1.7134e-111 平均值:3.3473e-112 中值:5.2884e-132 最差值:9.384e-111
NGO:最优值:1.2533e-91 标准差:5.8394e-90 平均值:4.4969e-90 中值:2.1937e-90 最差值:2.2155e-89
SABO:最优值:1.4802e-173 标准差:0 平均值:4.7506e-170 中值:1.8016e-171 最差值:7.0921e-169
F5函数计算结果:
INGO:最优值:0 标准差:0 平均值:0 中值:0 最差值:0
GJO:最优值:6.1275 标准差:0.76169 平均值:6.8975 中值:7.1669 最差值:8.7067
SSA:最优值:1.3386e-13 标准差:2.7946e-06 平均值:9.5447e-07 中值:3.3648e-08 最差值:1.3165e-05
DBO:最优值:0.2215 标准差:0.81226 平均值:3.9845 中值:4.0848 最差值:5.3361
NGO:最优值:0.051514 标准差:0.19587 平均值:0.24465 中值:0.19821 最差值:0.89223
SABO:最优值:5.9973 标准差:0.6005 平均值:7.1881 中值:7.0014 最差值:8.6906
F6函数计算结果:
INGO:最优值:0 标准差:0 平均值:0 中值:0 最差值:0
GJO:最优值:3.6351e-06 标准差:0.20477 平均值:0.22214 中值:0.24979 最差值:0.74647
SSA:最优值:0 标准差:1.2773e-32 平均值:7.0874e-33 中值:0 最差值:6.163e-32
DBO:最优值:1.2326e-32 标准差:3.7451e-28 平均值:9.4492e-29 中值:3.4359e-31 最差值:1.899e-27
NGO:最优值:8.3015e-30 标准差:4.4591e-26 平均值:1.3919e-26 中值:6.2632e-28 最差值:2.311e-25
SABO:最优值:0.00019768 标准差:0.050452 平均值:0.012377 中值:0.00089108 最差值:0.27444
F7函数计算结果:
INGO:最优值:1.5854e-06 标准差:2.432e-05 平均值:2.3298e-05 中值:1.4912e-05 最差值:0.00011254
GJO:最优值:5.0511e-06 标准差:9.6467e-05 平均值:8.7881e-05 中值:5.252e-05 最差值:0.00043947
SSA:最优值:3.8703e-05 标准差:0.00026433 平均值:0.00034736 中值:0.00024905 最差值:0.0010463
DBO:最优值:4.6041e-05 标准差:0.00043354 平均值:0.00060196 中值:0.00048304 最差值:0.0017583
NGO:最优值:5.5142e-05 标准差:9.0865e-05 平均值:0.00021437 中值:0.00020788 最差值:0.00045013
SABO:最优值:1.9169e-06 标准差:3.5242e-05 平均值:4.1074e-05 中值:2.2917e-05 最差值:0.00012642
F8函数计算结果:
INGO:最优值:-3109.8049 标准差:110.9252 平均值:-2957.2405 中值:-2994.9822 最差值:-2583.9697
GJO:最优值:-3321.0147 标准差:405.6013 平均值:-2382.8711 中值:-2381.9311 最差值:-1754.4323
SSA:最优值:-3854.2509 标准差:281.3952 平均值:-3217.4538 中值:-3237.0125 最差值:-2683.5363
DBO:最优值:-4189.7257 标准差:435.8221 平均值:-3500.9013 中值:-3428.7802 最差值:-2879.4219
NGO:最优值:-3854.2509 标准差:212.6622 平均值:-3436.4644 中值:-3428.4756 最差值:-3064.6484
SABO:最优值:-2191.2577 标准差:170.5913 平均值:-1810.7526 中值:-1797.2752 最差值:-1459.9393
F9函数计算结果:
INGO:最优值:0 标准差:0 平均值:0 中值:0 最差值:0
GJO:最优值:0 标准差:0 平均值:0 中值:0 最差值:0
SSA:最优值:0 标准差:0 平均值:0 中值:0 最差值:0
DBO:最优值:0 标准差:4.1225 平均值:1.2603 中值:0 最差值:18.9042
NGO:最优值:0 标准差:0 平均值:0 中值:0 最差值:0
SABO:最优值:0 标准差:0 平均值:0 中值:0 最差值:0
F10函数计算结果:
INGO:最优值:4.4409e-16 标准差:0 平均值:4.4409e-16 中值:4.4409e-16 最差值:4.4409e-16
GJO:最优值:4.4409e-16 标准差:9.0135e-16 平均值:3.76e-15 中值:3.9968e-15 最差值:3.9968e-15
SSA:最优值:4.4409e-16 标准差:0 平均值:4.4409e-16 中值:4.4409e-16 最差值:4.4409e-16
DBO:最优值:4.4409e-16 标准差:6.4863e-16 平均值:5.6251e-16 中值:4.4409e-16 最差值:3.9968e-15
NGO:最优值:3.9968e-15 标准差:0 平均值:3.9968e-15 中值:3.9968e-15 最差值:3.9968e-15
SABO:最优值:3.9968e-15 标准差:0 平均值:3.9968e-15 中值:3.9968e-15 最差值:3.9968e-15
F11函数计算结果:
INGO:最优值:0 标准差:0 平均值:0 中值:0 最差值:0
GJO:最优值:0 标准差:0 平均值:0 中值:0 最差值:0
SSA:最优值:0 标准差:0 平均值:0 中值:0 最差值:0
DBO:最优值:0 标准差:0.043684 平均值:0.013781 中值:0 最差值:0.20173
NGO:最优值:0 标准差:0 平均值:0 中值:0 最差值:0
SABO:最优值:0 标准差:0.069138 平均值:0.012623 中值:0 最差值:0.37869
F12函数计算结果:
INGO:最优值:4.7116e-32 标准差:1.6702e-47 平均值:4.7116e-32 中值:4.7116e-32 最差值:4.7116e-32
GJO:最优值:3.5936e-06 标准差:0.021574 平均值:0.039099 中值:0.039303 最差值:0.078592
SSA:最优值:4.7116e-32 标准差:1.1593e-33 平均值:4.7947e-32 中值:4.7721e-32 最差值:5.1957e-32
DBO:最优值:4.8326e-32 标准差:1.8988e-21 平均值:3.4705e-22 中值:6.9987e-32 最差值:1.0401e-20
NGO:最优值:9.4068e-32 标准差:2.8727e-26 平均值:7.909e-27 中值:1.8693e-28 最差值:1.5711e-25
SABO:最优值:0.00039579 标准差:0.063949 平均值:0.0364 中值:0.018939 最差值:0.34787
F13函数计算结果:
INGO:最优值:1.3498e-32 标准差:5.5674e-48 平均值:1.3498e-32 中值:1.3498e-32 最差值:1.3498e-32
GJO:最优值:7.3617e-06 标准差:0.097278 平均值:0.14385 中值:0.10645 最差值:0.3109
SSA:最优值:1.3498e-32 标准差:3.5863e-33 平均值:1.5347e-32 中值:1.3498e-32 最差值:2.8289e-32
DBO:最优值:3.3219e-32 标准差:0.044868 平均值:0.027217 中值:8.3414e-19 最差值:0.14137
NGO:最优值:7.8357e-29 标准差:0.0041648 平均值:0.0018312 中值:6.5687e-27 最差值:0.010987
SABO:最优值:0.0037695 标准差:0.19863 平均值:0.16523 中值:0.13116 最差值:0.81134
F14函数计算结果:
INGO:最优值:0.998 标准差:9.3723e-10 平均值:0.998 中值:0.998 最差值:0.998
GJO:最优值:0.998 标准差:4.6795 平均值:5.3645 中值:2.9821 最差值:12.6705
SSA:最优值:0.998 标准差:5.6852 平均值:7.3582 中值:11.7168 最差值:12.6705
DBO:最优值:0.998 标准差:0.52656 平均值:1.1634 中值:0.998 最差值:2.9821
NGO:最优值:0.998 标准差:0 平均值:0.998 中值:0.998 最差值:0.998
SABO:最优值:0.998 标准差:2.9972 平均值:3.5142 中值:2.9881 最差值:12.5168
F15函数计算结果:
INGO:最优值:0.00030761 标准差:0.00023095 平均值:0.0003898 中值:0.00031388 最差值:0.001225
GJO:最优值:0.0003075 标准差:0.00027322 平均值:0.00042922 中值:0.0003181 最差值:0.0012234
SSA:最优值:0.00030749 标准差:1.9321e-05 平均值:0.00031101 中值:0.00030749 最差值:0.00041331
DBO:最优值:0.00030749 标准差:0.00036114 平均值:0.00078006 中值:0.00078232 最差值:0.0013592
NGO:最优值:0.00030749 标准差:1.6196e-13 平均值:0.00030749 中值:0.00030749 最差值:0.00030749
SABO:最优值:0.00031201 标准差:0.0013412 平均值:0.00079109 中值:0.000461 最差值:0.007695
F16函数计算结果:
INGO:最优值:-1.0316 标准差:6.0675e-08 平均值:-1.0316 中值:-1.0316 最差值:-1.0316
GJO:最优值:-1.0316 标准差:7.4528e-08 平均值:-1.0316 中值:-1.0316 最差值:-1.0316
SSA:最优值:-1.0316 标准差:5.9752e-16 平均值:-1.0316 中值:-1.0316 最差值:-1.0316
DBO:最优值:-1.0316 标准差:6.1849e-16 平均值:-1.0316 中值:-1.0316 最差值:-1.0316
NGO:最优值:-1.0316 标准差:6.7752e-16 平均值:-1.0316 中值:-1.0316 最差值:-1.0316
SABO:最优值:-1.0316 标准差:0.011575 平均值:-1.0254 中值:-1.0314 最差值:-0.98119
F17函数计算结果:
INGO:最优值:0.39789 标准差:1.1474e-05 平均值:0.39789 中值:0.39789 最差值:0.39793
GJO:最优值:0.39789 标准差:0.00019385 平均值:0.39793 中值:0.39789 最差值:0.39895
SSA:最优值:0.39789 标准差:0 平均值:0.39789 中值:0.39789 最差值:0.39789
DBO:最优值:0.39789 标准差:4.5074e-16 平均值:0.39789 中值:0.39789 最差值:0.39789
NGO:最优值:0.39789 标准差:0 平均值:0.39789 中值:0.39789 最差值:0.39789
SABO:最优值:0.3979 标准差:0.13143 平均值:0.47277 中值:0.40038 最差值:0.82235
F18函数计算结果:
INGO:最优值:3 标准差:1.7731e-07 平均值:3 中值:3 最差值:3
GJO:最优值:3 标准差:14.7885 平均值:5.7 中值:3 最差值:84
SSA:最优值:3 标准差:6.8501 平均值:4.8 中值:3 最差值:30
DBO:最优值:3 标准差:4.9295 平均值:3.9 中值:3 最差值:30
NGO:最优值:3 标准差:1.3399e-15 平均值:3 中值:3 最差值:3
SABO:最优值:3.0002 标准差:0.95339 平均值:3.4976 中值:3.0496 最差值:6.2469
F19函数计算结果:
INGO:最优值:-3.8628 标准差:0.00040442 平均值:-3.8626 中值:-3.8628 最差值:-3.861
GJO:最优值:-3.8628 标准差:0.0039064 平均值:-3.8592 中值:-3.8626 最差值:-3.8549
SSA:最优值:-3.8628 标准差:0.14113 平均值:-3.837 中值:-3.8628 最差值:-3.0898
DBO:最优值:-3.8628 标准差:0.0029806 平均值:-3.8614 中值:-3.8628 最差值:-3.8549
NGO:最优值:-3.8628 标准差:2.7101e-15 平均值:-3.8628 中值:-3.8628 最差值:-3.8628
SABO:最优值:-3.8626 标准差:0.1777 平均值:-3.7142 中值:-3.7973 最差值:-3.0937
F20函数计算结果:
INGO:最优值:-3.322 标准差:0.058989 平均值:-3.2903 中值:-3.3214 最差值:-3.1191
GJO:最优值:-3.322 标准差:0.1786 平均值:-3.146 中值:-3.1962 最差值:-2.4318
SSA:最优值:-3.322 标准差:0.057005 平均值:-3.2824 中值:-3.322 最差值:-3.2031
DBO:最优值:-3.322 标准差:0.084908 平均值:-3.2151 中值:-3.2031 最差值:-3.0839
NGO:最优值:-3.322 标准差:0.021707 平均值:-3.318 中值:-3.322 最差值:-3.2031
SABO:最优值:-3.3217 标准差:0.076822 平均值:-3.2612 中值:-3.2886 最差值:-2.9974
F21函数计算结果:
INGO:最优值:-10.1523 标准差:2.5379 平均值:-7.9081 中值:-10.0194 最差值:-5.0552
GJO:最优值:-10.1525 标准差:1.9217 平均值:-9.3046 中值:-10.1489 最差值:-5.0551
SSA:最优值:-10.1532 标准差:0.93076 平均值:-9.9833 中值:-10.1532 最差值:-5.0552
DBO:最优值:-10.1532 标准差:2.5571 平均值:-7.9543 中值:-10.1524 最差值:-5.0552
NGO:最优值:-10.1532 标准差:2.2314e-06 平均值:-10.1532 中值:-10.1532 最差值:-10.1532
SABO:最优值:-5.055 标准差:0.067769 平均值:-5.0405 中值:-5.054 最差值:-4.683
F22函数计算结果:
INGO:最优值:-10.4018 标准差:2.6757 平均值:-7.5483 中值:-5.0877 最差值:-5.0877
GJO:最优值:-10.4025 标准差:2.533 平均值:-9.0444 中值:-10.3978 最差值:-2.7656
SSA:最优值:-10.4029 标准差:1.3485 平均值:-10.0486 中值:-10.4029 最差值:-5.0877
DBO:最优值:-10.4029 标准差:2.6086 平均值:-8.5975 中值:-10.4029 最差值:-3.7243
NGO:最优值:-10.4029 标准差:6.5972e-16 平均值:-10.4029 中值:-10.4029 最差值:-10.4029
SABO:最优值:-9.9353 标准差:1.4026 平均值:-5.4991 中值:-5.0862 最差值:-3.7754
F23函数计算结果:
INGO:最优值:-10.5337 标准差:2.7002 平均值:-8.1641 中值:-10.4208 最差值:-5.1285
GJO:最优值:-10.536 标准差:2.0228 平均值:-9.6435 中值:-10.5323 最差值:-5.1284
SSA:最优值:-10.5364 标准差:3.3343e-05 平均值:-10.5364 中值:-10.5364 最差值:-10.5362
DBO:最优值:-10.5364 标准差:2.8343 平均值:-8.295 中值:-10.5364 最差值:-2.4217
NGO:最优值:-10.5364 标准差:0.98735 平均值:-10.3561 中值:-10.5364 最差值:-5.1285
SABO:最优值:-10.1824 标准差:1.1609 平均值:-5.3005 中值:-5.1231 最差值:-3.3146
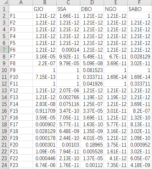
运行后会自动出现一个excel表格,用来统计五种指标结果:

秩和检验结果:

部分代码展示:
RESULT=[]; %统计标准差,平均值,最优值等结果
rank_sum_RESULT=[]; %统计秩和检验结果
F = [1 2 3 4 5 6 7 8 9 10 11 12 13 14 15 16 17 18 19 20 21 22 23];
if box_pp ==1
figure('Name', '箱型图', 'Color', 'w','Position', [50 50 1400 700])
end
for func_num = 1:length(F) %CEC2005有23个函数
% Display the comprehensive results
disp(['F',num2str(F(func_num)),'函数计算结果:'])
[lower_bound,upper_bound,variables_no,fhd]
=Get_Functions_details([
'F'
,num2str(F(func_num))]);
resu = []; %统计标准差,平均值,最优值等结果
rank_sum_resu = []; %统计秩和检验结果
box_plot = []; %统计箱型图结果
%% Run the INGO algorithm for "run" times
for nrun=1:run
[final,position,iter]=INGO(pop_size,max_iter,lower_bound,upper_bound,variables_no,fhd);
final_main(nrun)=final;
z1(nrun) = final;
end
box_plot = [box_plot;final_main]; %统计箱型图结果
zz = [min(final_main);std(final_main);mean(final_main);median(final_main);max(final_main)];
resu = [resu,zz];
disp(['INGO:最优值:',num2str(zz(1)),' 标准差:',num2str(zz(2)),' 平均值:',num2str(zz(3)),' 中值:',num2str(zz(4)),' 最差值:',num2str(zz(5))]);
%% Run the GJO algorithm for "run" times
for nrun=1:run
[final,position,iter]=GJO(pop_size,max_iter,lower_bound,upper_bound,variables_no,fhd);
final_main(nrun)=final;
z2(nrun) = final;
end
box_plot = [box_plot;final_main]; %统计箱型图结果
zz = [min(final_main);std(final_main);mean(final_main);median(final_main);max(final_main)];
resu = [resu,zz];
rs = ranksum(z1,z2);
if isnan(rs) %当z1与z2完全一致时会出现NaN值,这种概率很小,但是要做一个防止报错
end
rank_sum_resu
= [rank_sum_resu,rs]; %统计秩和检验结果
disp(['GJO:最优值:',num2str(zz(1)),' 标准差:',num2str(zz(2)),' 平均值:',num2str(zz(3)),' 中值:',num2str(zz(4)),' 最差值:',num2str(zz(5))]);
代码目录:

点击下方卡片获取更多代码!
本文介绍北方苍鹰算法(NGO),并融合2023年减法优化器算法对其改进,推出融合减法优化器和柯西变异的北方苍鹰算法(INGO)。该算法与多种智能算法对比试验,程序可一键运行、自动生成统计表格和箱线图,且不增加复杂度。还阐述了四个改进策略,在CEC2005中测试效果良好。
258

被折叠的 条评论
为什么被折叠?



