Python数学实验与建模学习
目录
1. SymPy工具库
1.1 符号运算基础
使用SymPy库进行符号计算,首先要建立符号变量及符号表达式。符号变量可以通过库中的symbols()创建。创建多个变量时以空格分隔。也可以将m0:3传入符号函数,生成如m0,m1,m2的符号序列,定义符号变量。
在符号计算中,可以使用evalf()或者n()的方法来获得任何对象的浮点近似值。subs()方法代入值示例如下:
from sympy import *
x,y,z=symbols('x y z')
m0,m1,m2,m3=symbols('m0:4') #创建多个符号变量
x=sin(1)
print("x=",x);
print("x=",x.evalf())
print("x=",x.n(16)) #显示小数点后16位数字
print("pi的两种显示格式:{},{}".format(pi,pi.evalf(3))) #这里不能使用n()函数
expr1=y*sin(y**2) #创建第一个符号表达式
expr2=y**2+sin(y)*cos(y)+sin(z) #创建第二个符号表达式
print("expr1=",expr1)
print("y=5时,expr1=",expr1.subs(y,5)) #代入一个符号变量的值
print("y=2,z=3时,expr2=",expr2.subs({y:2,z:3})) #代入y=2,z=3
print("y=2,z=3时,expr2=",expr2.subs({y:2,z:3}).n()) #以浮点数显示计算结果
together和apart方法使用示例如下:
from sympy import *
x1,x2,x3,x4=symbols('m1:5'); x=symbols('x')
print(x1/x2+x3/x4)
print(together(x1/x2+x3/x4))#展开
print((2*x**2+3*x+4)/(x+1))
print(simplify((2*x**2+3*x+4)/(x+1))) #化简没有效果
print(apart((2*x**2+3*x+4)/(x+1)))
1.2 用SymPy做符号函数画图

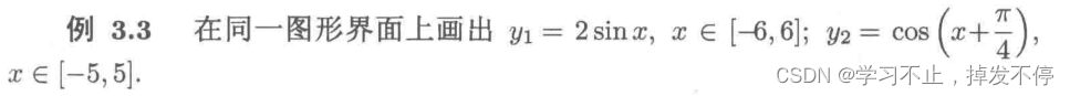
from sympy.plotting import plot
from sympy.abc import x , pi
from sympy.functions import sin,cos
plot((2*sin(x),(x,-6,6)),(cos(x + pi/4),(x,-5,5)))


from sympy.plotting import plot3d
from sympy.abc import x , pi
from sympy.functions import sin,sqrt
plot3d(sin(sqrt(x**2 + y**2)),(x,-10,10),(y,-10,10),xlabel = '$x$',ylabel = '$y$')


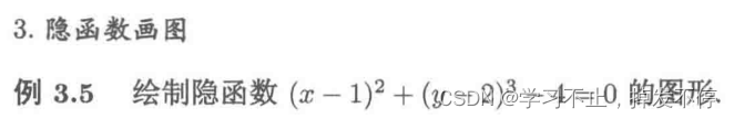
from sympy import plot_implicit as pt,Eq
from sympy.abc import x,y
pt(Eq((x-1)**2 + (y-2)**3,4),(x,-6,6),(y,-4,4),xlabel = '$x$',ylabel = '$y$')

2. 高等数学的符号解
2.1 极限

求极限用limit()
from sympy import *
x = symbols('x')
print(limit(sin(x)/x,x,0))#求出1
print(limit((1 + 1/x)**x,x,oo))#求出e
2.2 导数
求导数用diff()
from sympy import *
x,y = symbols('x y')
z = sin(x) + x**2 * exp(y)
#二阶偏导数
print(diff(z,x,2))#求出2*exp(y) - sin(x)
#一阶偏导数
print(diff(z,y))#求出x**2*exp(y)
2.3 级数求和

factor可以把计算结果因式分解,级数求和用summation
from sympy import*
k,n=symbols ('k n')
print(summation(k**2, (k, 1,n)))#n**3/3 + n**2/2 + n/6
print(factor(summation(k**2, (k, 1,n))))#n*(n + 1)*(2*n + 1)/6
print(summation(1/k**2,(k,1,oo)))#pi**2/6

最低0.47元/天 解锁文章
4679

被折叠的 条评论
为什么被折叠?



