Python小白基础之线性代数


前言

提示:这里可以添加本文要记录的大概内容:

例如:随着人工智能的不断发展,机器学习这门技术也越来越重要,很多人都开启了学习机器学习,本文就介绍了机器学习的基础内容。


提示:以下是本篇文章正文内容,下面案例可供参考

一、行列式

行列式的概念:行列式是一个数学概念,主要用于线性代数中,它是一个可以从方阵(即行数和列数相等的矩阵)形成的一个标量(即一个单一的数值)。

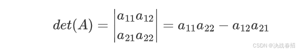
二、二阶行列式

假设有一个二元一次方程:
在这里插入图片描述
对x求解得出:
在这里插入图片描述
其中将5 X 9 - 4 X 11用一种方式表示,即:
在这里插入图片描述
二阶行列式定义:
在这里插入图片描述
i为行标,j为列标
二阶行列式较为简单直接。

三、三阶行列式:

三阶行列式:

评论
成就一亿技术人!
拼手气红包6.0元
还能输入1000个字符
 
红包 添加红包
表情包 插入表情
 条评论被折叠 查看
添加红包

请填写红包祝福语或标题

红包个数最小为10个

红包金额最低5元

当前余额3.43前往充值 >
需支付:10.00
成就一亿技术人!
领取后你会自动成为博主和红包主的粉丝 规则
hope_wisdom
发出的红包
实付
使用余额支付
点击重新获取
扫码支付
钱包余额 0

抵扣说明:

1.余额是钱包充值的虚拟货币,按照1:1的比例进行支付金额的抵扣。
2.余额无法直接购买下载,可以购买VIP、付费专栏及课程。

余额充值